Главная Случайная страница


Полезное:

Как сделать разговор полезным и приятным Как сделать объемную звезду своими руками Как сделать то, что делать не хочется? Как сделать погремушку Как сделать так чтобы женщины сами знакомились с вами Как сделать идею коммерческой Как сделать хорошую растяжку ног? Как сделать наш разум здоровым? Как сделать, чтобы люди обманывали меньше Вопрос 4. Как сделать так, чтобы вас уважали и ценили? Как сделать лучше себе и другим людям Как сделать свидание интересным?


Категории:

АрхитектураАстрономияБиологияГеографияГеологияИнформатикаИскусствоИсторияКулинарияКультураМаркетингМатематикаМедицинаМенеджментОхрана трудаПравоПроизводствоПсихологияРелигияСоциологияСпортТехникаФизикаФилософияХимияЭкологияЭкономикаЭлектроника






Особые точки 1





Тема 9. Столкновения частиц

Задание 9.1. Упругое столкновение частиц 1

Частица 1 упруго сталкивается с частицей 2.

Частица 1 до столкновения движется со скоростью v 0 вдоль оси x (v 0 x = v 0, v 0 y = 0), частица 2 до столкновения покоится. В результате столкновения частица 1 отклоняется на угол .

Найти: а) скорости частиц v 1 и V 2 после столкновения, б) угол вылета частицы 2 (угол отклонения частицы по сравнению с начальным направлением движения частицы 1).

Выполнение задания

1. Вычислить аналитически скорости частиц v 1 и V 2, определив v 1, V 2 x, V 2 xy. В качестве параметра использовать - отношение масс частиц.

Пример_091-01

Аналитические зависимости

Законы сохранения импульса и энергии

 

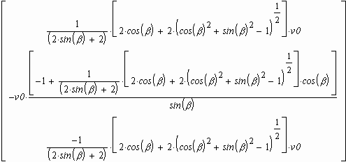
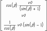
2. Проанализировать наличие особых точек решений.

Пример_091-02

Особые точки

===>

Особые точки 1

msgMapleSolve

msgMapleSubstitution

msgMapleSimple

msgMapleSubstitution

msgMapleSimple







Date: 2015-07-17; view: 369; Нарушение авторских прав



mydocx.ru - 2015-2026 year. (0.915 sec.) Все материалы представленные на сайте исключительно с целью ознакомления читателями и не преследуют коммерческих целей или нарушение авторских прав - Пожаловаться на публикацию