Главная Случайная страница


Полезное:

Как сделать разговор полезным и приятным Как сделать объемную звезду своими руками Как сделать то, что делать не хочется? Как сделать погремушку Как сделать так чтобы женщины сами знакомились с вами Как сделать идею коммерческой Как сделать хорошую растяжку ног? Как сделать наш разум здоровым? Как сделать, чтобы люди обманывали меньше Вопрос 4. Как сделать так, чтобы вас уважали и ценили? Как сделать лучше себе и другим людям Как сделать свидание интересным?


Категории:

АрхитектураАстрономияБиологияГеографияГеологияИнформатикаИскусствоИсторияКулинарияКультураМаркетингМатематикаМедицинаМенеджментОхрана трудаПравоПроизводствоПсихологияРелигияСоциологияСпортТехникаФизикаФилософияХимияЭкологияЭкономикаЭлектроника






Ветровые волны на огражденных акваториях





 

3.1 Общие положения

 

Необходимый волновой режим на незащищенной или частично защищенной акватории обеспечивается возведением отдельных оградительных сооружений или их комплексом (например, рис.3,1; рис.3.2; рис.3.3, рис.3.4).

Исходными для расчёта волнового режима на ограждённой акватории принимаются волны, подходящие ко входу в порт с моря, в зоне, где на характер волнения оградительные сооружения еще не оказывают влияния. Параметры исходных волн у входа в порт определяются в соответствии с разделом 2 с учётом того, в какой зоне расположены головы оградительных сооружений (вход в порт).

Распространяясь на ограждённую акваторию, волна дифрагирует. Дифракцией называется явление огибания волнами препятствий. Проходя через щель (вход в порт), волны рассеивают часть энергии по всему пространству за линией входа. Здесь используются понятия волновой тени и её границы. Под волновой тенью понимается часть акватории, защищенная от непосредственного воздействия волн в направлении луча исходн6ой волны. Граница волновой тени - прямая, проведенная на плане акватории через крайнюю точку головы оградительного сооружения в направлении луча исходной волны.

В расчётном отношении всё варианты ограждения портовых акваторий от ветровых волн могут быть сведены к трём:

ü Одиночным молом;

ü Сходящимся молам;

ü Волноломом.

На огражденной акватории возможн6о образование нескольких систем волн. К ним можно отнести дифрагированные и отраженные, от гидротехнических сооружений и крутых берегов, а также волны от внутреннего разгона и соответствующие им отражения волн. Все они могут изменить свои параметры из-за влияния дна. Поэтому высота волны i %-ной обеспеченности в любой точке акватории с учётом трансформации и рефракции определяется по формуле:

, (3.1)

где hdi - высота волны i% -ной обеспеченности в i -ой точке акватории, м; kТ - коэффициент трансформации в i -ой точке kр - коэффициент рефракции в i -той точке; kdi - коэффициент дифракции в i -ой точке; hi0 - высота волны i -ой обеспеченности на входе в акваторию, м.

Волна, распространяясь от входа в акваторию, доходит до преград и отражается от них. В связи с этим высоту дифрагированой волны в i -ой точке с учётом её отражения от преград необходимо определять по формуле [1]:

, (3.2)

где hdi,r - высота волны в i -ой точке акватории с учётом отражения от преград, м; kr - коэффициент, учитывающий отражение от преград.

Коэффициент, учитывающий отражение от преград, определяется по формуле:

, (3.3)

где kd0 - коэффициент в створе отражающей поверхности; kr0 и kp0 -коэффициенты, определяемые по табл.3.1 [1]; Θr - угол между фронтом волн и отражающей поверхностью, град.; - относительное расстояние от ограждающей поверхности до расчётной точки по лучу отраженной волны; при этом направление луча отраженной волны должно приниматься из условия равенства углов подхода и отражения волн; kr,i - коэффициент отражения, принимаемый по табл.3.2.

 

Таблица 3.1

Коэффициенты kr0 и kp0

Конструкция крепления откоса относительная шероховатость r/h1% kr0 kp0
Бетонные (железобетонные) плиты -   0,9
Гравийно-галечниковое, каменистое или крепление бетонными (железобетонными) блоками     Менее 0,002   0,9
0,005+0,01 0,95 0,85
0,02 0,9 0,8
0,05 0,8 0,7
0,1 0,75 0,6
Более 0,2 0,7 0,5

Примечание. Характерный размер шероховатости r, м, принимается равным среднему диаметру зерен материала или среднему размеру бетонных (железобетонных) блоков.

