Главная Случайная страница


Полезное:

Как сделать разговор полезным и приятным Как сделать объемную звезду своими руками Как сделать то, что делать не хочется? Как сделать погремушку Как сделать так чтобы женщины сами знакомились с вами Как сделать идею коммерческой Как сделать хорошую растяжку ног? Как сделать наш разум здоровым? Как сделать, чтобы люди обманывали меньше Вопрос 4. Как сделать так, чтобы вас уважали и ценили? Как сделать лучше себе и другим людям Как сделать свидание интересным?


Категории:

АрхитектураАстрономияБиологияГеографияГеологияИнформатикаИскусствоИсторияКулинарияКультураМаркетингМатематикаМедицинаМенеджментОхрана трудаПравоПроизводствоПсихологияРелигияСоциологияСпортТехникаФизикаФилософияХимияЭкологияЭкономикаЭлектроника






Конспект лекций





 

Екатеринбург

 

 


 

1.Основные положения теории надежности.

 

1.1Основные понятия, термины и определение.

Сущность термина «надёжность».

 

Техническая система (ТС) – это совокупность совместно действующих объектов

 

(элементов), предназначенная для выполнения опредёленной функции (функции по назначению, целевой функции). Любой объект в свою очередь может рассматриваться как ТС. Элементы, из которых состоит система, могут быть восстанавливаемыми и невосстанавливаемыми: невосстанавливаемый элемент функционирует до первого отказа, после чего подлежит замене; восстанавливаемый элемент при отказе может быть восстановлен и продолжать функционировать (обычно восстанавливаемые элементы оснащаются устройствами по предупреждению и обнаружению отказа). Качество ТС определяется соответствием совокупности таких её показателей, как технические параметры, конструктивные особенности, энергетическая эффективность, надежность, дизайн, технологичность, унификация, экономичность, габариты и вес и т.п., требованиям потребителя.

Надежность – свойство объекта (ТС) сохранять во времени в установленных пределах значения параметров, характеризующих способность выполнять функции в заданных режимах при условиях применения, технического обслуживания, хранения и транспортирования в соответствии с

нормативно технической документацией (НТД) или, более просто:

 

Надежность – это способность ТС (объекта, изделия, устройства) выполнять целевую функцию

 

при установленных нормативно – технических документацией (НТД) условиях в процессе экс-

 

плуатации, хранения и транспортирования.

 

Надежность ТС формируется на всех этапах создания и использования ТС. Этому соответствует:

 

- надежность конструктивная (проектная);

 

- надежность производственная;

 

- надежность эксплуатационная.

 

Конструктивная надежность формируется на этапе проектирования и определяется

 

элементной базой, квалификацией проектировщика, адекватным учетом условий эксплуатации

 

и технологических факторов, наличием и учетом данных, необходимых для расчета надежности.

 

Производственная надёжность закладывается в процессе производства изделия и

 

зависит от культуры производства, технологической дисциплины, квалификации персонала.

 

Эксплуатационная надежность проявляется в процессе эксплуатации изделия и зависит

 

от таких фактов как соответствие реальных условий эксплуатации требованиям нормативно – технической и конструкторской документации (НТКД), организация технического обслуживания и квалификация обслуживающего персонала.

Необходимо отметить, что надежность, сформированная на предыдущем этапе «жизни» изделия является только основой надежности последующего этапа: фактическая надежность обеспечивается реальными условиями и может оказаться значительно ниже ожидаемой из – за воздействия негативных факторов (пренебрежение требованиями НТД и НТКД всегда приводят к снижению надежности).

Надежность ТС определяется следующими характеристиками:

- безотказностью;

 

- долговечностью;

 

- ремонтопригодностью;

 

- сохраняемостью.

 

 

Каждая из характеристик надежности оценивается количественными показателями, которые

 

рассмотрим ниже.

 


 

1.1.2. Основные термины.

 

ТС может находится в 2-х состояниях: исправном и неисправном:

 

Исправное состояние ТС – когда все параметры этой системы(основные и дополнительные) соответствуют НТД или НКД (НТ(к)Д).

Неисправное состояние ТС – когда хотя бы один из параметров системы не соответствует

 

НТ (К)Д.

 

Работоспособность – когда все параметры ТУ (ТС), определяющее выполнение функции по назначению, соответствуют НТ(К)Д.

Неработоспособность – когда хотя бы один из параметров, определяющих выполнение функции по назначению, не соответствует НТ(К)Д.

