Главная Случайная страница


Полезное:

Как сделать разговор полезным и приятным Как сделать объемную звезду своими руками Как сделать то, что делать не хочется? Как сделать погремушку Как сделать так чтобы женщины сами знакомились с вами Как сделать идею коммерческой Как сделать хорошую растяжку ног? Как сделать наш разум здоровым? Как сделать, чтобы люди обманывали меньше Вопрос 4. Как сделать так, чтобы вас уважали и ценили? Как сделать лучше себе и другим людям Как сделать свидание интересным?


Категории:

АрхитектураАстрономияБиологияГеографияГеологияИнформатикаИскусствоИсторияКулинарияКультураМаркетингМатематикаМедицинаМенеджментОхрана трудаПравоПроизводствоПсихологияРелигияСоциологияСпортТехникаФизикаФилософияХимияЭкологияЭкономикаЭлектроника






Технические характеристики цикличных транспортных средств





Марка Грузо подъемн., т Макс. скор., км/ч Внутр. размеры грузовой платформы, м (объем кузова, м3) Габаритные размеры, м
ЗИЛ-433100 6,0   4,6х2,3х0,5 7,6х2,5х2,656
СБ-92-1А     Обьём перевозимой бетонной смеси 5м3 7,3х3,3х2,5
YПР-1212     Длина грузовой площадки 11,88 м 8,4х2,5х2,7
Газ-53-27 4,5   3,74*2,17*0,680 6,395*2,53*2,22

Для того чтобы рассчитать потребность в автотранспортных средствах необходимо знать, сколько материала потребуется для кладки стен и выполнения монтажных работ (раствора, кирпича, блоков, перемычек, плит перекрытий).Зная объем работ по каждой намеченной рабочей операции можно определить, количество рейсов для доставки строительных материалов.

При доставке кирпича и др. каменных материалов в пакетах на поддонах или в контейнерах, нужно определить, сколько потребуется всего поддонов, затем определить количество поддонов перевозимых автомобилем за один рейс, а затем количество рейсов, необходимое для доставки нужного количества материала.Расчет потребности в автотранспортных средствах осуществляется в табличной форме (табл. 8) и выполняется в следующей последовательности:

- в расчетную таблицу заносится необходимая информация (гр. 1, 4, 6, 7 и 8) согласно выданного задания;

- определяется объем перевозимого груза (кирпича, блоков, плит и др.), одной автомашиной по формуле:

V = М · n, т (м3)

где М – масса груза перевозимого за один рейс (поддонов с кирпичом, с блоками, плит, раствора), т (м3);

n – количество рейсов одного автомобиля, рейсов:

где Р – количество материала (всего), подлежащего перевозке, т (м3).

Для кирпича силикатного:

рейса;

Для блоков ячеистого бетона:

рейсов;

Для раствора:

рейсов;

Количество рейсов для ЗИЛ-433100 n = 7 рейсов, дляГаз-53-27 n=7рейса. Количество рейсов для доставки плит перекрытия полуприцепом-плитовозом YПР-1212:

рейса;

Необходимое количество кирпича определяем по формуле

где Wк – объема кладки стен (перегородок) из кирпича, м3 или м2 (табл.3, гр. 4);

Wед – единичный объем, м3 (табл. 3, гр. 3);

Нр.к. – норма расхода кирпича, шт/м3 кладки (шт/100 м2 перегородок);

mк – масса 1 кирпича, кг (3,6 кг).

Необходимое количество силикатного кирпича для кладки внутренних стен:

 

Необходимое количество блоков ячеистого бетона для кладки наружных стен:

 

Масса поддонов (контейнеров) с грузом перевозимых за один рейс:

М = mn · nП, т

Где mn – масса 1 поддона (контейнера) с грузом, кг. Масса поддона ПП-1,84 =1,84 т., ПОД – 1,3 т., платформы КП-4,0Г -4,0 т., КП-3,6 – 3,6т..

nП – количество поддонов (контейнеров) перевозимых машиной за рейс, шт. Зависит от грузоподъемности транспортного средства и внутренних размеров платформы.

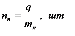
Количество поддонов (контейнеров) с грузом вмещаемое в кузов автомобиля с учетом его грузоподъемности

где q – грузоподъемность автотранспорта, т.

Кол-во поддонов ПП-1,84, вмещаемое в кузов ЗИЛ-433100:

Кол-во поддонов ПОД, вмещаемых в кузов Газ-53-27:

Количество поддонов, вмещаемое в кузов автомобиля с учетом внутренних размеров платформы транспортного средства:

где Lк – длина кузова, м;

bП – ширина поддона, м.

bпл– ширина платформы, м.

Кол-во поддонов ПП-1,84, вмещаемое в кузов ЗИЛ-433100:

Кол-во поддонов ПОД, вмещаемое в кузов Газ-53-27:

Сравнивая полученные значения nп для каждой машины принимаем меньшее значение.

Масса поддонов ПП-1,84 с силикатным кирпичом, перевозимых за один рейс машиной ЗИЛ-433100:

М = 1,84 · 3 = 5,52 т.

Масса поддонов ПОД с керамическим кирпичом, перевозимых за один рейс машиной МАЗ-5335:

М = 1,3 · 3= 3,9 т.

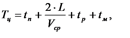
Продолжительность цикла одной транспортной единицы (гр. 13) определяется по формуле:

ч.

где L – расстояние перевозки, (см. бланк задания), км;

tп и tр (гр. 9 и 10) – время соответственно на погрузку и разгрузку автомобиля, ч.

Для погрузки кирпича и др. стеновых материалов в контейнерах и пакетах время на погрузку и разгрузку определяется по формуле:

tп + tр = (Нвр · М · nп)/60, ч.

где Нвр - норма времени простоя автомобиля под погрузкой и разгрузкой 1 т. груза, мин/т (прил. Е)[10];

Vср – средняя скорость движения автотранспорта (гр. 8), км/ч. Принимается по прил. Е, табл. Е.2. [10];

tм – время на маневрирование машины, 0,1 – 0,2 ч. (гр. 11).

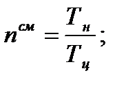
Потребное количество автотранспортных средств определяется для каждого грузопотока по формуле:


где Т – продолжительность перевозки материалов, дн.;

Тн – среднее время работы транспорта в смену, при продолжительности смены 8 ч принимается равным 7,5 ч, а при продолжительности смены 7 ч – равным 6,5 ч;

nсм – количество рейсов в смену, которые машина может совершать за время работы в течение суток,

к – коэффициент использования по грузоподъемности, в зависимости от вида перевозимого груза принимается 0,9 – 0,95.

Для перевозки блоков ячеистого бетона на поддонах ПП-1,84 машиной ЗИЛ-433100:

tп + tр = (4,58 · 5,52 · 3)/60 = 1,26 ч.

Полученное количество транспортных средств округляется до целого числа.







Date: 2015-07-23; view: 841; Нарушение авторских прав



mydocx.ru - 2015-2026 year. (0.235 sec.) Все материалы представленные на сайте исключительно с целью ознакомления читателями и не преследуют коммерческих целей или нарушение авторских прав - Пожаловаться на публикацию