Главная Случайная страница


Полезное:

Как сделать разговор полезным и приятным Как сделать объемную звезду своими руками Как сделать то, что делать не хочется? Как сделать погремушку Как сделать так чтобы женщины сами знакомились с вами Как сделать идею коммерческой Как сделать хорошую растяжку ног? Как сделать наш разум здоровым? Как сделать, чтобы люди обманывали меньше Вопрос 4. Как сделать так, чтобы вас уважали и ценили? Как сделать лучше себе и другим людям Как сделать свидание интересным?


Категории:

АрхитектураАстрономияБиологияГеографияГеологияИнформатикаИскусствоИсторияКулинарияКультураМаркетингМатематикаМедицинаМенеджментОхрана трудаПравоПроизводствоПсихологияРелигияСоциологияСпортТехникаФизикаФилософияХимияЭкологияЭкономикаЭлектроника






Структурный синтез дискретных автоматов





 

Структурный синтез начинается с кодирования входного и выходного алфавита и состояний автомата.

Количество разрядов для входных выходных сигналов и состояний определяется в соответствии с формулой (1)

 

, (2.1)

 

где М-мощность множества соответствующего алфавита;

х-означает минимальное целое.

 

 

Рисунок 2 - Вторичный граф переходов-выходов автомата Мура

 

 

Для автомата Мура:

 

, (2.2)

 

, (2.3)

 

. (2.4)

 

Кодирование входных сигналов автомата Мура представлена как в таблице 4.

 

Таблица 4 - Кодирование входных сигналов автомата Мура

Входной сигнал Коды
X0      
X1      
X2      
X3      
X4      

 

Кодирование выходных сигналов автомата Мура представлена в таблице 5.

 

Таблица 5 - Кодирование выходных сигналов автомата Мура

Выходной сигнал Коды
y0    
y1    
y2    
y3    

 

 

Одно из возможных вариантов кодирования состояний автомата Мурапредставлен в таблице 6.

 

Таблица 6 - Кодирования состояний автомата Мура

СостоянияQ Коды
       
       
       
       
       
       
       
       

 

Вторичный граф переходов-выходов автомата Мили представлен на рисунке 2.

 

 

 

Рисунок 3 -Структурный граф автомата Мура

 

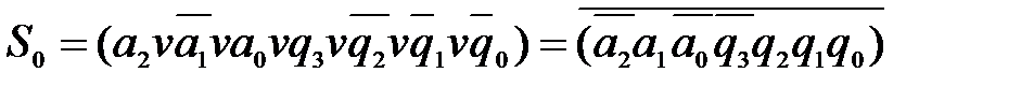
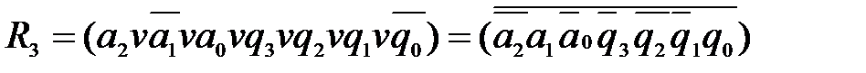
На основании таблицы возбуждения формируем восемь функций возбуждения:

 

; (2.5)

 

; (2.6)

 

; (2.7)

 

; (2.8)

 

; (2.9)

 

 

; (2.10)

 

 

; (2.11)

 

 

. (2.12)

 

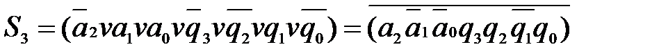
Выходные функции и автомата Мура, являясь функциями состояний, зависят только от четырех переменных Пользуясь таблицей переходов-выходов автомата Мура, построим таблицу истинности для выходных функций и .

 

Таблица 7 – Таблица истинности выходных функций автомата Мура

Состояние автомата Состояния триггеров Выходные сигналы
Y
       
       
       
       
       
       
       
       

 

В результате получим выражения:

 

; (2.13)

 

. (2.14)

 


 

 







Date: 2015-07-22; view: 618; Нарушение авторских прав



mydocx.ru - 2015-2026 year. (2.918 sec.) Все материалы представленные на сайте исключительно с целью ознакомления читателями и не преследуют коммерческих целей или нарушение авторских прав - Пожаловаться на публикацию