Главная Случайная страница


Полезное:

Как сделать разговор полезным и приятным Как сделать объемную звезду своими руками Как сделать то, что делать не хочется? Как сделать погремушку Как сделать так чтобы женщины сами знакомились с вами Как сделать идею коммерческой Как сделать хорошую растяжку ног? Как сделать наш разум здоровым? Как сделать, чтобы люди обманывали меньше Вопрос 4. Как сделать так, чтобы вас уважали и ценили? Как сделать лучше себе и другим людям Как сделать свидание интересным?


Категории:

АрхитектураАстрономияБиологияГеографияГеологияИнформатикаИскусствоИсторияКулинарияКультураМаркетингМатематикаМедицинаМенеджментОхрана трудаПравоПроизводствоПсихологияРелигияСоциологияСпортТехникаФизикаФилософияХимияЭкологияЭкономикаЭлектроника






Измерение и расчет параметров качества электроэнергии





 

Функция ущерба в диапазоне значений, допускаемых ГОСТ 13109-87, изменяется в небольших пределах, но чувствительна в области значений больше допустимых. Оценку соответствия ПКЭ допустимым значениям проводят по результатам измерений за каждые сутки отдельно.

Абсолютные погрешности измерений ПКЭ не должны превышать: отклонений напряжения и коэффициента несинусоидальности — 0,5%; размаха изменения напряжения - 0,l%; дозы колебаний напряжения -0,005%2; коэффициентов гармонической составляющей, обратной и нулевой последовательностей напряжения — 0,2%; отклонений часто­ты - 0,02 Гц. Приборы для исследования показателей качества электро­энергии должны быть помехоустойчивыми в условиях отклонений от требований стандарта питающего их напряжения и обеспечивать возмож­ность статистической обработки результатов измерений.

Отклонения и колебания напряжения должны определяться в ха­рактерных точках систем электроснабжения предприятий. В электриче­ских сетях однофазного тока действительное значение напряжения U по (10.2) определяют как действующее значение напряжения основной частоты U(1) без учета гармонических составляющих напряжения, в трехфазных сетях — как действующее значение напряжения прямой последовательности основной частоты

где UВА(1), UСВ(1), UАС(1), - междуфазные напряжения прямой последовательности основной частоты.

Принципиальная схема питания нагрузки и схема замещения питаю­щей сети приведены на рис. 10.5. Суммарное сопротивление питающей сети 5УР (4УР) представлено приведенными к одной ступени напряже­ния индуктивным Xå и активным rå сопротивлениями.

При известных напряжении и питающей системе Uc, нагрузках потребителей S1, S2 (I1, I2) можно определить напряжения U1 и аналогич­но U2:

 

Из (10.15) получаем выражение для определения падения напряже­ния через его продольную d U и поперечную jDU составляющие:

где P, Q — активная и реактивная нагрузки, протекающие через эле­мент системы электроснабжения, на котором определяется падение напряжения.

Векторная диаграмма напряжений для схемы на рис. 10.5 приведена на рис. 10.6. Принято называть геометрическую разность напряжений (отрезок аб) падением напряжения, отрезок ав — продольной, бв — по­перечной составляющей падения напряжения; арифметическая разность напряжений (отрезок аг) называется потерей напряжения. Поперечная составляющая падения напряжения при активно-индуктивной нагрузке мала, незначительны углы d между напряжениями в узлах системы электроснабжения (на практике для промышленных сетей суммарный угол между напряжениями различных ступеней трансформации не пре-

 


вышает 10°). Поэтому для практических расчетов отклонений и коле­баний напряжений промышленных сетей можно считать разницу между падением и потерей напряжения несущественной и потерю напряжения определять по формуле

Верхний (нижний) предел отклонения напряжения в характерных точках системы электроснабжения

где d U +(-) — верхний (нижний) предел отклонений напряжения на зажимах приемника электроэнергии, допускаемый ГОСТ 13109-87, %; d U — потери напряжения на участке от рассматриваемого узла сети до зажимов приемников электроэнергии, %; UД добавка напряжения средствами регулирования напряжения, %.

Отклонения напряжения необходимо проверять на совместимость в различных режимах нагрузки с учетом того условия, чтобы при ми­нимальных нагрузках отклонения напряжения не превышали отклоне­ния напряжения при максимальных; если это условие не соблюдается, необходимо изменять добавку напряжения UД.

Расчет колебаний напряжения при переменных нагрузках проводит­ся в предположении, что изменение активных и реактивных нагрузок (DР, DQ) происходит линейно, т. е. с постоянной скоростью на участке изменения колебания напряжения d Ut. Если время протекания пере­ходного процесса не превышает 0,02 с (длительности одного периода), то можно не учитывать апериодические составляющие тока и напряже­ния. Приведенные допущения позволяют для расчета размаха колеба­ний напряжения при переменных нагрузках использовать первую часть

формулы (10.16), учитывая изменения активной (DР) и реактивной (DQ) мощностей:

Как видно из (10.17), отклонения и размах изменения напряжения определяются в основном изменением реактивной мощности, поэтому для ориентировочных расчетов можно принять

где Sk — мощность короткого замыкания.

