Главная Случайная страница


Полезное:

Как сделать разговор полезным и приятным Как сделать объемную звезду своими руками Как сделать то, что делать не хочется? Как сделать погремушку Как сделать так чтобы женщины сами знакомились с вами Как сделать идею коммерческой Как сделать хорошую растяжку ног? Как сделать наш разум здоровым? Как сделать, чтобы люди обманывали меньше Вопрос 4. Как сделать так, чтобы вас уважали и ценили? Как сделать лучше себе и другим людям Как сделать свидание интересным?


Категории:

АрхитектураАстрономияБиологияГеографияГеологияИнформатикаИскусствоИсторияКулинарияКультураМаркетингМатематикаМедицинаМенеджментОхрана трудаПравоПроизводствоПсихологияРелигияСоциологияСпортТехникаФизикаФилософияХимияЭкологияЭкономикаЭлектроника






Теоретические сведения. Усилие гидравлического ковочного пресса, необходимое для осадки заготовки круглого и квадратного сечений,





Усилие гидравлического ковочного пресса, необходимое для осадки заготовки круглого и квадратного сечений,

,

где - масштабный коэффициент (табл.5); - средний диаметр заготовки после осадки; - высота заготовки после осадки, мм; - предел прочности при растяжении стали при температуре осадки (табл. 6); - площадь поперечного сечения заготовки после осадки; .

Таблица 5 – Масштабный коэффициент при осадке слитков разной массы.

Масса слитка, т 0,5 6,0      
0,8 0,7 0,6 0,55 0,5

Масса падающих частей молота, необходимая для осадки заготовки круглого и квадратного сечений

,

где - степень деформации за последний удар, =0,025 для крупных и =0,06 для мелких поковок; - объем заготовки;

Таблица 6 - Предел прочности при растяжении стали при ковочных температурах

при комнатной температуре, МПа МПа, при ковочной температуре, °С
           
             

 

Усилие гидравлического ковочного пресса, необходимое для протяжки заготовки, кгс (МН):

,

где - коэффициент, учитывающий увеличение удельного усилия при изменении формы бойков; для плоских бойков =1, для вырезных =1,25; - величина подачи; и - высота и ширина заготовки до протяжки; при протяжке круглой заготовки в круглых вырезных бойках принимают = = , где - диаметр заготовки; - предел прочности стали при температуре протяжки (см. табл.6).

Масса падающих частей молота, необходимая для протяжки заготовки, кг

,

где - степень деформации, принимаемая за один удар (выше критической для данной стали, но не более 0,3).

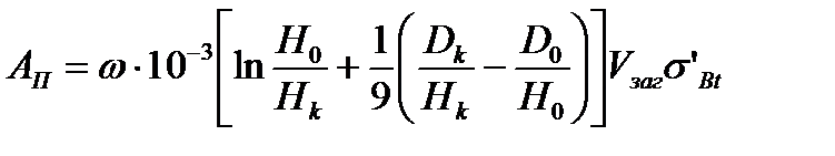
Работа деформации при осадке за последний удар бойка молота:

,

где р- удельное усилие в конечный момент:

,

- скоростной коэффициент, учитываемый при осадке под молотом, =3.

Энергия удара молота, соответствующая работе

,

где - коэффициент полезного действия удара, ≈0,8

Энергия удара молота (кгс·м) находится в следующей зависимости от массы падающих частей G по ГОСТ 9752-75:

.

Отсюда работа деформации при осадке:

.

Полная работа деформации при осадке

,

где - предел прочности при растяжении для средней температуры за весь процесс осадки

Средняя температура осадки, °С:

,

где и - соответственно температура начала и конца осадки.

Число ударов бойка молота

.

Усилие открытой прошивки (усилие, необходимое для получения отверстия сплошным прошивнем)

,

где d- диаметр прошивня, мм; h- толщина донышка заготовки под прошивнем, мм; - диаметр прошиваемой заготовки.

Последняя формула рекомендуется для <5.

Усилие, необходимое для скручивания цилиндрического участка поковки на любой угол

,

где - диаметр в месте скручивания, мм; - длина плеча вилки; - угол поворота вилки от горизонтальной плоскости, градусы.

Крутящий момент

,

где - момент сопротивления сечения металла.

После определения усилия гидравлического пресса или массы падающих частей молота подбирают оборудование. Усилие или массу выбирают по таблицам ГОСТов, принимая ближайшее большее значение. Номинальная масса падающих частей пневматических молотов (по ГОСТ 712-75): 50; 80; 160; 250; 400; 630 и 1000 кг (энергия удара в пределах 0,8-28 кДж). Номинальная масса падающих частей ковочных паровоздушных молотов двойного действия составляет (по ГОСТ 9752-75): 1000; 2000; 3150; 5000 и 8000 кг (энергия удара в пределах 25-200 кДж). Усилие ковочных гидравлических прессов (по ГОСТ 7284-70): 200; 315; 500; 800; 1250; 2000; 3150 тс (1,96-30,9 МН).

Основные данные по ковочному оборудованию приведены в табл. 7, 8 и 9.

 

 

Таблица 7- Основные параметры и размеры ковочных пневматических молотов

Параметры и размеры Номинальная масса падающих частей, кг
             
Энергия удара, кДж (кгс·м), не менее Число ударов в минуту Высота рабочей зоны в свету, мм Размеры зеркала бойков (длина, ширина), мм 0,8 (80)       100х56 1,4 (140)       130х63 3,15 (315)       190х75 5,6 (560)       210х80 (1000)       250х90 (1600)       320х130 (2800)       360х140

 

Ковочные приводные пневматические молоты, предназначены для изготовления ковкой поковок малой массы из прокатанных заготовок. Допускают также ковку в подкладных штампах. Масса фасонных поковок, получаемых ковкой, колеблется в пределах 0,3-70 кг, а гладких валов - 7,5-250 кг в зависимости от номинальной массы падающих частей молота.


Ковочные паровоздушные молоты двойного действия предназначены для изготовления поковок средней массы преимущественно из прокатанных заготовок, а также для ковки в подкладных штампах. Масса фасонных поковок, получаемых ковкой, колеблется в пределах 20-1300 кг, а гладких валов - 250-2500 кг в зависимости от номинальной массы падающих частей молота.

Ковочные гидравлические прессы предназначены для изготовления ковкой поковок преимущественно из слитков, а также для ковки в подкладных штампах. Масса слитков, подвергаемых ковке, колеблется в пределах 0,65-98 т в зависимости от номинального усилия пресса. На более мощных прессах, усилием 10000 и 15000 тс (98 и 147 МН), можно отковывать поковки максимальной массой до 200 т.







Date: 2015-07-23; view: 1492; Нарушение авторских прав



mydocx.ru - 2015-2026 year. (1.576 sec.) Все материалы представленные на сайте исключительно с целью ознакомления читателями и не преследуют коммерческих целей или нарушение авторских прав - Пожаловаться на публикацию