Главная Случайная страница


Полезное:

Как сделать разговор полезным и приятным Как сделать объемную звезду своими руками Как сделать то, что делать не хочется? Как сделать погремушку Как сделать так чтобы женщины сами знакомились с вами Как сделать идею коммерческой Как сделать хорошую растяжку ног? Как сделать наш разум здоровым? Как сделать, чтобы люди обманывали меньше Вопрос 4. Как сделать так, чтобы вас уважали и ценили? Как сделать лучше себе и другим людям Как сделать свидание интересным?


Категории:

АрхитектураАстрономияБиологияГеографияГеологияИнформатикаИскусствоИсторияКулинарияКультураМаркетингМатематикаМедицинаМенеджментОхрана трудаПравоПроизводствоПсихологияРелигияСоциологияСпортТехникаФизикаФилософияХимияЭкологияЭкономикаЭлектроника






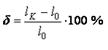
Относительное удлинение после разрыва





Относительное удлинение после разрыва d - это отношение приращения расчетной длины образца (lK – l0) после разрушения (рис. 2.4) к начальной расчетной длине l0, выраженное в процентах:

(2.8)

Для определения длины расчетной части lK после разрыва части образца плотно прикладывают друг к другу (рис. 2.4) и измеряют расстояние между метками, которые ограничивали начальную расчета длину.

Рис. 2.4. Круглый образец после испытания на растяжение

Относительное сужение

Относительное сужение y - это отношение абсолютного уменьшения площади поперечного сечения в шейке образца (F0 – FK) к начальной площади сечения F0, выраженное в процентах:

(2.9)

где F0 и FK - площади поперечного сечения образца до и после испытания соответственно.

 







Date: 2015-07-22; view: 718; Нарушение авторских прав



mydocx.ru - 2015-2026 year. (0.495 sec.) Все материалы представленные на сайте исключительно с целью ознакомления читателями и не преследуют коммерческих целей или нарушение авторских прав - Пожаловаться на публикацию