 

Повреждение – событие, в результате которого изделия становятся неисправными.

 

Дефект – неисправность, не связанная с потерей работоспособности.

 

Отказ – событие, заключающееся в потере работоспособности технической системой

 

(необратимое изменение свойств, нарушающее нормальное использование элементов системы).

 

Отказы всегда связаны с их идентификацией и восстановлением неисправного элемента.


 

Сбой – кратковременный самоустраняющийся отказ, при котором для восстановления работоспособности ремонта не требуется.


 

1.2. Количественные показатели надежности.

 

1.2.1. Количественные показатели безотказности.

 

Безотказность – свойство ТС непрерывно сохранять работоспособность в течении некоторой наработки этой ТС(для одних ТС наработка измеряется в единицах времени, для других в единицах объема или количестве циклов).

 

Причины отказов

 

 


Ошибки проекти- износ функциональных внезапное воздействие

рования, произво- элементов в предыдущий без видимых ухудшений,

дства и эксплуатации период случайное совпадение и

т.д.

 

Под износом понимается постепенное утрачивание элементом из ряда функциональных свойств под влиянием постоянно действующих факторов, имеющих и случайный и детерминированный характер.

 

Обозначим: tз -заданный период времени;

τ- время до наступления отказа;

 

τ

 

 


0 tз

 

Поскольку отказ носит случайный характер, то и время до его наступления τ также случайно.

 

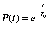
Это позволяет использовать для количественной оценки безотказности положения теории вероятности, которая изучает случайные процессы. В соответствии с этим вероятность отказа (или безотказной работы) в течении заданного периода t, имеет вид:

 

–функция ненадежности (вероятность отказа); - функция надежности (вероятность безотказной работы)

 

Графически эти функции имеют вид экспонент, по которым можно определить их значение для каждого момента времени t:

 

P,Q

 

 

1 ---------------------------------------------------------------------------------------------------------

 

 


Q(t)

 

 

P(t) --------------------

 


 

P(t)

 

 


0 t t

 

 

База данных для определения количественных пользователей надежности формируется путем

 

статистических наблюдений за различными объектами, которые могут быть организованы по одному из следующих принципов:

 

а) наблюдение за каждым объектом в течении всего времени его «жизни» (недостаток – большая

 

длительность наблюдений для получения необходимой базы данных);

б) одновременное наблюдение за группой однотипных объектов, работающих в примерно одинаковых условиях (достоинство – быстрое накопление данных, недостаток – данные надо корректировать в условиях, отличающихся от наблюдаемых);

в) интенсифицированные испытания в специально созданных условиях (лаборатория, стенд и т.д.):

перегрузки повышенная температура, повышенное содержание влаги и пыли, вибрация и т.п. (достоинство – быстрое накопление данных, недостаток – трудность адекватного учета отклонения условий испытаний от режима реальной эксплуатации).

Безотказность как характеристика надежности невосстанавливаемых элементов определяется следующими количественными показателями:

 

- безотказностью;

 

- вероятностью отказа;

 

- наработкой на отказ;

 

- частотой отказов;

 

- интенсивностью отказов.

 

 

а) Безотказность-это вероятность того, что в заданном интервале времени отказа не произойдет соответствует выражению:


или

 

где N0-число наблюдаемых устройств;

N(t)-число исправных устройств на момент времени t.

Для реальных статических наблюдений ():

Где:N0-общее число наблюдаемых устройств;

Ni-число устройств, работающих безотказно в промежутке времени

t- время, для которого определяется вероятность безотказной работы

б)Вероятность отказа – это вероятность того, что в заданном интервале времени отказ произойдет:

 

или


где n(t) –количество устройств, отказавших к моменту времени t.

 

Для реальных наблюдений:

где -число элементов, отказавших в 𝑖-том интервале времени Δt

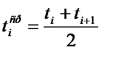
в)Наработка на отказ – это среднее время безотказной работы (или среднее количество циклов):

 

где:ti-среднее время наработки

 

Для устройств, наблюдаемых одновременно, средняя наработка на отказ может быть определена так:

 

 

где-ti наработка до отказа 𝑖-того устройства.

 

Для группы однотипных элементов, наблюдаемых в разные промежутки времени

 

где ni-число отказавших однотипных элементов;

 

–среднее время безотказной работы в i-том интервале времени:

 


Отметим, что tср может быть определено и так: (докажите!)

