Главная Случайная страница


Полезное:

Как сделать разговор полезным и приятным Как сделать объемную звезду своими руками Как сделать то, что делать не хочется? Как сделать погремушку Как сделать так чтобы женщины сами знакомились с вами Как сделать идею коммерческой Как сделать хорошую растяжку ног? Как сделать наш разум здоровым? Как сделать, чтобы люди обманывали меньше Вопрос 4. Как сделать так, чтобы вас уважали и ценили? Как сделать лучше себе и другим людям Как сделать свидание интересным?


Категории:

АрхитектураАстрономияБиологияГеографияГеологияИнформатикаИскусствоИсторияКулинарияКультураМаркетингМатематикаМедицинаМенеджментОхрана трудаПравоПроизводствоПсихологияРелигияСоциологияСпортТехникаФизикаФилософияХимияЭкологияЭкономикаЭлектроника






Матричное представление комплексных чисел





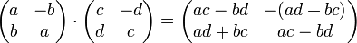
Каждому комплексному числу (С действительными и ) Можно поставить в соответствие квадратную матрицу 2-го порядка вида . Такое соответствие задает изоморфизм между системой комплексных чисел и системой матриц такого вида, если сложению, вычитанию и умножению комплексных чисел поставить в соответствие обычные сложения, вычитания и умножения матриц. Легко видеть, что в этом представлены операции комплексного сопряжения соответствует транспонирования матрицы. Настоящая единица представляется как единичная матрица , А мнимая единица - как .

Нетрудно проследить, что действительно вышеуказанные арифметические действия дают соответствующие результаты при выполнении их над числами и над соответствующими матрицами (что и доказывает изоморфность этих структур):

  1. , Что соответствует действия .
  2. , Что соответствует действия

 







Date: 2015-07-02; view: 2676; Нарушение авторских прав



mydocx.ru - 2015-2026 year. (0.789 sec.) Все материалы представленные на сайте исключительно с целью ознакомления читателями и не преследуют коммерческих целей или нарушение авторских прав - Пожаловаться на публикацию