Главная Случайная страница


Полезное:

Как сделать разговор полезным и приятным Как сделать объемную звезду своими руками Как сделать то, что делать не хочется? Как сделать погремушку Как сделать так чтобы женщины сами знакомились с вами Как сделать идею коммерческой Как сделать хорошую растяжку ног? Как сделать наш разум здоровым? Как сделать, чтобы люди обманывали меньше Вопрос 4. Как сделать так, чтобы вас уважали и ценили? Как сделать лучше себе и другим людям Как сделать свидание интересным?


Категории:

АрхитектураАстрономияБиологияГеографияГеологияИнформатикаИскусствоИсторияКулинарияКультураМаркетингМатематикаМедицинаМенеджментОхрана трудаПравоПроизводствоПсихологияРелигияСоциологияСпортТехникаФизикаФилософияХимияЭкологияЭкономикаЭлектроника






Прочностной Расчет основных элементов аппарата





4.1 Расчетная толщина цилиндрической обечайки колонны

Расчетная схема представлена на рисунке 4.1.

Расчетная толщина цилиндрической обечайки колонны

при рабочем состоянии от действия расчетного давления, , м,

,(4.9)

где D - диаметр обечайки колонны, D = 2,0 м.

Рисунок 4.1 - Расчетная схема корпуса колонны

м = 0,44 мм.

при условии гидроиспытания, , м,

,(4.10)

м = 0,7 мм.

Исполнительная толщина стенки цилиндрической обечайки корпуса в первом приближении s, мм

s > ,(4.11)

s > мм.

Согласно рекомендациям [14], при внутреннем давлении до 0,6 МПа и диаметре 1 м, толщину стенки обечайки колонны принимаем с запасом равной s = 8 мм.

Проверка условия применимости расчетных формул для цилиндрической обечайки

,(4.12)

Условие (4.12) цилиндрической обечайки колонны выполняется:

< 0,1.

 

4.2 Расчетная толщина эллиптического днища колонны

Толщину стенки эллиптического днища при действии внутреннего избыточного давления определяем по формуле

при рабочем состоянии от действия расчетного давления, , м,

,(4.13)

где R - радиус кривизны в центре днища, R = D = 2,0 м.

м = 0,4 мм.

при условии гидроиспытания , м,

,(4.14)

м = 0,7 мм.

Исполнительную толщину стенки эллиптического днища колонны согласно [14], для обеспечения принципа равностенности элементов сварных конструкций из легированных сталей принимаем также равной sД = 8 мм.

Проверка условия применимости расчетных формул для эллиптического днища

,(4.15)

Условие (4.17) для днища колонны выполняется:

.

4.3 Расчет укрепления отверстий

Производим проверку необходимости укрепления отверстий в обечайке и днищах колонны под технологические штуцера и люки: штуцеры для подачи исходной смеси, и для отвода очищенного газа с внутренними диаметрами патрубков =199 мм, штуцер для подачи и отвода жидкости с внутренним диаметром патрубка =207 мм, штуцер для предохранительного клапана с внутренним диаметром патрубка 47 мм, люки с внутренними диаметрами патрубков =500 мм. Также проверяем необходимость укрепления отверстий в обечайке цилиндрической опоры аппарата под лаз диаметром =600 мм и под вывод, диаметром мм.

Необходимость расчета укрепления отверстий возникает, если не выполняется условие

,(4.77)

где - расчетный диаметр отверстия в стенке колонны или опоры, м;

- расчетный диаметр одиночного отверстия, не требующего укрепления, м.

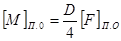
Расчетный диаметр одиночного отверстия , м, не требующего дополнительного укрепления, при наличии избыточной толщины стенки сосуда определяем по формуле

,(4.78)

где s - исполнительная толщина стенки, для корпуса колонны и опоры, s = 0,008 м;

s p - расчетная толщина стенки, для опоры принимается как и для корпуса колонны s p=0,008 м;

c - суммарная прибавка к расчетной толщине стенки, для корпуса колонны, с = 0,0018 м, для опоры с = 0,0016 м;

DР - расчетный диаметр укрепляемого элемента колонны, м.

Для цилиндрических обечаек корпуса колонны и опоры м;

Для эллиптических днища и крышки колонны, при H =0,25 D, , м.

,(4.79)

где x - расстояние от центра укрепляемого отверстия до центра эллиптического днища;

D - внутренний диаметр основания днища колонны, D = 1,8 м.