 


 

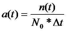
г) Частота отказов – отношение числа элементов, отказавших в единицу времени, к первоначальному числу наблюдаемых элементов:

 

где n(t) – число элементов, отказавших заданном интервале времени ;

 

Частота отказов позволяет определить число элементов, которые могут выйти из строя в определенный моментом времени:

 


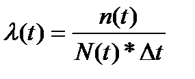
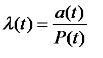
д) Интенсивность отказов λ (t) – это отношение числа элементов отказавших, в единицу времени , к числу элементов, оставшихся исправными:

 

где n(t) и N(t) – число отказавших и оставшихся исправными элементов на момент времени t

 

Интенсивность отказов может быть определена на частоте отказов и безотказности:

 

- (докажите!)

 

В общем случае интенсивность отказов зависит от времени. Однако исследования в отношении характера изменения лямбда- характеристики(так называется зависимость λ=f(t)), показали что для подавляющего большинства ТС она имеет один и тот же вид:


 


λ

 

 

 


t1 t2 t3 t

 

Здесь:

 

t1 – период приработки (исправление погрешностей проектирования, изготовления и монтажа ТС) (до десятков часов);

 

t2 - период нормативной эксплуатации (десятки тысяч часов);

 

t2 - износ.

 

Выводы:

 

а) период приработки – закономерное явление;

 

б) в период нормальной эксплуатации отказы носят случайный характер, интенсивность отказов


 

минимальная и имеет постоянную величину.

 

Если принять для периода нормальной эксплуатации интенсивность отказов λ(t)= const можно

 

получить простое выражение, связывающее все показатели надежности.

 

Количество отказов за время t:

 

 

 

или использовав функцию надежности:

 

получим

 

 

 

 


 

P(t)

 

P(t+∆t)

∆t

t t

 

С учетом этого интенсивность отказов может быть определена следующим образом:

 

 

Найдем λ(t) при бесконечности малом приращения времени t:

 

 

При λ(t)=const=λ имеем

 

 

откуда

 

Решив, полученное выражение относительно P(t),имеем основное уравнение надежности

 

 

Остальные показатели могут быть определены известными способами:

 

Вероятность отказов:

 

Частота отказов:

 

Наработка до отказа: .

 

С учетом этого вероятность безотказной работы, может быть выражена через наработку до отказа:

 

Рассмотренные показатели безотказности являются основными для невосстанавливаемых элементов.

Для ремонтируемых (восстанавливаемых) элементов кроме вышеуказанных показателей

 

используются также следующие:

 

а) Средняя наработка на отказ Т – среднее значение наработки ремонтируемого устройства между отказами:


где ti – наработка до 1,2,…n-го отказа

 

n – число отказов от начала эксплуатация устройства до его списания

 

б) Параметр потока отказов ω(t) – это среднее количество отказов ремонтируемого устройства

 

в единицу времени, взятые для рассматриваемого момента времени:

 

 


где , – число отказов устройства по состоянию на рассматриваемые моменты времени соответственно и ;

N0 – число контролируемых устройств;

 

– рассматриваемый период работы устройства (причем. << ).

 

 

1.2.2. Количественные показатели долговечности:

 

Долговечность – свойство ТС сохранять работоспособность до наступления предельного

 

состояния при установленной системе обслуживания или ремонта.

 

Предельное состояние – несоответствие хотя бы одного параметра, влияющего на

 

выполнение функции по назначению требованиям НТ(К)Д.

 

Показатели долговечности выражается в единицах времени либо числе циклов работы.

 

Технический ресурс Тт – наработка устройства от начала эксплуатации или ее

 

возобновления после среднего или капитального ремонта до наступления его предельного

 

состояния (чистое время работы устройства за весь срок существования).

 

Средние ресурс Тср – среднее значение ресурса, определяемое для нескольких технических

 

одинаковых устройств.

 

Назначенный ресурс – чистая наработка ТС, после которой ее применение по назначению

 

должно быть прекращено.

 

Срок службы Тс – календарная продолжительность эксплуатации ТС от начала работы или ее возобновление после среднего или капитального ремонта, до наступления ее предельного состояния.

 

Назначенный срок службы – календарная продолжительность эксплуатации ТС после

 

которой ее применения по назначению должно быть прекращено.

 

 







Date: 2015-07-11; view: 578; Нарушение авторских прав



mydocx.ru - 2015-2026 year. (1.671 sec.) Все материалы представленные на сайте исключительно с целью ознакомления читателями и не преследуют коммерческих целей или нарушение авторских прав - Пожаловаться на публикацию