Главная Случайная страница


Полезное:

Как сделать разговор полезным и приятным Как сделать объемную звезду своими руками Как сделать то, что делать не хочется? Как сделать погремушку Как сделать так чтобы женщины сами знакомились с вами Как сделать идею коммерческой Как сделать хорошую растяжку ног? Как сделать наш разум здоровым? Как сделать, чтобы люди обманывали меньше Вопрос 4. Как сделать так, чтобы вас уважали и ценили? Как сделать лучше себе и другим людям Как сделать свидание интересным?


Категории:

АрхитектураАстрономияБиологияГеографияГеологияИнформатикаИскусствоИсторияКулинарияКультураМаркетингМатематикаМедицинаМенеджментОхрана трудаПравоПроизводствоПсихологияРелигияСоциологияСпортТехникаФизикаФилософияХимияЭкологияЭкономикаЭлектроника






Определение главного фокусного расстояния собирающей линзы





I способ - по расстояниям от оптического центра линзы до предмета и изображения.

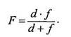
Из формул (1) и (3) следует, что:

(4)

следовательно:

(5)

Таким образом, зная расстояние d от предмета до оптического центра линзы и расстояние f от оптического центра до изображения (рис. 4.), можно рассчитать фокусное расстояние собирающей линза F.

 


При проведении измерений необходимо поместить собирающую линзу на оптической скамье между экраном и осветителем таким образом, чтобы свет от источника излучения шел параллельно оптической скамье и проходил через центр линзы. Перемещая линзу, необходимо получить на экране четкое изображение выреза осветителя в виде стрелочки. Измеряя расстояния d и f от выреза осветителя и от экрана до центра линзы, который отмечен на ее оправе чертой, по формуле (5) рассчитывается фокусное расстояние F.

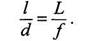
II способ - по величине предмета и изображения и по расстоянию от изображения до линзы.

Обозначим величину предмета - l, величину его изображения - L. Из рисунка 4 видно,что:

(6)

 


Выразим из формулы (6) расстояние от предмета до линзы d и подставим это соотношение в формулу (5). В результате для нахождения фокусного расстояния собирающей линзы получаем:

(7)

При проведении измерений необходимо поместить собирающую линзу между экраном и осветителем таким образом, чтобы на экране получить четкое увеличенное изображение выреза осветителя. Измеряя расстояние f от экрана до центра линзы, высоту стрелочки осветителя l и ее изображения L, по формуле (7) рассчитывается фокусное расстояние F.

Ill способ (способ Бесселя) - по величине перемещения линзы.

Если расстояние от предмета до изображения - А не изменяется и больше, чем четыре фокусных расстояния линзы - 4F, то всегда найдутся два таких положения линзы, при которых на экране получаются отчетливые изображения предмета: в одном случае увеличенное, в другом - уменьшенное (рис. 5). Здесь x - расстояние от изображения (экрана) до второго положения линзы; l -расстояние между первым и вторым положениями линзы (величина перемещения линзы).

 


Докажем, что оба положения линзы будут симметричны относительно середины расстояния между предметом и изображением.

Согласно формуле (5) и рисунку 5, для первого I и второго II положения линзы, соответственно, справедливы выражения:

(8)

 

 


 


(9)

 


Из выражений (8) и (9) следует:

(10)

следовательно, оба положения линзы симметричны относительно середины расстояния между предметом и изображением, так как:

(11)

Подставляя выражение (10) в формулу (9), можно найти фокусное расстояние собирающей линзы:

(12)

При проведении измерений необходимо поместить собирающую линзу между экраном и осветителем таким образом, чтобы свет от источника излучения всегда проходил через центр линзы при ее перемещении вдоль оптической скамьи. Передвигая линзу, добиваются получения сначала четкого увеличенного изображения выреза осветителя и измеряют расстояние от черты на оправе линзы до экрана. Затем добиваются получения четкого уменьшенного изображения и


также измеряют расстояние от черты на оправе линзы до экрана. Вычитая полученные значения, можно найти относительное перемещение линзы l. Измеряя расстояние А между вырезом осветителя и экраном по формуле (12) рассчитывают фокусное расстояние собирающей линзы.

Метод Бесселя дает наиболее точное значение фокусного расстояния линзы, поскольку в этом случае измеряется только относительное перемещение линзы и расстояние от предмета до экрана, в то время как в остальных способах необходимо измерять расстояния от центра кривизны линзы, что само по себе затруднительно.







Date: 2015-06-11; view: 1180; Нарушение авторских прав



mydocx.ru - 2015-2026 year. (0.874 sec.) Все материалы представленные на сайте исключительно с целью ознакомления читателями и не преследуют коммерческих целей или нарушение авторских прав - Пожаловаться на публикацию