Принимаем x =0 м, при укреплении штуцеров для выхода жидкости и газа, тогда , м

м.

Принимаем x =0,3 м, при укреплении штуцера для предохранительного клапана, тогда , м:

м.

Расчетная толщина стенки эллиптического днища в месте укрепления sp, м, определяется из худшего условия нагружения при гидроиспытании

,(4.80)

где - расчетное давление в корпусе колонны в условиях испытания, =0,29 МПа;

j - коэффициент прочности сварных соединений, j = 0,9;

- допускаемое напряжение для материала колонны при условиях испытания,
=273 МПа.

м = 0,7 мм.

м = 0,3 мм.

для стенки обечайки колонны,

м.

для стенки обечайки опоры,

м.

для стенки днища,

м.

м.

Расчетный диаметр круглого отверстия штуцера люка d p, мм, в стенке обечайки при наличии люка с круглым поперечным сечением, ось которого совпадает с нормалью к поверхности в центре отверстия, определяют по формуле

,(4.81)

где сш - cуммарная прибавка к толщине стенки штуцера люка, с ш =1,8 мм.

мм.

Условие (4.77) выполняется для всех отверстий в стенках колонны и опоры поэтому нет необходимости их укреплять.

4.4 Выбор и расчет опоры аппарата

Для выбора стандартной цилиндрической опоры колонного аппарата определяем согласно [10] максимальную и минимальную приведенные нагрузки.


За максимальную приведенную нагрузку принимаем большее из значений

,(4.50)

,(4.51)

где , - расчетные изгибающие моменты в нижнем сечении опорной обечайки соответственно в режимах эксплуатации М1 = 0,013 и гидравлического испытания
М2 = 0,013;

, - осевые сжимающие силы, действующие в нижнем сечении опорной обечайки соответственно в режимах эксплуатации и гидравлического испытания.

,(4.52)

,(4.53)

где , - соответственно вес колонны в рабочих условиях и условиях гидроиспытания, МН, МН;

- вес цилиндрической опоры колонны, МН.

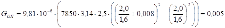
,(4.54)

где - высота цилиндрической опоры, принимаем согласно [10] = 2,5 м;

- плотность материала опоры, для углеродистой стали = 7850 кг/м3 [7];

- толщина стенки опоры, согласно рекомендациям [10] принимается равной толщине стенки корпуса колонны, т.е. = 8 мм.

МН.

МН,

МН.

Минимальная приведенная нагрузка

,(4.55)

где - расчетный изгибающий момент в нижнем сечении опорной обечайки при пустом (без теплоизоляции и устанавливаемых на месте монтажа внутренних устройств) аппарате, = 0,01 МНм;

- осевая сжимающая сила, действующая в нижнем сечении опорной обечайки при пустом аппарате (без изоляции и внутренних устройств).

,(4.56)

МН

где -масса пустой колонны без изоляции и тарелок, =5765 кг.

МН.

По полученным значениям МН и МН согласно [9] выбираем стандартную цилиндрическую опору на диаметр 1м с =0,63 МН, 0,32 МН, исполнения 3 - с кольцевым опорным поясом. Параметры выбранной опоры: наружный диаметр опорного кольца мм, внутренний диаметр опорного кольца мм, диаметр расположения фундаментных болтов мм, толщины обечайки опоры мм, толщина нижнего опорного кольца мм, толщина верхнего опорного кольца мм, диаметр отверстий в нижнем опорном кольце под шпильки мм, наружный диаметр резьбы шпильки мм, число болтов 6.

Опорную обечайку проверяем согласно [11] на прочность и устойчивость для рабочего условия и условия испытания.

Проверку прочности и устойчивости проводим в сечениях Г-Г (в месте сварного соединения опоры с корпусом аппарата, Д-Д (по центрам отверстий в опоре), Е-Е (в основании опоры).

Рисунок 4.3 - Параметры и расчетные сечения опоры.

 

Расчетную температуру в нижней части опорной обечайке определяем из условия

,(4.57)

где - перепад температуры вдоль опорной обечайки, согласно [9] на расстоянии 3,5 м от днища =420°С;

- температура нижнего днища аппарата, = 150°С.

°С.

Проверку прочности сварного шва, соединяющего корпус аппарата с опорной обечайкой (сечение Г-Г) осуществляем по формуле

,(4.58)

где - допускаемое напряжение для материала опорной обечайки при расчетной температуре, МПа;

- допускаемое напряжение для материала корпуса колонны при расчетной температуре, МПа;

- расчетная толщина сварного шва, = м.

