Главная Случайная страница


Полезное:

Как сделать разговор полезным и приятным Как сделать объемную звезду своими руками Как сделать то, что делать не хочется? Как сделать погремушку Как сделать так чтобы женщины сами знакомились с вами Как сделать идею коммерческой Как сделать хорошую растяжку ног? Как сделать наш разум здоровым? Как сделать, чтобы люди обманывали меньше Вопрос 4. Как сделать так, чтобы вас уважали и ценили? Как сделать лучше себе и другим людям Как сделать свидание интересным?


Категории:

АрхитектураАстрономияБиологияГеографияГеологияИнформатикаИскусствоИсторияКулинарияКультураМаркетингМатематикаМедицинаМенеджментОхрана трудаПравоПроизводствоПсихологияРелигияСоциологияСпортТехникаФизикаФилософияХимияЭкологияЭкономикаЭлектроника






Практическое применение операционных усилителей





Операционный усилитель. будем называть его ОУ, чтобы не писать каждый раз полностью.
На принципиальных схемах, чаще всего, он обозначается следующим образом:

На рисунке обозначены три самых главных вывода ОУ - два входа и выход. Разумеется, есть еще выводы питания и иногда выводы частотной коррекции, хотя последнее встречается все реже - у большинства современных ОУ она встроенная. Два входа ОУ - Инвертирующий и Неинвертирующий названы так по присущим им свойствам. Если подать сигнал на Инвертирующий вход, то на выходе мы получим инвертированный сигнал, то бишь сдвинутый по фазе на 180 градусов - зеркальный; если же подать сигнал на Неинвертирующий вход, то на выходе мы получим фазово не измененный сигнал.

Так же как и основных выводов, основных свойств ОУ тоже три - можно назвать их ТриО (или ООО - кому как нравится): Очень высокое сопротивление входа, Очень высокий коэффициент усиления (10000 и более), Очень низкое сопротивление выхода. Еще один очень важный параметр ОУ называется скорость нарастания напряжения на выходе (slew rate на буржуинском). Обозначает он фактически быстродействие данного ОУ - как быстро он сможет изменить напряжение на выходе при изменение оного на входе.
Измеряется этот параметр в вольтах в секунду (В/сек).
Этот параметр важен прежде всего для товарищей, конструирующих УЗЧ, поскольку, если ОУ недостаточно быстрый, то он не будет успевать за входным напряжением на высоких частотах и возникнут изрядные нелинейные искажения. У большинства современных ОУ общего назначения скорость нарастания сигнала от 10В/мксек и выше. У быстродействующих ОУ этот параметр может достигать значения 1000В/мксек.
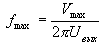
Оценить - подходит ли тот или иной ОУ для ваших целей по скорости нарастания сигнала можно по формуле:

где, fmax - частота синусоидального сигнала, Vmax - скорость нарастания сигнала, Uвых - максимальное выходное напряжение.
Ну да не будем больше тянуть кота за хвост - приступим к главной задаче этого опуса - куда, собственно, эти клевые штуки можно воткнуть и что из этого можно получить.







Date: 2015-07-23; view: 458; Нарушение авторских прав



mydocx.ru - 2015-2026 year. (1.331 sec.) Все материалы представленные на сайте исключительно с целью ознакомления читателями и не преследуют коммерческих целей или нарушение авторских прав - Пожаловаться на публикацию