Главная Случайная страница


Полезное:

Как сделать разговор полезным и приятным Как сделать объемную звезду своими руками Как сделать то, что делать не хочется? Как сделать погремушку Как сделать так чтобы женщины сами знакомились с вами Как сделать идею коммерческой Как сделать хорошую растяжку ног? Как сделать наш разум здоровым? Как сделать, чтобы люди обманывали меньше Вопрос 4. Как сделать так, чтобы вас уважали и ценили? Как сделать лучше себе и другим людям Как сделать свидание интересным?


Категории:

АрхитектураАстрономияБиологияГеографияГеологияИнформатикаИскусствоИсторияКулинарияКультураМаркетингМатематикаМедицинаМенеджментОхрана трудаПравоПроизводствоПсихологияРелигияСоциологияСпортТехникаФизикаФилософияХимияЭкологияЭкономикаЭлектроника






Для b-распада





Лекция 4

Естественная и искусственная радиоактивность. Законы радиоактивного распада ядра. Период полураспада. Постоянная распада. Среднее время жизни ядра. Активность. Единицы измерения активности

 

Под радиоактивным распадом понимают естественное радиоак­тивное превращение ядер, происходящее самопроизвольно. Атомное ядро, испытыва­ющее радиоактивный распад, называется материнским, возникающее ядро — дочерним.

 

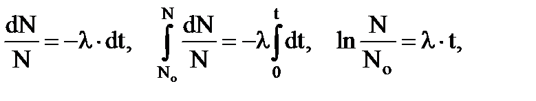
Так как отдельные радиоактивные ядра распадаются независимо друг от друга, то можно считать, что число ядер dN, распавшихся в среднем за интервал времени от t до t+dt, пропорционально промежутку времени dt и числу N нераспавшихся ядер к моме­нту времени t:

 

dN = - l×N×dt,

 

где l - постоянная для данного радиоактивного вещества величина, называемая постоянной радиоактивного распада;

знак минус указывает, что общее число радиоак­тивных ядер в процессе распада уменьшается.

Разделив переменные и интегрируя:

 

 

получим

 

 

где N0 - начальное число нераспавшихся ядер (в момент времени t = 0),

N — число нераспавшихся ядер в момент времени t.

Формула выражает закон радиоактивного распада, согласно которому число нераспавшихся ядер убывает со временем по экспоненциальному закону.

 

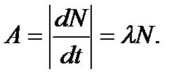
Интенсивность процесса радиоактивного распада характеризуют две величины:

 

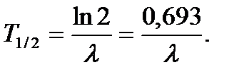
период полураспада Т1/2

и среднее время жизни t радиоактивного ядра.

 

Период полураспада Т1/2 время, за которое исходное число радиоактивных ядер в среднем уменьшается вдвое.

 

 

откуда

 

Периоды полураспада для естественно-радиоактивных элементов колеблются от десятимиллионных долей секунды до многих миллиардов лет.

Суммарная продолжительность жизни dN ядер равна

 

.

Проинтег­рировав это выражение по всем возможным t (т.е. от 0 до ¥) и разделив на началь­ное число ядер N0, получим среднее время жизни t радиоактивного ядра:

 

.

 

Cреднее время жизни t радиоактивного ядра есть величина, обратная постоянной радиоактивного распада l.

 

Активностью А нуклида (общее название атомных ядер, отличающихся числом протонов Z и нейтронов N) в радиоактивном источнике называется число распадов, происходящих с ядрами образца в 1 с:

 

 

Единица активности в СИ — беккерель (Бк):

1 Бк — активность нуклида, при которой за 1с происходит один акт распада.

 

До сих пор в ядерной физике применяется и внесистемная единица активности нуклида в радиоактивном источнике — кюри (Ки):

1 Ки = 3,7×1010 Бк.

Радиоактивный распад происходит в соответствии с так называемыми правилами смещения, позволяющими установить, какое ядро возникает в результате распада данного материнского ядра.

Правила смещения:

для a-распада,

для b-распада

 

где Х - материнское ядро,

Y - символ дочернего ядра,

Не - ядро гелия (a-частица),

- символическое обозначение электрона (заряд его равен (-1), а массовое число - нулю).

 

Правила смещения являются следствием двух зако­нов, выполняющихся при радиоактивных распадах, - сохранения электрического за­ряда и сохранения массового числа: сумма зарядов (массовых чисел) возникающих ядер и частиц равна заряду (массовому числу) исходного ядра.

 

Возникающие в результате радиоактивного распада ядра могут быть, в свою очередь, радиоактивными.

Это приводит к возникновению цепочки, или ряда, радиоактивных превращений, заканчивающихся стабильным элементом.

Совокупность элемен­тов, образующих такую цепочку, называется радиоактивным семейством.

Семейства называются по наиболее долгоживущему (с наибольшим периодом полураспада) «родоначальнику»: семейства тория (от Th),

нептуния (от Np),

урана (от ) и

актиния (от Ас).

 

Конечными нуклидами соответственно являются Pb, Bi, Pb, Pb, т. е. единственное семейство непту­ния (искусственно-радиоактивные ядра) заканчивается нуклидом Bi, а все остальные (естественно-радиоактивные ядра) — нуклидами Рb.







Date: 2015-07-24; view: 406; Нарушение авторских прав



mydocx.ru - 2015-2026 year. (0.973 sec.) Все материалы представленные на сайте исключительно с целью ознакомления читателями и не преследуют коммерческих целей или нарушение авторских прав - Пожаловаться на публикацию