Главная Случайная страница


Полезное:

Как сделать разговор полезным и приятным Как сделать объемную звезду своими руками Как сделать то, что делать не хочется? Как сделать погремушку Как сделать так чтобы женщины сами знакомились с вами Как сделать идею коммерческой Как сделать хорошую растяжку ног? Как сделать наш разум здоровым? Как сделать, чтобы люди обманывали меньше Вопрос 4. Как сделать так, чтобы вас уважали и ценили? Как сделать лучше себе и другим людям Как сделать свидание интересным?


Категории:

АрхитектураАстрономияБиологияГеографияГеологияИнформатикаИскусствоИсторияКулинарияКультураМаркетингМатематикаМедицинаМенеджментОхрана трудаПравоПроизводствоПсихологияРелигияСоциологияСпортТехникаФизикаФилософияХимияЭкологияЭкономикаЭлектроника






Определение параметров срабатывания токовых защит линий электропередачи





Цель работы: Изучить особенности расчета параметров срабатывания и построения карты селективности двухступенчатых токовых защит линий электропередачи (ЛЭП) радиальной сети с односторонним питанием.

Задание: по исходным данным для приведенной схемы выполнить расчет параметров срабатывания токовых защит ЛЭП в следующей последовательности:

1. Определить нагрузочные токи ЛЭП (рис.2).

2. Выбрать коэффициенты трансформации трансформаторов тока ТА1, ТА2.

3. Составить схему замещения сети и рассчитать сопротивления ее элементов в именованных единицах.

4. Найти максимальные и минимальные токи КЗ в начале, середине и конце линий W1, W2 в точках К1 – К5 (принять сопротивление питающей системы в минимальном режиме работы xGmin=1,4 xGmax). Результаты расчетов свести в таблицу.

5. Рассчитать токи срабатывания отсечек без выдержки времени (первых ступеней токовых защит) ЛЭП W1, W2.

6. Рассчитать токи срабатывания реле (уставки) отсечек ЛЭП W1, W2 при условии, что схемы соединения вторичных обмоток трансформаторов тока – звезда.

7. Проверить чувствительность отсечек ЛЭП W1, W2.

8. Графически определить зоны действия отсечек ЛЭП W1, W2 в минимальном режиме работы системы.

9. Рассчитать токи срабатывания максимальных токовых защит

(третьих ступеней токовых защит) ЛЭП W1, W2.

10. Рассчитать токи срабатывания реле (уставки) МТЗ ЛЭП W1, W2.

11. Определить времена срабатывания МТЗ ЛЭП W1, W2.

12. Проверить чувствительность МТЗ ЛЭП W1, W2 в основной и резервной зонах.

13. Построить карту селективности.

 

Рис.2. Схема радиальной сети с односторонним питанием

 

Таблица исходных данных для расчета защит ЛЭП.

№ варианта Параметры системы Параметры ЛЭП Параметры нагрузки Защита Q3
Uн, кВ SGmax МВА ХG, о.е. LW1, км LW2, км r0/x0, Ом/км SБ, МВА SВ, МВА SГ, МВА Kсзп I СЗ,Q3, А tСЗ,Q3, с Dt, с
      0,1     0,32/0,35   5,2   1,6     0,49

 

Решение:

1. Определить нагрузочные токи ЛЭП (рис.1).

2. Выбрать коэффициенты трансформации трансформаторов тока ТА1, ТА2.

где I1 и I2 – токи в первичной и вторичной обмотках трансформатора тока. Опираясь на стандартные типы трансформаторов тока, получаем:

3. Составить схему замещения сети и рассчитать сопротивления ее элементов в именованных единицах.

Рис. 3. Схема замещения сети

4. Найти максимальные и минимальные токи КЗ в начале, середине и конце линий W1, W2 в точках К1 – К5 . Результаты расчетов свести в таблицу.

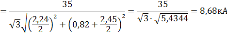
4.1. Определяется максимальный и минимальный ток при металлическом трехфазном КЗ в точка К1:

Минимальный ток двухфазного КЗ в точке К1:

4.2. Определяется максимальный и минимальный ток при металлическом трехфазном КЗ в точка К2:

Минимальный ток двухфазного КЗ в точке К2:

4.3. Определяется максимальный и минимальный ток при металлическом трехфазном КЗ в точка К3:

Минимальный ток двухфазного КЗ в точке К3:

4.4. Определяется максимальный и минимальный ток при металлическом трехфазном КЗ в точка К4:

Минимальный ток двухфазного КЗ в точке К4:

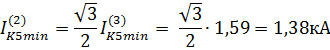
4.5. Определяется максимальный и минимальный ток при металлическом трехфазном КЗ в точка К5:

Минимальный ток двухфазного КЗ в точке К5:

Таблица 1

  К1 К2 К3 К4 К5
24,67 8,68 5,1 2,46 1,62
17,6 7,72 4,77 2,39 1,59
15,224 4,1 4,13 2,07 1.38

 

5. Рассчитать токи срабатывания отсечек без выдержки времени (первых ступеней токовых защит) ЛЭП W1, W2. Проверка чувствительности отсечек W1, W2.

, , что хорошо

, что хорошо

6. Рассчитать токи срабатывания реле (уставки) отсечек ЛЭП W1, W2 при условии, что схемы соединения вторичных обмоток трансформаторов тока – звезда.

7. Графически определить зоны действия отсечек ЛЭП W1, W2 в минимальном режиме работы системы.

Рис.4. Графическое определение зоны действия отсечек ЛЭП W1, W2 в минимальном режиме работы системы

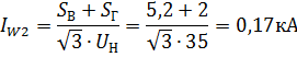
8. Рассчитать токи срабатывания максимальных токовых защит (третьих ступеней токовых защит) ЛЭП W1, W2.

8.1. Для ЛЭП W2:

8.1.1

где k ОТС – коэффициент отстройки равный 1,4; IPMAX=IW1,

8.1.2

где k СЗП – коэффициент самозапуска равный 1,6.

8.1.3

,

где k В – коэффициент возврата реле равный 0,85.


8.1.4

Следовательно, примем ток

8.2. Для ЛЭП W1:

8.2.1

где k ОТС – коэффициент отстройки равный 1,4; IPMAX=IW1,

8.2.2

где k СЗП – коэффициент самозапуска равный 1,6.

8.2.3

,

где k В – коэффициент возврата реле равный 0,85.

8.2.4

Следовательно, примем ток

9. Рассчитать токи срабатывания реле (уставки) МТЗ ЛЭП W1, W2.

10. Определить времена срабатывания МТЗ ЛЭП W1, W2.

11. Проверить чувствительность МТЗ ЛЭП W1, W2 в основной и резервной зонах.

Для W1: - в основной зоне

- резервной зоне

Для W2 в основной зоне

12. Построить карту селективности

 


 


Рис.5. Карта селективности








Date: 2015-07-24; view: 2699; Нарушение авторских прав



mydocx.ru - 2015-2026 year. (1.166 sec.) Все материалы представленные на сайте исключительно с целью ознакомления читателями и не преследуют коммерческих целей или нарушение авторских прав - Пожаловаться на публикацию