Главная Случайная страница


Полезное:

Как сделать разговор полезным и приятным Как сделать объемную звезду своими руками Как сделать то, что делать не хочется? Как сделать погремушку Как сделать так чтобы женщины сами знакомились с вами Как сделать идею коммерческой Как сделать хорошую растяжку ног? Как сделать наш разум здоровым? Как сделать, чтобы люди обманывали меньше Вопрос 4. Как сделать так, чтобы вас уважали и ценили? Как сделать лучше себе и другим людям Как сделать свидание интересным?


Категории:

АрхитектураАстрономияБиологияГеографияГеологияИнформатикаИскусствоИсторияКулинарияКультураМаркетингМатематикаМедицинаМенеджментОхрана трудаПравоПроизводствоПсихологияРелигияСоциологияСпортТехникаФизикаФилософияХимияЭкологияЭкономикаЭлектроника






Умова неперервності струмини





Розглянемо деякий об’єм всередині рухомої ідеальної нестисливої (практично нев’язкої) рідини. Лінії, у кожній точці яких дотична збігається з вектором швидкості рідини, називають лініями потоку. Виділимо у рухомій рідині об’єм, обмежений лініями потоку. Оскільки лінії потоку не перетинаються і рідина не може виходити через бічну поверхню, то об’єм рідини, обмежений лініями потоку, називається трубкою потоку.

Виберемо у трубці потоку два поперечні перерізи S1 і S2 і відповідні їм швидкості течії рідини – v1 і v2. Внаслідок того, що рідина нестислива, не розривається i не переходить через бічні поверхні трубки, то за час ∆t через ці перерізи пройдуть однакові об’єми, а, отже, й однакові маси ∆m рідини. Тоді ∆m1 = ∆m2, або

∆m1 = ρ v1 і ∆m2 ρ v2 ,

∆m1 = ρ v1 S1 ∆t і ∆m2 = ρ v2 S2 ∆t,

ρ v1 S1 ∆t= ρ v2 S2 ∆t.

Поділивши рівняння на ρ·∆t, отримаємо

S1 v1 = S2 v2,

Перерізи були вибрані довільно, тому:

Sv = const

тобто при стаціонарній течії ідеальної рідини добуток швидкості течії на площу поперечного перерізу трубки є величина стала для будь-яких

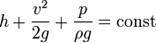
Рівня́ння Берну́ллі — рівняння гідроаеромеханіки, яке визначає зв'язок між швидкістю v рідини, тиском p в ній та висотою h частинок над площиною відліку.

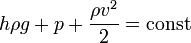
Встановив його у 1738 р. Д. Бернуллі. Для елементарного ламінарного струменя ідеальної нестисливої рідини рівняння Бернуллі має вигляд:

або де ρ — густина рідини; g-прискорення вільного падіння. В останньому рівнянні всі члени мають розмірність тиску, p — статичний тиск; — динамічний тиск; hρg — ваговий тиск.

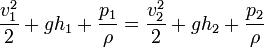
Якщо такі рівняння записати для двох перерізів течії, то матимемо:

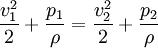
Для горизонтальної течії середні члени зліва і справа цього рівняння відпадуть і воно набере вигляду:

Тобто в усталеній горизонтальній течії ідеальної нестисливої рідини в кожному її перерізі сума статичного і динамічного тисків буде сталою. Отже, в тих місцях течії, де швидкість рідини більша (вузькі перерізи), її динамічний тиск збільшується, а статичний зменшується. Рівняння Бернуллі є наслідком закону збереження енергії.







Date: 2015-07-22; view: 874; Нарушение авторских прав



mydocx.ru - 2015-2026 year. (0.893 sec.) Все материалы представленные на сайте исключительно с целью ознакомления читателями и не преследуют коммерческих целей или нарушение авторских прав - Пожаловаться на публикацию