Главная Случайная страница


Полезное:

Как сделать разговор полезным и приятным Как сделать объемную звезду своими руками Как сделать то, что делать не хочется? Как сделать погремушку Как сделать так чтобы женщины сами знакомились с вами Как сделать идею коммерческой Как сделать хорошую растяжку ног? Как сделать наш разум здоровым? Как сделать, чтобы люди обманывали меньше Вопрос 4. Как сделать так, чтобы вас уважали и ценили? Как сделать лучше себе и другим людям Как сделать свидание интересным?


Категории:

АрхитектураАстрономияБиологияГеографияГеологияИнформатикаИскусствоИсторияКулинарияКультураМаркетингМатематикаМедицинаМенеджментОхрана трудаПравоПроизводствоПсихологияРелигияСоциологияСпортТехникаФизикаФилософияХимияЭкологияЭкономикаЭлектроника






Расчёт электрической цепи однофазного синусоидального тока со смешанным соединением сопротивлений

Студент: Группа: Вариант:

Схема электрической цепи:

Дано (исходные данные):

Определить мгновенные значения токов в ветвях и напряжений на сопротивлениях цепи методом векторных диаграмм, построить векторную диаграмму электрической цепи, проверить баланс мощностей в цепи и выполнение 1-го и 2-го законов Кирхгофа аналитически и по векторной диаграмме, определить мгновенное значение тока в первой ветви комплексным способом.

Примечание: вычисления, по возможности, выполнять, используя правильные дроби для упрощения вычислений.

РЕШЕНИЕ:

1. Определение общего сопротивления 1-й ветви:

2. Определение общего сопротивления между узлами a,b:

а) определение проводимостей элементов параллельных ветвей:

б) определение активной gab и реактивной bab проводимостей участка цепи ab:

в) определение общей проводимости участка цепи ab:

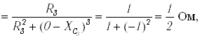
г) определение активного Rab и реактивного Xab сопротивлений участка ab:

3. Определение полных активного R и реактивного X сопротивлений и полного сопротивления Z всей цепи:

4. Определение мгновенного значения тока i1 в первой ветви:

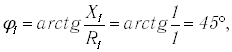
а) действующее значение тока i1:

б) амплитудное значение тока i1:

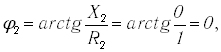
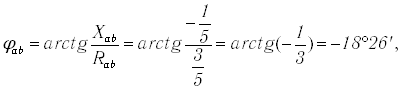
в) разность фаз j между напряжением и током на входе цепи:

д) мгновенное значение тока i1:

е) комплекс тока i1:

5. Определение мгновенного значения напряжения uab между узлами a,b:

6. Определение токов i2, i3:

7. Определение напряжения u1:

8. Построение векторной диаграммы электрической цепи в масштабе:

На векторной диаграмме выполняются 1-й I 1 = I 2 + I 3 и 2-й U = U 1 + U ab законы Кирхгофа.

9. Аналитическая проверка законов Кирхгофа:

1) I 1 = I 2 + I 3;

2) U = U 1 + U ab;

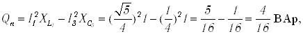
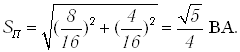
10. Расчёт баланса мощностей:

11. Определение I 1 комплексным способом:

А) определение комплексов полных сопротивлений ветвей:

Б) определение комплекса полного сопротивления электрической цепи:

В) определение комплекса тока i1:

 



<== предыдущая | следующая ==>
Роль налогов в развитой рыночной экономике | Лечение. При перкуссии над легкими ясный легочный звук





Date: 2015-07-01; view: 1219; Нарушение авторских прав



mydocx.ru - 2015-2026 year. (2.148 sec.) Все материалы представленные на сайте исключительно с целью ознакомления читателями и не преследуют коммерческих целей или нарушение авторских прав - Пожаловаться на публикацию