Главная Случайная страница


Полезное:

Как сделать разговор полезным и приятным Как сделать объемную звезду своими руками Как сделать то, что делать не хочется? Как сделать погремушку Как сделать так чтобы женщины сами знакомились с вами Как сделать идею коммерческой Как сделать хорошую растяжку ног? Как сделать наш разум здоровым? Как сделать, чтобы люди обманывали меньше Вопрос 4. Как сделать так, чтобы вас уважали и ценили? Как сделать лучше себе и другим людям Как сделать свидание интересным?


Категории:

АрхитектураАстрономияБиологияГеографияГеологияИнформатикаИскусствоИсторияКулинарияКультураМаркетингМатематикаМедицинаМенеджментОхрана трудаПравоПроизводствоПсихологияРелигияСоциологияСпортТехникаФизикаФилософияХимияЭкологияЭкономикаЭлектроника






Обработка результатов эксперимента





1. Вычислите по формуле (13) удельный заряд электрона для каждой совокупности значений ускоряющего напряжения U, силы намагничивающего тока I, радиуса электронного кольца r. Результаты занесите в таблицу.

2. Вычислите среднее значение удельного заряда электрона по формуле:

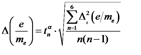
3. Рассчитайте абсолютную погрешность определения удельного заряда электрона по формуле [4]:

 

,

где .– абсолютная погрешность i -го измерения удельного заряда, – коэффициент Стьюдента, n – число измерений, в нашем случае выбрано 6 измерений, α – коэффициент надежности Стьюдента. В лабораторных измерениях рекомендуется выбирать его равным 95%.

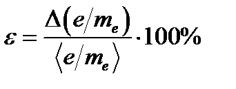
4. Рассчитайте относительную погрешность ε удельного заряда электрона по формуле:

5. Запишите окончательный результат и сравните его с табличным значением удельного заряда электрона.

Контрольные вопросы

1. Как можно найти силу, действующую на заряженную частицу, движущуюся в электрическом поле с напряженностью ?

2. Чему равна сила, действующая на электрический заряд q, движущийся со скоростью в однородном магнитном поле с индукцией ? Чему равен модуль магнитной силы Лоренца?

3. Как можно определить направление магнитной силы Лоренца?

4. По какой траектории будет двигаться заряженная частица в однородном магнитном поле, если ее скорость направлена а) вдоль силовых линий поля? б) перпендикулярно силовым линиям? в) под произвольным углом к силовым линиям?

5. Как связаны между собой напряженность и индукция магнитного поля? В каких единицах они измеряются в системе «СИ»?

6. Что называется удельным зарядом частицы? Поясните методику измерения удельного заряда электрона, используемую в данной установке.

7. Как можно определить массу электрона по его удельному заряду?

8. Что называется классом точности электроизмерительного прибора? Определите приборную погрешность амперметра, вольтметра и линейки, входящей в состав данной установки.

9. Задача. Электрон влетает в однородное магнитное поле с индукцией В = 5 мТл перпендикулярно силовым линиям со скоростью V = 2∙107 м/с. По какой траектории будет двигаться электрон? Чему равны тангенциальное и нормальное ускорения электрона? Какую ускоряющую разность потенциалов должен пройти электрон, чтобы приобрести такую скорость?

 

ЛИТЕРАТУРА

1. Трофимова Т.И. Курс физики / Т.И. Трофимова. - М.: Высшая школа, 2006-2009 г. г. – 544с. (§§ 114, 115)

2. Грабовский Р. И. Курс физики / Р.И. Грабовский - СПб: издательство «Лань», 2012. – 608с. (§ 31).

3. Савельев И.В. Курс общей физики: Учебное пособие. В 3-х тт. Т.2. Электричество и магнетизм. Волны. Оптика. 6-е изд., стер.– СПб.: Издательство «Лань», 2006.– 496 с. (§§ 72 –75).

4. Дымченко Н.П. Способ оценки погрешностей косвенных измерений в лабораторном практикуме по физике / В сб.: Материалы 54-й Всероссийской научной конференции. Т.3. Фундаментальные и прикладные вопросы естествознания. Владивосток: ТОВМИ им. С,О, Макарова ВУНЦ ВМФ «ВМА», 2011. –216 с.– С. 80–83.


 

Учебное издание

Составители:

Дымченко Николай Павлович,

Плотникова Ольга Васильевна

 







Date: 2015-07-24; view: 1077; Нарушение авторских прав



mydocx.ru - 2015-2026 year. (0.723 sec.) Все материалы представленные на сайте исключительно с целью ознакомления читателями и не преследуют коммерческих целей или нарушение авторских прав - Пожаловаться на публикацию