Главная Случайная страница


Полезное:

Как сделать разговор полезным и приятным Как сделать объемную звезду своими руками Как сделать то, что делать не хочется? Как сделать погремушку Как сделать так чтобы женщины сами знакомились с вами Как сделать идею коммерческой Как сделать хорошую растяжку ног? Как сделать наш разум здоровым? Как сделать, чтобы люди обманывали меньше Вопрос 4. Как сделать так, чтобы вас уважали и ценили? Как сделать лучше себе и другим людям Как сделать свидание интересным?


Категории:

АрхитектураАстрономияБиологияГеографияГеологияИнформатикаИскусствоИсторияКулинарияКультураМаркетингМатематикаМедицинаМенеджментОхрана трудаПравоПроизводствоПсихологияРелигияСоциологияСпортТехникаФизикаФилософияХимияЭкологияЭкономикаЭлектроника






Задание № 10





Задание № 1

Корень уравнения равен …

 

1)

Задание № 2

Умножение матрицы A на матрицу B возможно, если эти матрицы имеют вид …

 


Задание № 3

Матрица, ранг которой равен единице, может иметь вид …

Задание № 4

Для матрицы A существует обратная, если она равна …


Задание № 5

Методом Крамера не может быть решена система линейных уравнений …

Задание № 6

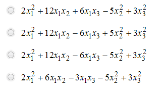
Матрице соответствует квадратичная форма равная …


Задание № 7

Даны три точки и Тогда вектор имеет координаты …

Задание № 8

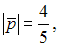
Даны два вектора и где угол между векторами и равен Тогда скалярное произведение векторов и будет равно …

Задание № 9

Даны два вектора и где угол между векторами и равен Тогда модуль векторного произведения векторов и будет равен единице, когда угол равен …

Задание № 10

Даны векторы и Установите последовательность смешанных произведений векторов в порядке возрастания их значений.







Date: 2015-07-10; view: 430; Нарушение авторских прав



mydocx.ru - 2015-2026 year. (0.886 sec.) Все материалы представленные на сайте исключительно с целью ознакомления читателями и не преследуют коммерческих целей или нарушение авторских прав - Пожаловаться на публикацию