В рабочих условиях при расчетной температуре стенок опорной обечайки и корпуса колонны = 150°С МПа, =135 МПа [8], М=0,06 и МН

МПа.

В условиях испытания при расчетной температуре стенок опорной обечайки и корпуса колонны =20°С МПа, =140 МПа [8], М=0,07 и МН

МПа.

Условие прочности сварного шва, соединяющего корпус аппарата с опорной обечайкой (4.53) выполняется и для рабочих условий и для условий испытания.


Проверку устойчивости опорной обечайки опоры в сечении Д-Д, проходящем по центру наибольшего отверстия в опоре (под лаз), диаметром = 600 мм осуществляем по формуле

,(4.59)

где , , - коэффициенты, при отсутствии в сечении Д–Д других отверстий согласно [9] при =600 мм и длине штуцера мм =0,85, =0,65, =0,08;

- соответственно допускаемая осевая сила и изгибающий момент в сечении опорной обечайки.

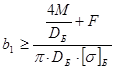
Допускаемое осевое сжимающее усилие для опорной обечайки, МН, определяем по формуле

,(4.60)

где - допускаемое сжимающее усилие для опорной обечайки из условия прочности, МН;

- допускаемое сжимающее усилие для опорной обечайки из условия устойчивости в пределах упругости, МН.

,(4.61)

где - общая величина прибавки к расчетному значению стенки опорной обечайки, принимаем при скорости коррозии на воздухе <0,05 мм/год с 1=1 мм [10], с 2=0,6 мм [10], тогда =1,6 мм.

при рабочем состоянии, при = 140 МПа

МН.

при условиях испытания, при = 150 МПа

МН.

Допускаемое осевое сжимающее усилие опорной обечайки , МН, при , определяем по выражению

,(4.62)

где - допускаемое осевое сжимающее усилие, определяем из условия местной устойчивости в пределах упругости, МН;

Е о - модуль продольной упругости, для углеродистой стали опорной обечайки при 20°С Е о=1,99·105МПа [7].

при рабочем состоянии,

МН,

при условиях испытания,

МН.

при рабочем состоянии,

МН,

при условиях испытания,

МН.

Допускаемый изгибающий момент для опорной обечайки, МН·м, определяем согласно [7], по формуле

,(4.63)

где - допускаемый изгибающий момент для опорной обечайки из условия прочности, МН·м;

- допускаемый изгибающий момент для опорной обечайки из условия устойчивости в пределах упругости, МН·м.

,(4.64)

при рабочем состоянии, при =2,83 МН

МН·м.

при условиях испытания, при =3,04 МН

МН·м.

Допускаемый изгибающий момент из условия устойчивости в пределах упругости для опорной обечайки , МН·м, согласно [8], определяем по выражению

,(4.65)

при рабочем состоянии,

МН·м,

при условиях испытания,

МН·м.

при рабочем состоянии,

МН·м,

при условиях испытания,

МН·м.

В рабочих условиях при М =0,013 МН и 0,07 МН

,

В условиях испытания при М =0,013 и 0,13 МН

.

Условие устойчивости (4.59) опорной обечайки опоры в сечении Д-Д, проходящем по центру наибольшего отверстия в опоре (под лаз), диаметром = 600 мм выполняется и для рабочих условий и для условий испытания.

Ширина нижнего опорного кольца , м, определяется по выражению

,(4.66)

где - наружный диаметр нижнего опорного кольца, = 2,28 м;

- внутренний диаметр нижнего опорного кольца, = 1,65 м.

м.

При этом согласно [15] ширина нижнего опорного кольца , м, должна удовлетворять условию

,(4.67)


где - диаметр окружности анкерных болтов, =1,16 м;

- допускаемое напряжение бетона на сжатие, для бетона марки 300 =8 МПа [12].

Рассматриваем наихудший случай нагружения в условиях гидроиспытания при

М = 0,0131 МНм и 0,13 МН:

0,165 м м.

Условие (4.67) выполняется, следовательно, окончательно оставляем ширину нижнего опорного кольца равной м.

Расчет анкерных болтов проводим согласно [10].

