Главная Случайная страница


Полезное:

Как сделать разговор полезным и приятным Как сделать объемную звезду своими руками Как сделать то, что делать не хочется? Как сделать погремушку Как сделать так чтобы женщины сами знакомились с вами Как сделать идею коммерческой Как сделать хорошую растяжку ног? Как сделать наш разум здоровым? Как сделать, чтобы люди обманывали меньше Вопрос 4. Как сделать так, чтобы вас уважали и ценили? Как сделать лучше себе и другим людям Как сделать свидание интересным?


Категории:

АрхитектураАстрономияБиологияГеографияГеологияИнформатикаИскусствоИсторияКулинарияКультураМаркетингМатематикаМедицинаМенеджментОхрана трудаПравоПроизводствоПсихологияРелигияСоциологияСпортТехникаФизикаФилософияХимияЭкологияЭкономикаЭлектроника






Заменяя приращение функции дифференциалом, вычислить приближенно, вычислить приближенно





 

3. Найти градиент и производную функции в точке (0,0) по направлению .

 

4. Найти частные производные и дифференциалы 1 и 2 порядков для функции .

 

5. Найти частные производные первого и второго порядков для функции , заданной неявно: .

 

6. Функцию разложить по формуле Тейлора с нулевым остаточным членом в окрестности точки (1,1).

 

7. Найти три первых члена разложения функции в ряд Тейлора в окрестности точки (0,0).

 

8. Найти дифференциал функции, заданной неявно: .

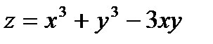
9. Исследовать на экстремум функцию .

10. Исследовать на экстремум функцию

11. Найти экстремум функции при условии

12. Исследовать функцию на экстремум при условии .

Ряды (числовые ряды, степенные ряды и ряды Фурье)

Большинство предлагаемых задач (за исключением задач на ряды Фурье) взято из ИДЗ по Кузнецову по теме «Ряды».

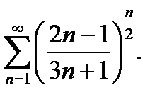
1. Исследовать на сходимость ряды

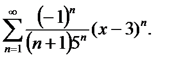
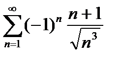
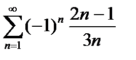
2. Исследовать на абсолютную и условную сходимость ряды ; ;

 

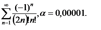
3. Вычислить сумму ряда с точностью

 

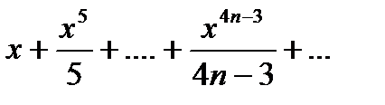
4. Найти область сходимости ряда

5. Разложить в ряд по степеням : ;

6. Найти сумму ряда

7. Найти сумму ряда

8. Разложить в ряд Фурье функцию, равную –1 в интервале и 1 в интервале (0,p).

9. Разложить в ряд Фурье по синусам функцию в интервале (0,p).

10. Разложить в ряд Фурье по косинусам функцию в интервале (0,p).

11. Разложить в ряд Фурье функцию в интервале (-p,p).

 







Date: 2015-07-01; view: 559; Нарушение авторских прав



mydocx.ru - 2015-2026 year. (0.622 sec.) Все материалы представленные на сайте исключительно с целью ознакомления читателями и не преследуют коммерческих целей или нарушение авторских прав - Пожаловаться на публикацию