Главная Случайная страница


Полезное:

Как сделать разговор полезным и приятным Как сделать объемную звезду своими руками Как сделать то, что делать не хочется? Как сделать погремушку Как сделать так чтобы женщины сами знакомились с вами Как сделать идею коммерческой Как сделать хорошую растяжку ног? Как сделать наш разум здоровым? Как сделать, чтобы люди обманывали меньше Вопрос 4. Как сделать так, чтобы вас уважали и ценили? Как сделать лучше себе и другим людям Как сделать свидание интересным?


Категории:

АрхитектураАстрономияБиологияГеографияГеологияИнформатикаИскусствоИсторияКулинарияКультураМаркетингМатематикаМедицинаМенеджментОхрана трудаПравоПроизводствоПсихологияРелигияСоциологияСпортТехникаФизикаФилософияХимияЭкологияЭкономикаЭлектроника






Задания к контрольной работе по дисциплине





«Линейная алгебра»

 

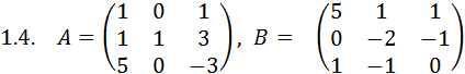
1. Заданы матрицы A, B, C. Найти матрицы (если они существуют:

1) 2A-3B;

2) 5(A+B+E);

3) A+C;

4) A∙B;

5) B∙A;

6) A∙BT

7) A∙C;

8) A∙TC;

9) C∙BT.

Здесь E – единичная матрица, T - знак транспонирования матрицы. Если какая-либо из матриц 1) - 9) не существует, то объяснить причину.

 

, C= .

 

, C= .

 

C= .

 

, C= .

 

, C= .

 

, C= .

 

, C= .

, C= .

 

, C= .

 

, C= .

 

2. Вычислить определитель четвёртого порядка.

 

 

2.1. 2.2.

 

2.3. 2.4.

 

2.5. 2.6.

 

2.7. 2.8

 

2.9. 2.10.

 

3. Найти обратную матрицу A-1 к заданной матрице A, предварительно убедившись, что обратная матрица существует. Сделать проверку.

 

3.1.

 

 

 

 

 

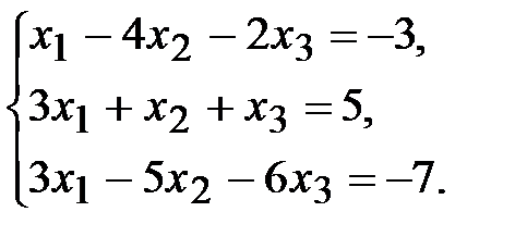
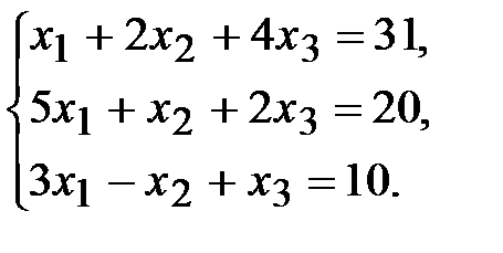
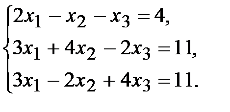
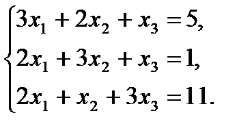
4. Дана система линейных неоднородных уравнений. Доказать её совместность и решить систему тремя способами:

1) средствами матричного исчисления;

2) по формулам Крамера;

3) методом Гаусса.

4.1. 4.2.

 

4.3. 4.4.

 

4.5. 4.6.

 

4.7. 4.8.

 

4.9. 4.10.

 

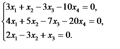
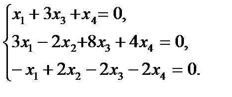
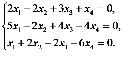
5. Методом Гаусса найти общее решение системы линейных однородных уравнений.

 

5.1. 5.2.

 

5.3. 5.4.

 

5.5. 5.6.

 

5.7. 5.8.

5.9. 5.10.

 

6. Найти собственные значения и собственные векторы линейного преобразования, заданного в некотором базисе записанной ниже матрицей А.

 

6.1. 6.2.

 

6.3. 6.4.

 

6.5. 6.6.

 

6.7. 6.8.

 

6.9. 6.10.

7. Точки А,В,С пространства заданы своими координатами в прямоугольной декартовой системе координат. Найти:

1) векторы , , ;

2) скалярное произведение ;

3) ;

4) векторное произведение и его модуль;

5) величины углов, длины сторон и площадь треугольника АВС;

6) смешанное произведение ;

7) уравнение плоскости, проходящей через точки A, B, C.

 

7.1.

 

7.2.

 

7.3.

7.4.

 

7.5.

 

7.6.

 

7.7.

 

7.8.

 

7.9.

 

7.10.

 

8. Установить, какая именно кривая второго порядка определяется указанным уравнением. Для этого, выделив полные квадраты по переменным x, y, преобразовать уравнение кривой. Найти координаты её центра, полуоси, эксцентриситет. Сделать чертёж.

8.1. .

 

8.2. .

8.3. .

 

8.4. .

 

8.5. .

 

8.6. .

 

8.7. .

 

8.8. .

 

8.9. .

 

8.10. .

Литература

Основная литература

1. Красс М.С., Чупрынов Б.П. Математика для экономистов. − СПб.: Питер, 2010. − 464 с.

2. Кремер Н.Ш., Путко Б.А., Гришин И.М., Фридман М.Н. Высшая математика для экономистов. / Под ред. Н.Ш. Кремера. - М.: ЮНИТИ, 2007. – 479 с.

3. Сборник задач по высшей математике для экономистов: Учебное пособие / Под ред. В.И. Ермакова. - М.: ИНФРА-М, 2007. − 576 с.

4. Данко П.Е., Попов А.Г., Кожевникова Т.Я. Высшая математика в упражнениях и задачах. В 2-х ч. - М.: Оникс 21 век, 2008.

5. Шипачёв В.С. Задачник по высшей математике. - М.: Высшая школа, 2009. − 304 с.

Дополнительная литература

1. Васин В.В., Шолохович Ф.А. Основы высшей математики: Учебник. Екатеринбург, 2004. – 376 с.

2. Сборник задач по математике для втузов. Ч.1: Учебное пособие / Под ред. А.В. Ефимова, А.С. Поспелова. - М.: Физматгиз, 2001. − 288 с.







Date: 2015-07-10; view: 483; Нарушение авторских прав



mydocx.ru - 2015-2026 year. (0.625 sec.) Все материалы представленные на сайте исключительно с целью ознакомления читателями и не преследуют коммерческих целей или нарушение авторских прав - Пожаловаться на публикацию