Главная Случайная страница


Полезное:

Как сделать разговор полезным и приятным Как сделать объемную звезду своими руками Как сделать то, что делать не хочется? Как сделать погремушку Как сделать так чтобы женщины сами знакомились с вами Как сделать идею коммерческой Как сделать хорошую растяжку ног? Как сделать наш разум здоровым? Как сделать, чтобы люди обманывали меньше Вопрос 4. Как сделать так, чтобы вас уважали и ценили? Как сделать лучше себе и другим людям Как сделать свидание интересным?


Категории:

АрхитектураАстрономияБиологияГеографияГеологияИнформатикаИскусствоИсторияКулинарияКультураМаркетингМатематикаМедицинаМенеджментОхрана трудаПравоПроизводствоПсихологияРелигияСоциологияСпортТехникаФизикаФилософияХимияЭкологияЭкономикаЭлектроника






Индексы средних величин





При изучении качественных показателей часто приходится рассматривать изменение во времени (или пространстве) средней величины индексируемого показателя для определённой совокупности. Например, в статистических сборниках публикуются данные о динамике средних цен, средней номинальной заработной плате в отдельных отраслях и т.д.

Средняя величина является обобщающей характеристикой качественного показателя и складывается как под влиянием значений показателя у индивидуальных элементов (единиц), из которых состоит объект, так и под влиянием количества единиц с разными значениями показателя («структуры» объекта).

Если любой качественный индексируемый показатель обозначить через x, а его веса – через f, то при анализе изменения среднего показателя можно определить влияние на изменение средней величины обоих факторов (изменение x и изменение f вместе), так и каждого в отдельности.

Вместо частот в индексах средних величин могут использоваться доли единиц с определенным значением признака ( - доля единиц с определенным значением признака в отчетном периоде ( и в базисном периоде ((.

Для анализа изменения средней величины используются три различных индекса:

индекс переменного состава ;

индекс постоянного состава ;

индекс структурных сдвигов .

 

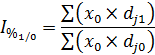
Индекс переменного состава отражает изменение среднего показателя под влиянием изменения изучаемой величины x у отдельных элементов и изменения структуры совокупности (изменение f).

Любой индекс переменного состава – это отношение двух средних величин для однородной совокупности (за два периода или по двум территориям):

 

Индекс постоянного состава отражает изменение среднего показателя под влияниемтолько изменения значений величины x.

 

 

 

Индекс структурных сдвигов отражает изменение среднего показателя под влиянием только изменения структуры совокупности (изменения f).

 

 







Date: 2015-07-23; view: 1263; Нарушение авторских прав



mydocx.ru - 2015-2026 year. (0.223 sec.) Все материалы представленные на сайте исключительно с целью ознакомления читателями и не преследуют коммерческих целей или нарушение авторских прав - Пожаловаться на публикацию