Главная Случайная страница


Полезное:

Как сделать разговор полезным и приятным Как сделать объемную звезду своими руками Как сделать то, что делать не хочется? Как сделать погремушку Как сделать так чтобы женщины сами знакомились с вами Как сделать идею коммерческой Как сделать хорошую растяжку ног? Как сделать наш разум здоровым? Как сделать, чтобы люди обманывали меньше Вопрос 4. Как сделать так, чтобы вас уважали и ценили? Как сделать лучше себе и другим людям Как сделать свидание интересным?


Категории:

АрхитектураАстрономияБиологияГеографияГеологияИнформатикаИскусствоИсторияКулинарияКультураМаркетингМатематикаМедицинаМенеджментОхрана трудаПравоПроизводствоПсихологияРелигияСоциологияСпортТехникаФизикаФилософияХимияЭкологияЭкономикаЭлектроника






Будова, iзомерiя, номенклатура i властивостi. Амiнами називають похiднi амiаку, в якого атоми водню замiщенi радикалами





Амiнами називають похiднi амiаку, в якого атоми водню замiщенi радикалами. За кiлькiстю замiщених в амiаку воднiв на радикали вони розподiляються на первиннi, вториннi i третиннi:

 

аміак первинний амін, метиламін вторинний амін, диметиламін третинний амін, триметиламін

Вiдповiдно до цього групи -NH, =NH i ºN називаються амiногрупами (первин-на, вторинна i третинна), але часто термiн "амiногрупа" використовується для озна-чення первинної амiногрупи, вторинна називається iмiногрупою, третинна –нiтрило-групою. Для бiльш складних амiнiв, де є старша група (будь-яка кисневмiсна), вико-ристовується префiкс "-амiно-". Наприклад: 2-амiнопропiонова кислота; 2-амiно-ета-нол; 2-N-метиламiноетанол СH3-NH-CH2-CH2-OH. Лiтера N вказує, що радикал метил стоїть бiля атома азоту.

Iзомерiя амiнiв залежить вiд iзомерiї вуглецевого ланцюга (в радикалах); положення амiногрупи у вуглецевому ланцюзi (CH3CH2CH2NH2-пропiламiн, CH3-CH (NH2)-CH3- iзопропiламiн) i вiд складу радикалiв (C2H5-NH-C2H5 - діетиламiн, CH3-NH-C3H7- метилпропiламiн) та вiд їх кiлькостi (C2H5NH2 - етиламін; CH3NHCH3 - диметиламін). У амiнiв бiльш сильнi основнi властивостi, нiж в амiаку, тому що алкiльнi радикали мають позитивний iндукцiйний ефект i збiльшують електронну густину на атомi азоту. Наприклад:

СН3NH2 + HCl ®CH3NH3Cl

Третинні аміни можуть алкілуватись далі, утворюючи солі четвертинних амо-нієвих основ, наприклад (СН3)3N + CH3I ® [(CH3)4N+] I - йодистий тетраметиламоній. Ці солі нейтральні, тому що відповідні гідроксиди чотиризамiщеного амонiю - сильнi основи.

Амiнокислоти - це тi кислоти, якi мiстять в радикалi одну або декiлька амiно-груп. Амiнокислоти входять до складу бiлкiв, тому вони мають важливе бiологiчне значення.

Для амінокислот використовують звичайно тривіальні назви (аланін, валін тощо); раціональні назви походять від назв відповідних карбонових кислот: спочатку вказують положення амiногрупи, префiкс "амiно-" i назву кислоти:

 

аланін; a - амінопропіонова кислота; 2-амінопропіонова кислота g - аміномасляна кислота; 4-амінобутанова кислота

 

Ізомерія амінокислот залежить від ізомерії вуглецевого ланцюга, положення аміногрупи щодо карбоксилу (a-,b-,g- і т.д.) і просторового розташування замісних груп у молекулі (оптична ізомерія).

В бiлках, як правило, мiстяться амiнокислоти L-ряду (див. табл.):

Назва Формула Умовне позначення
Гліцин H2N-CH2-COOH глі
Аланін CH3-CH(NH2)-COOH ала
Валін (CH3)2-CH-CH(NH2)-COOH вал
Лейцин лей
Ізолейцин ізолей
Аспарагінова кислота HOOC-CH2-CH(NH2)-COOH асп
Глутамінова кислота HOOC-CH2-СН2CH(NH2)-СOOH глу
Орнітін H2N(CH2)3 CH(NH2)COOH орн
Лізин H2N(CH2)4 CH(NH2)COOH ліз
Аргінін   арг
Серин HOCH2 CH(NH2)COOH сер
Треонін 3CH(ОН)CH(NH2)COOH тре
Метіонін 3 -S -CH2-СН2 –CH(NH2)COOН мет
Цистеїн НSCH2CH(NH2)COOH цис
Цистин цис-цис або цис-s-s-цис
Фенілаланін   фен
Тирозин   тир
Пролін про
Гістидин гіс
Триптофан три

Властивостi амiнокислот визначаються властивостями двох функцiональних груп: карбоксильної i амiногрупи. Специфiчнi властивостi залежать вiд їх взаємодiї.

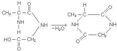
Так, з двох молекул a-амiнокислот утворюються дипептиди i дикетопiпера-зини:

аланіл-гліцин (дипептид), алаглі

дикетопіперазин

 

Дипептиди можуть реагувати з iншими молекулами амiнокислот, утворюючи полiпептиди. Угруповання називається пептидним i характерне для струк-тури бiлкiв. Полiпептиднi ланцюги з вiдповiдним чергуванням залишкiв амiнокислот -первинна структура бiлкової молекули.

g- амiнокислоти при взаємоодiї карбоксильної i амiногрупи утворюють лактами:

бутиролактам,

бутанамід

 

Амiди кислот - продукти замiщення гiдроксилу в карбоксильнiй групi кислот на групу -NН2. Загальна формула амiдiв:

Наприклад:

амід мурашиної кислоти, формамід, метанамід амід оцтової кислоти, ацетамід, етанамід

 

Група -NН2, яка замiщує гiдроксил в кислотному залишку, називається амiд-ною, наприклад:

    амід янтарної кислоти, сукцинімід

Найбiльш важлива реакцiя амiдiв кислот - гiдролiз при дiї розбавлених кислот або лугiв:

Особливе значення в класi амiдiв має повний амiд вугiльної кислоти – карба-мiд, або сечовина, кiнцевий продукт азотного обмiну людини i тварин:


 







Date: 2015-07-02; view: 608; Нарушение авторских прав



mydocx.ru - 2015-2026 year. (0.301 sec.) Все материалы представленные на сайте исключительно с целью ознакомления читателями и не преследуют коммерческих целей или нарушение авторских прав - Пожаловаться на публикацию