Опорную площадь кольца определим по формуле

,(4.68)

Момент сопротивления опорной площадки кольца определяем по формуле

,(4.69)

Максимальные напряжения на опорной поверхности кольца

,(4.70)

Номинальная расчетная толщина опорного кольца при l = 0,1м

,(4.71)

Так как расчетная толщина опорного кольца меньше принятой (25 > 12,1) то окончательно принимаем мм.

Наименьшие напряжения на опорной поверхности кольца,

При рабочих условиях

,(4.72)

При условии испытания

,(4.73)

Расчетным является большее по абсолютной величине значение s.

Общую условную расчетную нагрузку на фундаментные болты определим по формуле

,(4.74)

Нагрузка на один болт,

,(4.75)

Расчетный внутренний диаметр резьбы болтов

,(4.76)

Окончательно принимаем болты диаметром М30.

 

4.5 Расчет аппарата на ветровую нагрузку

Расчет аппарата на ветровую нагрузку выполним на ЭВМ с применением программы «Пассат»

4.5.1 Расчет в рабочих условиях (коррозия учтена)

На основании расчетов программы, расчет на ветровое возбуждение (ветровой резонанс) не требуется.

 

Период колебаний Т=0,2488 с

 

Элемент Высота до начала элемента Наружный диаметр Ветровая нагрузка от площадок Суммарная ветровая нагрузка Расчетный изгибающий момент
Опора колонного аппарата         4572*104
Днище эллиптическое         3787*104
Обечайка цилиндрическая         3753*104
Днище эллиптическое 1467*104        

 

4.5.2 Расчет в рабочих условиях (коррозия не учтена)

На основании расчетов программы, расчет на ветровое возбуждение (ветровой резонанс) не требуется.

Период колебаний Т=0,2384 с

 

Элемент Высота до начала элемента Наружный диаметр Ветровая нагрузка от площадок Суммарная ветровая нагрузка Расчетный изгибающий момент
Опора колонного аппарата         4419*104
Днище эллиптическое         3659*104
Обечайка цилиндрическая         3626*104
Днище эллиптическое 1467*104        

 

 

4.5.3 Расчет в условиях монтажа (коррозия учтена)

На основании расчетов программы, расчет на ветровое возбуждение (ветровой резонанс) не требуется.

Период колебаний Т=0,2356 с

 

Элемент Высота до начала элемента Наружный диаметр Ветровая нагрузка от площадок Суммарная ветровая нагрузка Расчетный изгибающий момент
Опора колонного аппарата         4419*104
Днище эллиптическое         3658*104
Обечайка цилиндрическая         3625*104
Днище эллиптическое 1467*104        

 

4.5.4 Расчет в условиях монтажа (коррозия не учтена)

На основании расчетов программы, расчет на ветровое возбуждение (ветровой резонанс) не требуется.

Период колебаний Т=0,2257 с

 

 

Элемент Высота до начала элемента Наружный диаметр Ветровая нагрузка от площадок Суммарная ветровая нагрузка Расчетный изгибающий момент
Опора колонного аппарата         4573*104
Днище эллиптическое         3788*104
Обечайка цилиндрическая         3754*104
Днище эллиптическое 1467*104        

 

4.5.5 Расчет в условиях испытаний (коррозия учтена)

На основании расчетов программы, расчет на ветровое возбуждение (ветровой резонанс) не требуется.

Период колебаний Т=0,2257 с

Элемент Высота до начала элемента Наружный диаметр Ветровая нагрузка от площадок Суммарная ветровая нагрузка Расчетный изгибающий момент
Опора колонного аппарата         4573*104
Днище эллиптическое         3788*104
Обечайка цилиндрическая         3754*104
Днище эллиптическое 1467*104        

 

 

4.5.6 Расчет в условиях испытаний (коррозия не учтена)

На основании расчетов программы, расчет на ветровое возбуждение (ветровой резонанс) не требуется.

Период колебаний Т=0,2257 с

 

Элемент Высота до начала элемента Наружный диаметр Ветровая нагрузка от площадок Суммарная ветровая нагрузка Расчетный изгибающий момент
Опора колонного аппарата         4573*104
Днище эллиптическое         3788*104
Обечайка цилиндрическая         3754*104
Днище эллиптическое 1467*104        

 







Date: 2015-07-10; view: 2507; Нарушение авторских прав



mydocx.ru - 2015-2026 year. (0.233 sec.) Все материалы представленные на сайте исключительно с целью ознакомления читателями и не преследуют коммерческих целей или нарушение авторских прав - Пожаловаться на публикацию