Главная Случайная страница


Полезное:

Как сделать разговор полезным и приятным Как сделать объемную звезду своими руками Как сделать то, что делать не хочется? Как сделать погремушку Как сделать так чтобы женщины сами знакомились с вами Как сделать идею коммерческой Как сделать хорошую растяжку ног? Как сделать наш разум здоровым? Как сделать, чтобы люди обманывали меньше Вопрос 4. Как сделать так, чтобы вас уважали и ценили? Как сделать лучше себе и другим людям Как сделать свидание интересным?


Категории:

АрхитектураАстрономияБиологияГеографияГеологияИнформатикаИскусствоИсторияКулинарияКультураМаркетингМатематикаМедицинаМенеджментОхрана трудаПравоПроизводствоПсихологияРелигияСоциологияСпортТехникаФизикаФилософияХимияЭкологияЭкономикаЭлектроника






Задание № 19





Среди представленных множеств линейное пространство не образует

Задание № 20

Дана совокупность векторов: , , , .
Максимальная размерность линейного пространства с базисными векторами, являющимися линейными комбинациями данных векторов, равна …

Задание № 21

Дано линейное преобразование векторов на плоскости Oxy, которое каждый вектор поворачивает на угол 900против часовой стрелки по отношению к исходному. Тогда матрица A этого преобразования имеет вид …

Задание № 22

Матрица линейного оператора в пространстве с базисом при переходе к базису принимает вид …

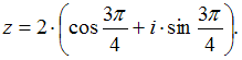
Задание № 23

Комплексное число задано в тригонометрической форме Тогда алгебраическая форма записи сопряженного к нему числа имеет вид …

Задание № 24

Модуль комплексного числа равен …







Date: 2015-07-10; view: 704; Нарушение авторских прав



mydocx.ru - 2015-2026 year. (1.667 sec.) Все материалы представленные на сайте исключительно с целью ознакомления читателями и не преследуют коммерческих целей или нарушение авторских прав - Пожаловаться на публикацию