Главная Случайная страница


Полезное:

Как сделать разговор полезным и приятным Как сделать объемную звезду своими руками Как сделать то, что делать не хочется? Как сделать погремушку Как сделать так чтобы женщины сами знакомились с вами Как сделать идею коммерческой Как сделать хорошую растяжку ног? Как сделать наш разум здоровым? Как сделать, чтобы люди обманывали меньше Вопрос 4. Как сделать так, чтобы вас уважали и ценили? Как сделать лучше себе и другим людям Как сделать свидание интересным?


Категории:

АрхитектураАстрономияБиологияГеографияГеологияИнформатикаИскусствоИсторияКулинарияКультураМаркетингМатематикаМедицинаМенеджментОхрана трудаПравоПроизводствоПсихологияРелигияСоциологияСпортТехникаФизикаФилософияХимияЭкологияЭкономикаЭлектроника






Суретте Күміс арқылы алынған электрофорезден кейінгі ақуыздың боялуы келтірілген





Ажыратылған ақуыз салыстырмалы карта арқылы молекулалық массасы бойынша нуклеин қышқылдарының 1 мл көлемдегі нг концентрациясы анықталды.

 

Ақуыздарды ажырату тәсілдің екінші түрі тұндыру.Вискозиметрия тәсілі арқылы коммерциялы ақуыздардың судағы ерітіндісінің тұтқырлығыны әр түрлі рН ортасында анықталды. Ерітіндінің рН қышқыл немесе сілті ерітіндісімен титрлеу арқылы өзгертілді.

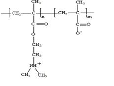
Диметиламиноэтилметакрилат және метилметакрилат қышқылы негізіндегі сызықтық полиамфолит. "Поли мерлі материалдар және технологиялар ғылыми нтститунынан" алынған Суреттен байқап отырғандарыңыздай онда теріс зарядталған СОО және оң зарядталған NH бөлшектер бар

 

 

 
 

Ақуыздар полиамфолттік қасиет білдіретіндіктен олардың изоэлектрлік нүктесін анықтадық.

Ақуыздың келтірілген тұтқырлығының рН тан тәуелділік графигі суретте келтірілген.

Суреттен байқап отырғанымыздай, бұқаның сарысу альбумині үшін рН 4,7 мәнінде тұтқырлықтың ең томенгі шамасы анықталды. Яғни бұл ақуыз үшін изоэлектрлік нүктенің рН (рНИЭН) = 4,7 ге тең екендігін көрсетті.

Осы тәсіл арқылы лизоцим ақуызы үшін изоэлектрлік нүктені анықтадық Лизоцимнің келтірілген тұтқырлығының рН тан тәуелділігі келесі суретте келтірілген.

 
 

 


Суреттен көріп отырғанымыздай, келтірілген лизоцим үшін изоэлектрлік нүкте рН (рНИЭН) = 11,0 ге тең болды.

Ақуызды тұнбаға түсу арқылы ажырату үшін синтетикалық полиамфолиттің мономерлерінің құрылымына байланысты үш түрлі полимерлер алынды. Полимерлердің изоэлектрлік нүктесін анықтау үшін олардың судағы ерітінділерінің рН тан тәуелді графигі алынды. ҚҰрылымдары әр түрлі полиамфолитттердің келтірілген тұтқырлығының рН тан тәуелділігі келесі суретте келтірілген.

 
 

 


 

[ДMAЭM]:[MAК] = 38:62 мол %, рНИЭН=5.0;

[ДMAЭM]:[MAК] = 57:43 мол %, рНИЭН=7.8;

[ДMAЭM]:[MAК] = 62:38 мол %, рНИЭН=8.6.

Осы ақуыздардың механикалық қоспасынан синтетикалық полимермен электростатикалық байланысу арқылы ақуыздың біреуі полимермен бірге тұнбаға түсіп екіншісі супернатантта қалады. Полимер мен ақуыздың тұнбаға түсу рН ын анықтау үшін жеке полимер және оның әр ақуызбен қоспасының келтірілген тұтқырлығының рН тан тәуелділігі алынды. Ол үшін полиамфолиттердің биологиялық макромолекулармен байланысуының рНИЭТ нің орналасуына әсерін қарастырдық. Изоэлетрлік нүктесі екі ақуыздың ортасында орналасқан [ДMAЭM]:[MAК] = 62:38 мол% қатынастағы полиамфолит және тұнбаға түсетін [ДMAЭM]:[MAК] = 38:62 мол % қатынастағы полиамфолиттер алынды.

 
 

Келесі суреттерде осы полиамфолиттердің және оның ақуыздармен кешендерінің рН тан тәуелділік графиктері келтірілген.

Еркін полиамфолит [ДMAЭM]:[MAК] = 62:38 мол% (1)

 
 

және оның лизоцим (2) мен БҰА (3) кешендерінің келтірілген тұтқырлығының рН тан тәуелділігі келтірілген.

 

[ДMAЭM]:[MAК]= 57:43 мол %,қатынастағыи полиамфолит ИЭН де тұнбаға түседі.Осы қасиетті біз ақуыздарды ажырату үшін колдана аламыз.

Жалпы полиамфолиттердің және олардың ақуыздармен түзген кешендерінің зерттеу нәтижесінде алынған сипаттамалары кестеде келтірілген.кестеде салыстырып отырған полиамфолттердің кейбір шамаларын келтірдік.


Полиамфолит [h], дл/г рНИЭТ Ақуыз [h] дл/г рНИЭТ
[ДMAЭM]:[MAК] = 38:62 мол %, - 5,0 (тұнба) БСА Лизоцим - - 5,0 (тұнба) 5,0 (тұнба)
[ДMAЭM]:[MAК] = 57:43 мол %,   1,12 7,8 БСА Лизоцим 0,40 0,46 7,8 7,8
ДMAЭM]:[MAК] = 62:38 мол %, 0,68 8,6 БСА Лизоцим 0,22 0,46 8,6 8,9

Суреттерден және кестеден байқағанымыздай, байқап отырғанымыздай, сополимерлердің [ДMAЭM]:[MAК] = 38:62 мол % лизоциммен байланысқан кезде полиамфолиттің изоэлектрлік нүктесі 0,3 шамаға ығысады.

Екінші айта кететін жағдай [ДMAЭM]:[MAК] = 38:62 мол % қатынастағы полиамфолит екі ақуызбенде тұнбаға түседі.







Date: 2015-07-17; view: 867; Нарушение авторских прав



mydocx.ru - 2015-2026 year. (0.529 sec.) Все материалы представленные на сайте исключительно с целью ознакомления читателями и не преследуют коммерческих целей или нарушение авторских прав - Пожаловаться на публикацию