 

 

Таблица 3.2

Коэффициент в зависимости от пологости волны и уклонов отражающей поверхности

Пологость волны Значения при уклонах отражающей поверхности
  0,5 0,25
  0,5 0,02 0,0
  0,8 0,15 0,0
  1,0 0,5 0,0
  1,0 0,7 0,05
  1,0 0,9  

На акваториях с постоянной или большой глубиной () можно считать, что длина волны равна длине на входе в акваторию, а трансформации и рефракции нет, следовательно

(3.4)

На угле наклона отражающей поверхности к горизонту более 450 следует принимать коэффициент отражения kr,i = 1.

Результаты расчёта высот на огражденной акватории представляется в виде планшетов с нанесенными на план акватории линиями равных высот волн.

 

3.2 Волновой режим на акватории, огражденной одиночным молом


 

Определение волнового режима для какого-то волноопасного направления производится в следующей последовательности:

- на плане акватории наносятся направления лучей дефрагированых волн без учёта рефракции и трансформации и определяются коэффициенты kg в расчётных точках акватории;

- показываются положения лучей дифрагированных волн с учётом рефракции и находятся коэффициенты рефракции kp, коэффициенты трансформации волн kr, обобщенные коэффициенты потерь определяются только при специальном обосновании, обычно принимается kp = kr = =1,0;

- по формуле (3.1) рассчитываются высоты hd,i дифрагированных волн и строятся линии равных высот волн;

- по формуле (3.2) рассчитывается высота hdi,r отраженных волн;

- определяются высоты волн от внутреннего разгона и соответствующих отраженных волн;

- находятся расчётные высоты hр волн как суммы высот прямых и отраженных волн.

Некоторые причалы порта могут не находиться под защитой оградительного сооружения и для них необходимо определять высоту волны без учёта дифракции. Считается, что причалы находятся под защитой оградительного сооружения, если они находятся в зоне защиты. Зона защиты оградительного сооружения ограничена самим оградительным сооружением, границей дифракции волн (ГДВ) и той частью причального фронта, которая н6аходится между оградительным сооружением и границей дифракции (рис.3.1). Положение каждой точки границы дифракции определяется 2-мя координатами l и r (рис.3.1). Построение границы дифракции производится следующим образом. Для расчётного фронта волны, характеризующегося величиной r, определяется , по которой определяется величина l.

Высота волны акватории, огражденной одиночным молом, определяется либо по формуле (3.1), либо по формуле (3.2). Коэффициент дифракции в зоне защиты акватории молом определяется в следующем порядке (рис. 3.2).

Рис. 3.1 Акватория, огражденная одиночным молом

 

 

Рис. 3.2 Схема и график для определения коэффициента дифракции на акватории, огражденной одиночным молом.

 

1. Для намеченной точки, в которой определяется коэффициент дифракции, определяются координаты и r.

2. При полученном угле , град, и относительном расстоянии от головы мола до точки r/ и значении угла , град, определяют коэффициент дифракции в соответствии со схемой и графиком рис.3.3 согласно штриховой линии со стрелкой.

 

3.3 Волновой режим на акватории, огражденной двумя сходящимися молами

 

В этом случае также необходимо определить зоны защиты каждого их сходящихся молов (рис.3.3). Зона защиты первого мола ограничена самим молом, причальным фронтом от точки В1 до точки Вгл, главным лучом от точки Вгл до точки В и границей дифракции волн (ГДВ) от точки В до головы первого мола. Зона защиты второго мола ограничена самим молом, причальным фронтом от точки В2 до точки Вгл, главным лучом от точки Вгл до точки В и границей дифракции волн (ГДВ2) от точки В до головы второго мола. Точка В находится на пересечении границ дифракции. Границы дифракции строятся как для одиночных молов. Главный луч строится по точкам с использованием координат х, которые откладываются от границы волновой тени (ГВТ) мола с меньшим углом , град, координаты х определяются по формуле [1]:


, (3.5)

где х - расстояние от главного луча до границы волновой тени, принадлежащей молу с меньшим углом , м; l 1 - расстояние, измеряемое по перпендикуляру к ГТВ от ГВТ первого мола до точки пересечения фронта волны, проходящего через точку х, с границей дифракции первого мола, м; l a1 и l a2 - коэффициенты, принимаемые в соответствии со схемой и графиком рис.3.4; в - ширина входа в порт, принимаемая равной проекции расстояния между головами молов на фронт исходной волны, м; l 2 - расстояние, измеряемое по перпендикуляру к ГВТ, от ГВТ второго мола до точки пересечения фронта волны, проходящего через точку х, с границей дифракции второго мола, м.

 

 

 

Рис.3.3 Схема для построения главного луча.

Рис.3.4 Схема и график для определения величин l и l0.

