Главная Случайная страница


Полезное:

Как сделать разговор полезным и приятным Как сделать объемную звезду своими руками Как сделать то, что делать не хочется? Как сделать погремушку Как сделать так чтобы женщины сами знакомились с вами Как сделать идею коммерческой Как сделать хорошую растяжку ног? Как сделать наш разум здоровым? Как сделать, чтобы люди обманывали меньше Вопрос 4. Как сделать так, чтобы вас уважали и ценили? Как сделать лучше себе и другим людям Как сделать свидание интересным?


Категории:

АрхитектураАстрономияБиологияГеографияГеологияИнформатикаИскусствоИсторияКулинарияКультураМаркетингМатематикаМедицинаМенеджментОхрана трудаПравоПроизводствоПсихологияРелигияСоциологияСпортТехникаФизикаФилософияХимияЭкологияЭкономикаЭлектроника






Пример №1





Записать комплексные числа z1=-1+i и z2=-1в тригонометрической и показательной формах.

Решение: Для z1 имеем

т. е. φ=3p/4.

Поэтому

Для z2 имеем

т. е. j=p. Поэтому -1=cosπ+isinπ=е.


Пример №2

Найти

Решение: Запишем сначала число в тригонометрической форме:

По формуле Муавра имеем

 

 

Пример №3

 

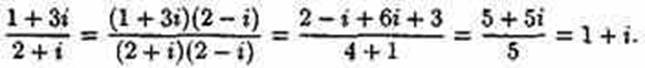
Выполнить деление

Решение:

Для тригонометрической формы комплексного числа формула деления имеет вид

При делении комплексных чисел их модули, соответственно, делятся, а аргументы, соответственно, вычитаются.


Пример №4

 

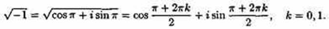
Найти значения

Решение: а) Запишем подкоренное выражение в тригонометрической форме:

.

Стало быть,

При k=0 имеем

при k=1 имеем

при k=2 имеем

б) Снова запишем подкоренное выражение в тригонометрической форме:

-1=cosπ+isinπ.

Поэтому

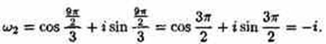
При k=0 получаем ω0=cosp/2+isinp/2=i, а при k=1 получаем

 







Date: 2015-07-02; view: 381; Нарушение авторских прав



mydocx.ru - 2015-2026 year. (4.018 sec.) Все материалы представленные на сайте исключительно с целью ознакомления читателями и не преследуют коммерческих целей или нарушение авторских прав - Пожаловаться на публикацию