Главная Случайная страница


Полезное:

Как сделать разговор полезным и приятным Как сделать объемную звезду своими руками Как сделать то, что делать не хочется? Как сделать погремушку Как сделать так чтобы женщины сами знакомились с вами Как сделать идею коммерческой Как сделать хорошую растяжку ног? Как сделать наш разум здоровым? Как сделать, чтобы люди обманывали меньше Вопрос 4. Как сделать так, чтобы вас уважали и ценили? Как сделать лучше себе и другим людям Как сделать свидание интересным?


Категории:

АрхитектураАстрономияБиологияГеографияГеологияИнформатикаИскусствоИсторияКулинарияКультураМаркетингМатематикаМедицинаМенеджментОхрана трудаПравоПроизводствоПсихологияРелигияСоциологияСпортТехникаФизикаФилософияХимияЭкологияЭкономикаЭлектроника






Высшая математика





Задачи к экзамену

по дисциплине

для студентов 2 курса заочной формы обучения

по специальности 280705.65«Пожарная безопасность»

 

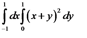
1. Вычислить двукратный интеграл .

2. Вычислить двойной интеграл по области , ограниченной параболой и прямыми , .

3. Вычислить трехкратный интеграл .

4. Возвести в степень .

5. Извлечь корень из комплексного числа .

6. Пусть , . Найти действительные значения и , для которых .

7. Пользуясь признаком Даламбера, исследовать на сходимость ряд .

8. Пользуясь радикальным признаком Коши, исследовать на сходимость ряд .

9. Пользуясь предельным признаком сравнения, исследовать на сходимость ряд .

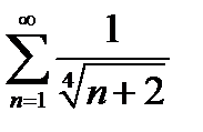
10. Исследовать на сходимость числовой ряд .

11. Исследовать ряд на сходимость с помощью признака Лейбница.

12. Исследовать ряд на сходимость и установить характер сходимости.

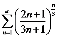
13. Найти область сходимости степенного ряда .

14. Найти радиус и интервал сходимости степенного ряда .

15. Вычислить несобственный интеграл с точностью до 0,01.

16. Вычислить с точностью 0,001.

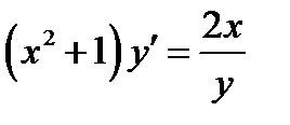
17. Найти общее решение дифференциального уравнения с разделяющимися переменными .

18. Найти общее решение дифференциального уравнения .

19. Найти частное решение уравнения , удовлетворяющие указанным начальным условиям .

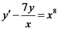
20. Решить линейное дифференциальное уравнение первого порядка .

21. Найти общее решение линейного дифференциального уравнения первого порядка .

22. Решить уравнение .

23. Найти общее решение дифференциального уравнения .

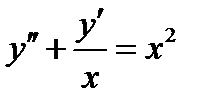
24. Найти общее решение дифференциального уравнения второго порядка .

25. Найти общее решение линейного неоднородного дифференциального уравнения второго порядка .

26. Найти общее решение линейного неоднородного дифференциального уравнения второго порядка .

27. На втором курсе университета изучается 12 предметов. Учебный отдел составляет расписание на субботу, учитывая, что в этот день недели должно быть не более трех пар различных занятий. Сколько различных способов составления расписания существует?

28. В ящике находится 5 разноцветных шаров. Выбирают 3 шара. Сколько вариантов выбора существует?

29. Подбрасываются два игральных кубика, подсчитывается сумма очков на верхних гранях. Что вероятнее – получить в сумме 6 или 9?

30. В партии из 8 деталей 5 стандартных. Найти вероятность того, что среди 4 взятых наудачу деталей 3 стандартных.

31. На объекте используются огнетушители трех заводов, причем 20 огнетушителей изготовлены на первом заводе, 30 огнетушителей изготовлены на втором заводе и 50 огнетушителей – на третьем заводе. Вероятность брака для каждого из заводов составляет соответственно 0,02, 0,04 и 0,03 соответственно. Найти вероятность того, что взятый наугад огнетушитель бракованный.

32. В трех одинаковых урнах лежат по 10 шаров. В первой находится 5 белых и 5 черных, во второй 7 белых и 3 черных, в третьей 9 белых и 1 черный. Наугад из одной урны извлекается шар. Он оказался белым. Определить вероятность, что он был взят из третьей урны.

33. Вероятность того, что при сортировке изделий одно из них будет разбито, равна 0,005. Найти вероятность того, что из 200 изделий окажутся разбитыми три изделия.

34. В партии из шести деталей имеется четыре стандартных. Наудачу отобраны три детали. Составить закон распределения дискретной случайной величины – числа стандартных деталей среди отобранных.

35. Найти математическое ожидание, дисперсию и среднее квадратическое отклонение случайной величины , заданной следующим законом распределения:

     
0,1 0,6 0,3

36. Непрерывная случайная величина задана плотностью распределения , . Найти математическое ожидание, дисперсию и среднее квадратическое отклонение непрерывной случайной величины .

37. Устройство состоит из двух независимо работающих элементов. Вероятность отказа каждого элемента в одном опыте равна 0,2. Составить закон распределения числа отказавших элементов в одном опыте.

38. Найти дисперсию дискретной случайной величины – числа появления события в двух независимых испытаниях, если вероятности появления события в этих испытаниях одинаковы и известно, что .

39. Математическое ожидание и среднее квадратическое отклонение случайной величины, распределенной по нормальному закону, соответственно равны 30 и 10. Найти вероятность того, что примет значение, принадлежащее интервалу .

40. В результате тестирования группа абитуриентов набрала баллы: 42, 41, 41, 40, 44, 43, 43, 43, 45, 40, 44, 42, 41, 41, 43, 43, 42, 44, 43, 43, 43, 41, 42, 43, 41, 41, 42, 44, 43, 41. Построить статистический ряд распределения.


41. Группа из 23 курсантов сдавала экзамен по математике. Полученные результаты представлены следующим статистическим рядом:

       
       

Найти среднюю арифметическую, дисперсию и среднее квадратическое отклонение.

42. По данным независимых равноточных измерений некоторой физической величины найдены среднее арифметическое результатов измерений и исправленное среднее квадратическое отклонение . Оценить истинное значение измеряемой величины при помощи доверительного интервала с надежностью .

43. Построить поле корреляции и найти линейный коэффициент парной корреляции по данным таблицы:

                   
                   

44. Найти выборочное уравнение прямой линии регрессии на по данным таблицы:

6,0 6,5 6,8 7,0 7,4 8,0 8,2 8,7 9,0 10,0
                   

 

Доцент кафедры ОиСД, к.п.н. Л.Е. Туканова

 

Зав.кафедрой ОиСД, к.п.н., доцент И.П. Курляндская

 

 







Date: 2015-07-23; view: 738; Нарушение авторских прав



mydocx.ru - 2015-2026 year. (0.791 sec.) Все материалы представленные на сайте исключительно с целью ознакомления читателями и не преследуют коммерческих целей или нарушение авторских прав - Пожаловаться на публикацию