Главная Случайная страница


Полезное:

Как сделать разговор полезным и приятным Как сделать объемную звезду своими руками Как сделать то, что делать не хочется? Как сделать погремушку Как сделать так чтобы женщины сами знакомились с вами Как сделать идею коммерческой Как сделать хорошую растяжку ног? Как сделать наш разум здоровым? Как сделать, чтобы люди обманывали меньше Вопрос 4. Как сделать так, чтобы вас уважали и ценили? Как сделать лучше себе и другим людям Как сделать свидание интересным?


Категории:

АрхитектураАстрономияБиологияГеографияГеологияИнформатикаИскусствоИсторияКулинарияКультураМаркетингМатематикаМедицинаМенеджментОхрана трудаПравоПроизводствоПсихологияРелигияСоциологияСпортТехникаФизикаФилософияХимияЭкологияЭкономикаЭлектроника






Ход работы. 1. Изучить устройство и работу твердомера типа ТШ





1. Изучить устройство и работу твердомера типа ТШ.

2. Ознакомиться с правилами по технике безопасности при работе на твердомерах.

3. Измерить твердость двух образцов, изготовленных из углеродистых конструкционной и инструментальной сталей и сравнить результаты.

4. По полученным числам твердости определить величины предела прочности, пользуясь имеющимися соотношениями между НВ и Gb.

 

Твердость - это свойство металла сопротивляться проникновению в него другого более твердого тела определенной формы и размеров. Определения твердости является наиболее широко распространенным методом испытания металлов, позволяющим в большинстве случаев без разрушения изделия и изготовления специальных образцов судить о качестве изделия.

Приборы для испытания на твердость просты, обладают высокой производительностью, не требует работников высокой квалификации и могут использоваться непосредственно на рабочем месте. При испытании на твердость обычно определяется сопротивление металлов деформации при вдавливании наконечника.

Наиболее широко применяются следующие способы измерения твердости:

1. вдавливание стального шарика (метод Бринеля)

2. вдавливание алмазного конуса (метод Роквелла)

3. вдавливание четырехгранной алмазной пирамиды (метод Виккерса)

Твердость по метод\ Бринеля определяют п\тем вдавливания стального закаленного шарика диаметром 10; 5 или 2.5 мм в испытуемую плоскую поверхность под действием заданной нагрузки в течение определенного времени

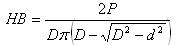
Выбор диаметра шарика, нагрузки и времени выдержки под нагрузкой производится в зависимости от материала и толщены испытуемого изделия или образца. В таблице 1 приведены установленные ГОСТом нормы испытаний по Бринелю. Число твердости по Бринелю определяется как отношение давления Р к сферической поверхности отпечатка и обозначается буквой НВ

НВ = P/F

где: D - диаметр шариков мм

d - диаметр отпечатка в мм

Р - нагрузка на шарик вкг.

К недостаткам метода Бринеля следует отнести:

♦ невозможность испытания металлов, имеющих твердость более I IB - 450. так как шарик будет деформироваться и показания будут неточными;

♦ невозможность испытания твердости тонкого поверхностного слоя (менее 1-2 мм), так как шарик будет продавливать тонкий слой металла:

♦после испытания остаются заметные следы на поверхности изделия







Date: 2015-07-23; view: 1731; Нарушение авторских прав



mydocx.ru - 2015-2026 year. (0.744 sec.) Все материалы представленные на сайте исключительно с целью ознакомления читателями и не преследуют коммерческих целей или нарушение авторских прав - Пожаловаться на публикацию