Главная Случайная страница


Полезное:

Как сделать разговор полезным и приятным Как сделать объемную звезду своими руками Как сделать то, что делать не хочется? Как сделать погремушку Как сделать так чтобы женщины сами знакомились с вами Как сделать идею коммерческой Как сделать хорошую растяжку ног? Как сделать наш разум здоровым? Как сделать, чтобы люди обманывали меньше Вопрос 4. Как сделать так, чтобы вас уважали и ценили? Как сделать лучше себе и другим людям Как сделать свидание интересным?


Категории:

АрхитектураАстрономияБиологияГеографияГеологияИнформатикаИскусствоИсторияКулинарияКультураМаркетингМатематикаМедицинаМенеджментОхрана трудаПравоПроизводствоПсихологияРелигияСоциологияСпортТехникаФизикаФилософияХимияЭкологияЭкономикаЭлектроника






Расчет токов короткого замыкания в системе электроснабжения





Курсовой проект по дисциплине

«Релейная защита систем электроснабжения»

 

 

Выполнил:

магистр гр. ЭЭМ-514

Проверил:

доцент, к.т.н. Кириченко А. Н.

 

Омск – 2015

Расчет токов короткого замыкания в системе электроснабжения

Цель работы: изучить особенности и последовательность расчета токов короткого замыкания в системе электроснабжения (СЭС) для целей релейной защиты и автоматики.

Задание: рассчитать параметры схемы замещения и токи короткого замыкания в точках К1- К5 для схемы электроснабжения пункта приема электроэнергии (ППЭ) промышленного предприятия.

Данные: ТРДН – 32000/115/10,5 – 10,5

Uk%min = 9,77 %

Uk%max = 11,58 %

SGH = 2600 MBA

lW1 = 20 км, r0W1 = 0,099 Ом/км

sW1 = 185 мм2, x0W1 = 0,195 Ом/км

nW2 = 4

lW2 = 1 км, r0W2 = 0,326 Ом/км

sW2 = 95 мм2, x0W2 = 0,083 Ом/км

xG*max = 1,0

xG*min = 1,3

 

Решение:

1. Составляется схема замещения СЭС (рис.1).

2. Определение параметров схемы замещения.

2.1. Сопротивление питающей системы в минимальном и максимальном режимах:

где XG*max, XG*min – относительное индуктивное сопротивление питающей системы в максимальном и минимальном режиме ее работы; UБ – базисное напряжение (принимается равным среднему номинальному напряжению обмотки высокого напряжения (ВН) трансформатора), кВ; SGH – номинальная мощность питающей системы, МВА.

Рис.1. Схема замещения СЭС

 

2.2. Сопротивление воздушной линии (ВЛ) W1:

Где – соответственно, активное и индуктивное сопротивление ВЛ; r0W1, x0W1 – удельные активное и реактивные сопротивления ВЛ, Ом/км; lW1 – длина ВЛ, км.

2.3. Минимальное и максимальное значения индуктивного сопротивления трансформатора T1, обусловленные работой устройства РПН.

Минимальное значение индуктивного сопротивления двухобмоточного трансформатора:

где Uk%min - минимальное значение напряжения короткого замыкания трансформатора, %; - половина полного (суммарного) диапазона регулирования напряжения на стороне ВН трансформатора: для трансформаторов с UН = 110кВ - ∆UРПН% = ± 16%; SНТ1 – номинальная мощность трансформатора (МВА).

Максимальное значение индуктивного сопротивления двухобмоточного трансформатора:

где Uk%max - максимальное значение напряжения короткого замыкания трансформатора, %.

Если значение Umax ВН > Umaxдоп, где Umaxдоп – максимальное допустимое значение напряжения для сети данного класса напряжения, то принимается Umax ВН = Umaxдоп, для сетей с UН = 110кВ - Umaxдоп = 126 кВ; SНТ1 – номинальная мощность трансформатора (МВА).

Минимальное сопротивление двухобмоточного трансформатора с расщепленной обмоткой низкого напряжения (НН)

где xT1ВНmin, xT1ННmin – соответственно, минимальное индуктивное сопротивление обмотки ВН и НН трансформатора.

Максимальное сопротивление двухобмоточного трансформатора с расщепленной обмоткой низкого напряжения (НН)

где xT1ВНmax, xT1ННmax – соответственно, максимальное индуктивное сопротивление обмотки ВН и НН трансформатора.

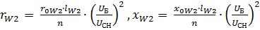
2.4. Сопротивление кабельной линии (КЛ) W2:

где – соответственно, активное и индуктивное сопротивление КЛ; r0W2, x0W2 – удельные активное и реактивные сопротивления КЛ, Ом/км; lW2 – длина ВЛ, км; n – количество параллельных кабелей в линии; UСН – среднее номинальное напряжение обмотки НН трансформатора.

3. Рассчитываются токи КЗ в намеченных точках

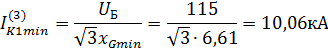
3.1. Определяется максимальный и минимальный ток при металлическом трехфазном КЗ в точка К1:

Минимальный ток двухфазного КЗ в точке К1:

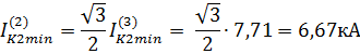
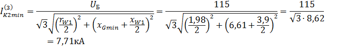
3.2. Определяется максимальный и минимальный ток при металлическом трехфазном КЗ в точка К2:

Минимальный ток двухфазного КЗ в точке К2:

3.3. Определяется максимальный и минимальный ток при металлическом трехфазном КЗ в точка К3:

Минимальный ток двухфазного КЗ в точке К3:

3.4. Вычисление производится при наименьшем сопротивлении питающей системы в максимальном режиме ее работы (xGmax) и наименьшем сопротивлении трансформатора (xT1(p)min)

Для практических расчетов токов КЗ за понижающим трансформатором используют метод наложения аварийных токов на токи нагрузки трансформатора в предаварийном режиме. В основу метода положено предположение о постоянстве номинального напряжения на стороне НН трансформатора, которое обеспечивается автоматикой РПН.

Максимальный ток КЗ в точке К4может быть определен следующим образом:

где UНВ – номинальное напряжение сети на стороне ВН трансформатора.


Приведение к нерегулируемой стороне НН следует производить не по среднему коэффициенту трансформации, а по минимальному, соответствующему тому же крайнему положению РПН, при котором вычисляется этот ток

Вычисление минимального тока КЗ следует производить при наибольшем сопротивлении питающей системы в минимальном режиме ее работы (xGmin) и наибольшем сопротивлении трансформатора (xT1(p)max)

Приведение к нерегулируемой стороне НН

Если > Umaxдоп, то в числитель коэффициента трансформации необходимо поставить значение Umaxдоп.

Минимальный ток двухфазного КЗ в точке К4:

3.5. Расчеты токов КЗ в точке К5 выполняется с учетом сопротивления КЛ аналогично расчетам для точки К4:

 

 

Минимальный ток двухфазного КЗ в точке К5:

4. Результаты расчетов токов КЗ сводятся в таблицу.

Таблица 1

  К1 К2 К3 К4 К5
13,06 9,349 7,22 1,01 0,96
9,29 8,83
10,06 7,71 6,22 0,62 0,6
7,44 7,2
8,7 6,67 5,38 0,54 0,52
6,44 6,23

 

 







Date: 2015-07-24; view: 4232; Нарушение авторских прав



mydocx.ru - 2015-2026 year. (3.536 sec.) Все материалы представленные на сайте исключительно с целью ознакомления читателями и не преследуют коммерческих целей или нарушение авторских прав - Пожаловаться на публикацию