Оценка допустимости колебаний напряжения может выполняться в условиях эксплуатации по осциллограммам или регистограммам пу­тем сопоставления интервала между следующими друг за другом изме­нениями Dti i+1 (рис. 10.2) с минимально допустимым интервалом вре­мени DtД i между размахами амплитудой d Ut, определяемой по нижней шкале на рис. 10.1. Колебания считаются допустимыми, если


где T — общее время наблюдения размахов.

Способы и приборы для измерения несимметрии напряжений можно разделить на четыре группы:

1) способы и приборы, с помощью которых определяется линейное напряжение обратной последовательности

2) модуляционные способы;

3) способы, основанные на преобразовании несимметричной системы
напряжений в электромагнитное поле и измерении его параметров, по
значениям которых судят о несимметрии;

4) способ многофазного выпрямления, заключающийся в том, что
исследуемая трехфазная система преобразуется в многофазную, выпрям­ляется, по выходному напряжению многофазного выпрямителя опреде­ляются симметричные составляющие напряжения исследуемой систе­мы: постоянная составляющая выходного напряжения прямо пропор-

 

 

циональна составляющей прямой последовательности, вторая гармоника — составляющей обратной последовательности.

Для определения значения коэффициента обратной последовательно­сти определяется напряжение обратной последовательности

где I 2å — эквивалентный ток обратной последовательности, обуслов­ленный несимметричными нагрузками; Z2å - сопротивление обрат­ной последовательности сети.

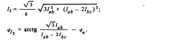
Ток обратной последовательности I 2 и его фазовый угол при под­ключении однофазных нагрузок на линейные напряжения будут

где jн — фазовый угол нагрузки. Если однофазные нагрузки включены на линейные напряжения Ubc и Uca, то к значениям jI2 прибавляются соответственно 2/3p и – 2/3p

Относительное значение (в долях полного сопротивления прямой последовательности) модуля | Z2å |, а также фазы эквивалентного сопротивления обратной последовательности можно определить так:

 

 

где Рпном, Рнлном, Qнлном, Q нлном - номинальная активная и реактивная мощности i -й соответственно линейной и нелинейной нагрузок; SHOMå — суммарная номинальная мощность нагрузок рассматриваемого узла. Выражения для определения сопротивлений обратной последова­тельности элементов систем электроснабжения приведены в табл. 10.2. В приближенных расчетах несимметричных режимов для узлов сетей 110 кВ нагрузку можно рассматривать как обобщенную и учитывать

 

 

значением полного сопротивления обратной последовательности, отн. ед.:

В распределительных сетях предприятий при мощности КЗ на шинах 6-10 кВ более 20 MB • А можно принимать Z2å н, где Хн = U2 ном / S к. При определении сопротивлений элементов системы электроснабжения на различных ступенях трансформации их величины приводятся к базо­вым.

Несинусоидальность напряжения характеризуется коэффициентом несинусоидальности Кнси и коэффициентом n-й гармонической состав­ляющей напряжения Ки(n).

При определении коэффициента несинусоидальности кривой напря­жения допускается не учитывать составляющие порядка п ³ 40 или составляющие, значение которых менее 0,3%, при этом можно поль­зоваться вместо (10.13) формулой


где U(1) действующее значение напряжения основной частоты.

Коэффициент n-й гармонической составляющей напряжения допус­кается вычислять по формуле

где I(n)i ток n-й гармоники на i-м присоединении, обусловленный всеми источниками гармоник; x(n)i —сопротивление i-го присоеди­нения для n-й гармоники.

В случае 6-фазной системы выпрямления в кривой питающего напря­жения имеются гармоники порядка n =5, 7, 11, 13, 17, 19,23,...; 12-фаз-

 

ной схемы — гармоники порядка п = 11, 13, 23, 25, 35, 37,...; 24-фазной - гармоники порядка п = 23, 25, 47, 49, 71, 73..., называемые ка­ноническими. В питающей сети выявлены неканонические (анормаль­ные) четные и нечетные гармоники, порядок не соответствует после­довательности чередования фаз. Появление гармоник неканонического порядка объясняется случайными процессами, их выявление возмож­но только на работающих установках. Токи гармоник I (n) приближен­но (без учета углов коммутации преобразователей) можно определить по табл. 10.3, сопротивления потребителей для отдельных гармоник - по табл. 10.4.

Методы расчета не синусоидальных режимов, основанные на пред­ставлении преобразователей в виде источников тока гармоник, обес­печивают достаточную точность расчетов лишь в отсутствие резонан­сных или близких к ним режимов, а также в случае линейной частот-

 

 

 

 

ной характеристики входного сопротивления энергосистемы. Значи­тельную погрешность (до 30%) в расчеты несинусоидальных режимов вносит допущение отсутствия влияния емкостей на процессы комму­тации.







Date: 2015-06-11; view: 1323; Нарушение авторских прав



mydocx.ru - 2015-2026 year. (1.348 sec.) Все материалы представленные на сайте исключительно с целью ознакомления читателями и не преследуют коммерческих целей или нарушение авторских прав - Пожаловаться на публикацию