Главная Случайная страница


Полезное:

Как сделать разговор полезным и приятным Как сделать объемную звезду своими руками Как сделать то, что делать не хочется? Как сделать погремушку Как сделать так чтобы женщины сами знакомились с вами Как сделать идею коммерческой Как сделать хорошую растяжку ног? Как сделать наш разум здоровым? Как сделать, чтобы люди обманывали меньше Вопрос 4. Как сделать так, чтобы вас уважали и ценили? Как сделать лучше себе и другим людям Как сделать свидание интересным?


Категории:

АрхитектураАстрономияБиологияГеографияГеологияИнформатикаИскусствоИсторияКулинарияКультураМаркетингМатематикаМедицинаМенеджментОхрана трудаПравоПроизводствоПсихологияРелигияСоциологияСпортТехникаФизикаФилософияХимияЭкологияЭкономикаЭлектроника






Закономерности a-распада





В настоящее время известно более двухсот a-активных ядер, главным образом тяжелых (А>200, Z>82).

Только небольшая группа a-активных ядер приходится на область с А = 140—160 (редкие земли). a-распад подчиняется правилу смещения.

Приме­ром a-распада служит распад изотопа урана 238 U с образованием Th:

U Th + Не.

 

Скорости вылетающих при распаде a-частиц очень велики и колеблются для разных ядер в пределах от 1,4×107 до 2×107 м/с, что соответствует энергиям от 4 до 8,8 МэВ.

Согласно современным представлениям, a-частицы образуются в момент радиоактив­ного распада при встрече движущихся внутри ядра двух протонов и двух нейтронов.

a-частицы, испускаемые конкретным ядром, обладают, как правило, определенной энергией.

Более тонкие измерения, однако, показали, что энергетический спектр частиц, испускаемых данным радиоактивным элементом, обнаруживает «тонкую структуру», т. е. испускается несколько групп a-частиц, причем в пределах каждой группы их энергии практически постоянны.

Дискретный спектр a-частиц свидетельству­ет о том, что атомные ядра обладают дискретными энергетическими уровнями.

 

Опыты Резерфорда по рассеянию a-частиц на ядрах урана показали, что a-частицы вплоть до энергии 8,8 МэВ испытывают на ядрах резерфордовское рассеяние, т. е. силы, действующие на a-частицы со стороны ядер, описываются законом Кулона.

 

Подобный характер рассеяния a-частиц указывает на то, что они еще не вступают в область действия ядерных сил, т. е. можно сделать вывод, что ядро окружено потенциальным барьером,

высота которого не меньше 8,8 МэВ.

 

С другой стороны, a-частицы, испускаемые ураном, имеют энергию 4,2 МэВ.

 

Следовательно, a-частицы вылетают из a-радиоактивного ядра с энергией, заметно меньшей высоты потенциаль­ного барьера. Классическая механика этот результат объяснить не могла.

Объяснение a-распада дано квантовой механикой, согласно которой вылет a-частицы из ядра возможен благодаря туннельному эффекту - проникновению a-частицы сквозь потенциальный барьер.

Всегда имеется отличная от нуля вероятность того, что частица с энергией, меньшей высоты потенциального барьера, пройдет сквозь него, т.е., действительно, из a-радиоактивного ядра a-частицы могут вылетать с энер­гией, меньшей высоты потенциального барьера. Этот эффект целиком обусловлен волновой природой a-частиц.

 

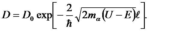
Вероятность прохождения a-частицы сквозь потенциальный барьер определяется его формой и вычисляется на основе уравнения Шредингера.

 

В простейшем случае потенциального барьера с прямоугольными вертикальными стенками коэффициент прозрачности, определяющий вероятность прохождения сквозь него, определяется формулой:

 

 

Анализируя это выражение, видим, что коэффициент прозрачности D тем больше (следовательно, тем меньше период полураспада), чем меньший по высоте (U) и шири­не (l) барьер находится на пути a-частицы.

Кроме того, при одной и той же потенциаль­ной кривой барьер на пути частицы тем меньше, чем больше ее энергия

 

Явление -распада (в дальнейшем будет показано, что существует и -распад) подчиняется правилу смещения

 

 

и связано с выбросом электрона. Пришлось преодолеть целый ряд трудностей с трак­товкой -распада.

 

Во-первых, необходимо было обосновать происхождение электронов, выбрасыва­емых в процессе -распада.

Протонно-нейтронное строение ядра исключает возмож­ность вылета электрона из ядра, поскольку в ядре электронов нет.

Предположение же, что электроны вылетают не из ядра, а из электронной оболочки, несостоятельно, поскольку тогда должно было бы наблюдаться оптическое или рентгеновское излуче­ние, что не подтверждают эксперименты.

 

Во-вторых, необходимо было объяснить непрерывность энергетического спектра испускаемых электронов.

 

Каким же образом -активные ядра, обладающие до и после распада вполне определенными энергиями, могут выбрасывать электроны со значениями энергии от нуля до некоторого максимального Еmax?

Т. е. энергетичес­кий спектр испускаемых электронов является непрерывным?

 

Гипотеза о том, что при -распаде электроны покидают ядро со строго определенными энергиями, но в ре­зультате каких-то вторичных взаимодействий теряют ту или иную долю своей энергии, так что их первоначальный дискретный спектр превращается в непрерывный, была опровергнута прямыми калориметрическими опытами.


