Главная Случайная страница


Полезное:

Как сделать разговор полезным и приятным Как сделать объемную звезду своими руками Как сделать то, что делать не хочется? Как сделать погремушку Как сделать так чтобы женщины сами знакомились с вами Как сделать идею коммерческой Как сделать хорошую растяжку ног? Как сделать наш разум здоровым? Как сделать, чтобы люди обманывали меньше Вопрос 4. Как сделать так, чтобы вас уважали и ценили? Как сделать лучше себе и другим людям Как сделать свидание интересным?


Категории:

АрхитектураАстрономияБиологияГеографияГеологияИнформатикаИскусствоИсторияКулинарияКультураМаркетингМатематикаМедицинаМенеджментОхрана трудаПравоПроизводствоПсихологияРелигияСоциологияСпортТехникаФизикаФилософияХимияЭкологияЭкономикаЭлектроника






Задание 9.3. Неупругое столкновение частиц





Частица 1 неупруго сталкивается с частицей 2.

2.1. Частица 1, движущаяся до столкновения движется со скоростью v 1 (v 1, a1 или v 1 x, v 1 y), налетает на частицу 2, движущуюся до столкновения движется со скоростью v 2 (v 2, a2 или v 2 x, v 2 y). В результате столкновения получается составная частица, а часть энергии системы выделяется в виде тепла.

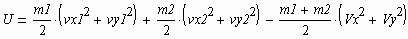
Найти: а) скорость составной частицы V после столкновения, б) энергию U, которая выделилась при столкновении в виде тепла.

Выполнение задания

1. Вычислить аналитически скорость составной частицы V, определив

а) проекции скорости Vx, Vy и выделившуюся энергию U через величины (v 1 x, v 1 y, v 2 x, v 2 y),

Пример_093-01

Аналитические зависимости

Законы сохранения импульса и энергии

 

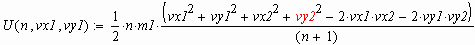
б) проекции скорости Vx, Vy и выделившуюся энергию U через величины (v 1, a1, v 2, a2),







Date: 2015-07-17; view: 554; Нарушение авторских прав



mydocx.ru - 2015-2026 year. (0.833 sec.) Все материалы представленные на сайте исключительно с целью ознакомления читателями и не преследуют коммерческих целей или нарушение авторских прав - Пожаловаться на публикацию