Рис.3.5 График для определения коэффициента сходимости

Высота волны на акватории, огражденной сходящимися молами, определяется по формуле (3.1) или (3.2). Коэффициент дифракции для i -той точки определяется в следующем порядке.

1. Через точку i (рис.3.2) циркулем из головы мола (в данном случае из головы первого мола, так как точка i находится в зоне защиты первого мола) проводится линия, которая является фронтом волны. Фронт волны проводится до пересечения с гвт принадлежащей тому молу, из головы которого проводится фронт волны. Из точки пересечения гвт и фронта волны опускается перпендикуляр до пересечения с главным лучом. На пересечении главного луча и перпендикуляра находится точка xi.

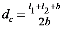
2. Для точки xi определяется величина dc по формуле [1]:

, (3.6)

где l1 - расстояние, измеряемое по перпендикуляру и ГВТ, и опущенному из точки пересечения ГДВ, с фронтом волны, проходящим через точку i,м; l2 - расстояние, измеренное по перпендикуляру к ГДВ2 с фронтом волны, проходящим через точку i,м; b - ширина входа в порт, м.

3. Для точки xi определяется коэффициент дифракции kd,.ср как для одиночного мола согласно схеме и графикам, приведённым на рис.3.2.

4. По величинам di и kd,ср , определённым для точки xi в соответствии с графиком на рис.3.5, определяется коэффициент .

5. Коэффициент дифракции для i -той точки определяется по формуле:

, (3.7)

где коэффициент дифракции в i -той точке акватории, огражденной сходящимися молами; - коэффициент дифракции в i -той точке акватории, определённый как для одиночного мола, в зоне защиты которого находится i -тая точка; - коэффициент сходимости.

Возможно ситуация, когда голова одного из молов размещена в зоне защиты другого мола (рис.3.6). В этом случае часть акватории защищена первым молом, а другая часть - вторым. Задача заключается в том, что необходимо очертить зоны защиты и определить, от какой волны будет защищать второй мол свою часть акватории. Высоту волны, подходящей к голове второго мола. Следует определять как на акватории, защищенной первым молом, считая его одиночным, в точке с координатами головы второго мола. Направление фронта волны, подходящей к голове второго мола, определяется линией соединяющей головы молов. После построения границ дифракции для обоих молов определяется зона защиты. Зона защиты второго мола ограничена линиями ВЕ, ED, DB (рис. 3.6). Зона защиты первого мола ограничена линиями AC, CB, DB, DF, FA (рис. 3.6).


 

 

 

Рис.3.6 Схема для определения коэффициента дифракции при размещении головы одного из молов в зоне защиты другого мола.

 

Коэффициент дифракции для i -той точки определяется как для одиночного мола, в зоне защиты которого они находятся.

 

3.4 Волновой режим на акватории, огражденной волноломом

 

Схема акватории, огражденной волноломом, приведена на рис.3.7. Высота волны на акватории, огражденной волноломом, определяется либо по формуле(3.1), либо по формуле (3.2).

Если длина волнолома более , то расчёт коэффициентов дифракции для половины мола ведётся независимо от другой половины как для одиночного мола. При длине волнолома менее происходит наложение полей дифракции. В этом случае коэффициенты дифракции определяются по формуле [2]:

, (3.8)

где kdi,1 - коэффициент дифракции, определяемый для первой головы как для одиночного мола; kdi,2 - коэффициент дифракции, определяемый для второй головы как для одиночного мола.

Рис.3.7 Схема к определению коэффициента дифракции для акватории, ограждённой волноломом.


ЛИТЕратура

 

  1. СНиП 2.06,04-82*. Нагрузки и воздействия на гидротехнические сооружения (волновые, ледовые и от судов). - М.: Стройиздат, 1989. - 40 с.
  2. Руководство по определению нагрузок и воздействий на гидротехнические сооружения (волновых, ледовых и от судов). П58-76/ВНИИГ. - Л.: изд-во ВНИИГ им. Б. Е. Веденеева, 1977.- с.
  3. Справочник по климату СССР. Ч.3. Ветер. - Л.: Гидрометеоиздат, 1966-1968. - с.
  4. Смирнов Г.Н, Океанология. - М.: Высшая школа, 1974. - с.
  5. СНиП 2.01.07-85. Нагрузки и воздействия. - М.: Стройиздат,1986. - с.

 

 








Date: 2015-06-11; view: 1870; Нарушение авторских прав



mydocx.ru - 2015-2026 year. (0.944 sec.) Все материалы представленные на сайте исключительно с целью ознакомления читателями и не преследуют коммерческих целей или нарушение авторских прав - Пожаловаться на публикацию