 

Таккак максимальная энергия Еmax определяется разностью масс материнского и дочернего ядер, то распады, при которых энергия электрона Е<Еmax, как бы протекают с нарушением закона сохранения энергии.

Н. Бор даже пытался обосновать это нарушение, высказывая предположе­ние, что закон сохранения энергии носит статистический характер и выполняется лишь в среднем для большого числа элементарных процессов. Отсюда видно, насколько принципиально важно было разрешить это затруднение.

 

В-третьих, необходимо было разобраться с несохранением спина при -распаде.

 

При -распаде число нуклонов в ядре не изменяется (так как не изменяется массовое число А) поэтому не должен изменяться и спин ядра, который равен целому числу при четном А и полуцелому при нечетном А.

Однако выброс электрона, имеющего спин /2, должен изменить спин ядра на величину /2.

 

Последние два затруднения привели В. Паули к гипотезе (1931) о том, что при -распаде вместе с электроном испускается еще одна нейтральная частица - нейтрино ( «маленький нейтрончик» – с итальянского).

 

Нейтрино имеет нулевой заряд,

спин 1\2 (в единицах ) и

нулевую (а скорее <10-4 me) массу покоя;

обозначается .

Впоследствии оказалось, что при -распаде испускается не нейтрино, а антинейтрино (античастица по отношению к нейтрино; обозначается ).

 

Гипотеза о существовании нейтрино позволила Э. Ферми создать теорию -распада (1934), которая в основном сохранила свое значение и в настоящее время, хотя экспериментально существование нейтрино было доказано более чем через 20 лет (1956).

 

Столь длительные «поиски» нейтрино сопряжены с большими трудностями, обусловленными отсутствием у нейтрино электрического заряда и массы.

 

Нейтри­но - единственная частица, не участвующая ни в сильных, ни в электромагнитных взаимодействиях; единственный вид взаимодействий, в котором может принимать участие нейтрино, - слабое взаимодействие.

 

 

Поэтому прямое наблюдение нейтрино весьма затруднительно. Ионизирующая способность нейтрино столь мала, что один акт ионизации в воздухе приходится на 500 км пути. Проникающая же способность нейтрино столь огромна (пробег нейтрино с энергией 1 МэВ больше диаметра Земли и даже в классическом свинце составляет примерно 1018 м!), что затрудняет удержание этих частиц в приборах.

 

Поэтому для экспериментального выявления нейтрино (антинейтрино) применялся косвенный метод, основанный на том, что в реакциях (в том числе и с участием нейтрино) выполняется закон сохранения импульса.

 

Таким образом, нейтрино было обнаружено при изучении отдачи атомных ядер при -распаде.

Если при -распаде ядра вместе с электроном выбрасывается и антинейтрино, то векторная сумма трех импульсов — ядра отдачи, электрона и антинейтрино — должна быть равна нулю.

Это действительно подтвердилось на опыте.

 

Непосредственное обнаружение нейтрино ста­ло возможным лишь значительно позднее, после появления мощных реакторов, позво­ляющих получать интенсивные потоки нейтрино.

 

Введение нейтрино (антинейтрино) позволило не только объяснить кажущееся несохранение спина, но и разобраться с вопросом непрерывности энергетического спектра выбрасываемых электронов.


 

Сплошной спектр -частиц обусловлен распределением энергии между электронами и антинейтрино, причем сумма энергий обеих частиц равна Еmax. В одних актах распада большую энергию получает антинейтрино, в других — электрон.

 

Наконец, рассмотрим вопрос о происхождении электронов при -распаде.

Поскольку электрон не вылетает из ядра и не вырывается из оболочки атома, было сделано предположение, что -электрон рождается в результате процессов, происходящих внутри ядра.

 

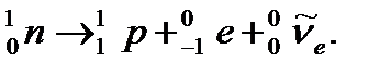
Так как при -распаде число нуклонов в ядре не изменяется, а Z увеличи­вается на единицу, то единственной возможностью одновременного осуще­ствления этих условий является превращение одного из нейтронов -активного ядра в протон с одновременным образованием электрона и вылетом антинейтрино:

 

 

В этом процессе выполняются законы сохранения электрических зарядов, импульса и массовых чисел.

 

Кроме того, данное превращение энергетически возможно, так как масса покоя нейтрона превышает массу атома водорода, т. е. протона и электрона вместе взятых.

 

Данной разности в массах соответствует энергия, равная 0,782 МэВ.

За счет этой энергии может происходить самопроизвольное превращение нейтрона в про­тон; энергия распределяется между электроном и антинейтрино.

 

Если превращение нейтрона в протон энергетически выгодно и вообще возможно, то должен наблюдаться радиоактивный распад свободных нейтронов (т.е. нейтронов вне ядра).

 

Обнаружение этого явления было бы подтверждением изложенной теории -распада.

Действительно, в 1950 г. в потоках нейтронов большой интенсивности, возникающих в ядерных реакторах, был обнаружен радиоактивный распад свободных нейтронов, происходящий по схеме.

 

Энергетический спектр возникающих при этом электронов соответствовал рассчитанному, а верхняя граница энергии электронов Еmax оказалась равной рассчитанной выше (0.782 МэВ).







Date: 2015-07-24; view: 418; Нарушение авторских прав



mydocx.ru - 2015-2026 year. (0.847 sec.) Все материалы представленные на сайте исключительно с целью ознакомления читателями и не преследуют коммерческих целей или нарушение авторских прав - Пожаловаться на публикацию