Главная Случайная страница


Полезное:

Как сделать разговор полезным и приятным Как сделать объемную звезду своими руками Как сделать то, что делать не хочется? Как сделать погремушку Как сделать так чтобы женщины сами знакомились с вами Как сделать идею коммерческой Как сделать хорошую растяжку ног? Как сделать наш разум здоровым? Как сделать, чтобы люди обманывали меньше Вопрос 4. Как сделать так, чтобы вас уважали и ценили? Как сделать лучше себе и другим людям Как сделать свидание интересным?


Категории:

АрхитектураАстрономияБиологияГеографияГеологияИнформатикаИскусствоИсторияКулинарияКультураМаркетингМатематикаМедицинаМенеджментОхрана трудаПравоПроизводствоПсихологияРелигияСоциологияСпортТехникаФизикаФилософияХимияЭкологияЭкономикаЭлектроника






Теорема Кориолиса





 

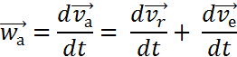
Найдем зависимость между относительным, переносным и абсолютным движениями точки. Из равенства (теорема о сложении скоростей) получим

Производные здесь определяют изменение каждого из векторов при абсолютном движении. Эти изменения слагаются в общем случае из изменений при относительном и при переносном движениях, что ниже будет доказано. Следовательно, если изменения, которые векторы получают при относительном движении, отмечать индексом «1», а при переносном индексом «2», то предыдущее равенство примет вид

+ (1)

Но по определению относительное ускорение характеризует изменение относительной скорости только при относительном движении, движение осей Oxyz, т.е. переносное движение при этом во внимание не принимается. Поэтому

В свою очередь, переносное ускорение характеризует изменение переносной скорости, только при переносном движении wе = wm, где m – точка, неизменно связная с Oxyz и, следовательно, получающая ускорение только при движении вместе с этими осями, т.е. при переносном движении. Поэтому

=

В результате из равенства (1) получим

= + + (2)

Введем обозначение

= (3)

Величина , характеризующая изменение относительной скорости точки при переносном движении и переносной скорости в ее относительном движении, называется поворотным, или кориолисовым, ускорением точки. В результате равенство (2) примет вид

 

  = + +  


Эта формула выражает теорему о сложении ускорений.

Теорема Кориолиса







Date: 2015-07-02; view: 390; Нарушение авторских прав



mydocx.ru - 2015-2026 year. (1.697 sec.) Все материалы представленные на сайте исключительно с целью ознакомления читателями и не преследуют коммерческих целей или нарушение авторских прав - Пожаловаться на публикацию