Главная Случайная страница


Полезное:

Как сделать разговор полезным и приятным Как сделать объемную звезду своими руками Как сделать то, что делать не хочется? Как сделать погремушку Как сделать так чтобы женщины сами знакомились с вами Как сделать идею коммерческой Как сделать хорошую растяжку ног? Как сделать наш разум здоровым? Как сделать, чтобы люди обманывали меньше Вопрос 4. Как сделать так, чтобы вас уважали и ценили? Как сделать лучше себе и другим людям Как сделать свидание интересным?


Категории:

АрхитектураАстрономияБиологияГеографияГеологияИнформатикаИскусствоИсторияКулинарияКультураМаркетингМатематикаМедицинаМенеджментОхрана трудаПравоПроизводствоПсихологияРелигияСоциологияСпортТехникаФизикаФилософияХимияЭкологияЭкономикаЭлектроника






Выбор трансформаторов для цеховых подстанций





 

Целью выбора трансформаторов ЗУР является определение типа, количества, единичной мощности каждого, места размещения, способа присоединения со стороны высокого напряжения и выхода на щит (шкаф, магистраль) низкого напряжения. К моменту выбора и раз­мещения полного списка электроприемников 1УР не требуется и он обычно еще отсутствует, как и количество шкафов 2УР.

Выбор типа трансформаторов осуществляется в зависимости от требований окружающей среды. Для наружной установки применяют масляные трансформаторы. Для внутренней установки также преимущественно рекомендуется применение масляных трансформаторов, но с ограничениями по количеству и мощности. Для внутрицеховых под­станций с трансформаторами сухими или с негорючим жидким (твер­дым) диэлектриком мощность трансформаторов, их количество, рас­стояние между ними, этаж, на котором они могут быть установлены, не ограничиваются.

Трансформаторы с охлаждением негорючей жидкостью целесообраз­но применять в тех производственных помещениях, где по условиям среды, по количеству, значению, мощности и этажности нельзя приме­нять масляные трансформаторы. Сухие трансформаторы мощностью не более 630-100 кВ • А применяют главным образом в административ­ных и общественных зданиях, где возможны большие скопления лю­дей, а также на испытательных станциях, в лабораториях и других установках с ограничениями по условиям пожарной безопасности.

Главное преимущество этих трансформаторов заключается в отсутствии горючего масла. Поэтому их можно устанавливать непосредственно в производственных и других помещениях без ограничения сум­марной мощности, а также в необычных местах, например в подвале.

 

С учетом токсичности и экологической опасности хлордифениловых и большинства других негорючих жидкостей (такие трансформаторы все еще эксплуатируются) рекомендуется замена трансформаторов во всех случаях. Сухие трансформаторы небольшой мощности легко раз­местить в помещениях, на колоннах, антресолях и т. п., так как они не содержат охлаждающей жидкости и, следовательно, не требуют устройства маслосборников. Их применение целесообразно, например, для питания освещения при системе раздельного питания силовых и осветительных нагрузок. Сухие трансформаторы обладают повы­шенным раздражающим шумом, что следует учитывать при установке трансформаторов в местах с возможным присутствием людей.

Практика проектирования и эксплуатации показывает, что число типов и исполнений трансформаторов, применяемых на одном пред­приятии, необходимо ограничивать, так как разнообразие их создает неудобства в эксплуатации и вызывает дополнительные затраты на электроремонт, осложняет резервирование и взаимозаменяемость. Разнообразие отражает техноценологические свойства электрического хозяйства и не может быть уничтожено. Оно описывается выражением (2.31) и может быть сокращено или увеличено в пределах, разрешен­ных законом информационного отбора.

Выбор числа и мощности трансформаторов для промышленных предприятий определяется применением одно- и двухтрансформатор-ных цеховых подстанций. Это позволяет создавать и рассматривать различные варианты схемы электроснабжения. Число Nтр трансформа­торов ЗУР определяется нагрузкой цеха, исключая высоковольтную нагрузку, и требованиями надежности электроснабжения:

где Sр - полная расчетная нагрузка объекта, для которого определя­лись Ртах и cosj при расчете нагрузок; к з — коэффициент загрузки; Sном - номинальная мощность трансформатора.

Наиболее простым и дешевым решением является применение однотрансформаторных цеховых подстанций. На крупных предприятиях, имеющих складской резерв трансформаторов, их можно применять для питания электроприемников III и даже II категории. Однотрансформаторные подстанции могут применяться и для питания электроприем­ников I категории, если мощность последних не превышает 15—20% мощности трансформатора и возможно резервирование подстанций на вторичном напряжении перемычками с АВР. Правила проектирова­ния и общая тенденция повышения надежности электроснабжения ве­дут к установке двухтрансформаторных подстанций и для рассматри­ваемых случаев, т. е. к обеспечению всех потребителей как потребите­лей I категории. При установке однотрансформаторных подстанций они могут быть закольцованы на стороне 0,4 кВ (соединены магистра-

 

лями или кабельными перемычками). Это обеспечивает сохранение электроснабжения при отключении любого трансформатора и воз­можность загрузки каждого трансформатора до номинального значе­ния, считая за расчетную нагрузку не максимум Ртах [см. (2.33)], а среднюю рс.


Двухтрансформаторные цеховые подстанции применяются при пре­обладании электроприемников I и II категорий и в энергоемких цехах предприятий при большой удельной мощности нагрузки [см. (2.36)], достигающей 4кВт/м2 и более.

Число и мощность трансформаторов цеховых подстанций являются взаимосвязанными величинами, поскольку при заданной расчетной на­грузке цеха Рр число трансформаторов будет меняться в зависимости от принятой единичной мощности КТП [см. (5.1)]. При выборе цехо­вых трансформаторов обычно приходится сравнивать трансформаторы КТП единичной мощностью 630, 1000, 1600, 2500 кВ • А. Увеличение единичной мощности снижает общее количество устанавливаемых трансформаторов, но увеличивает протяженность сетей к 2УР и 1УР, а также затраты на коммутационную аппаратуру и др., связанные с ростом токов КЗ. Практика проектирования и эксплуатации отдает предпочтение трансформаторам 1000 кВ • А (ив меньшей степени 630 кВ • А), считая эту мощность оптимальной.

Число и мощность трансформаторов зависят от распределения на­грузок по площади цеха, наличия места для расположения цеховых подстанций, характера и режима работы электроприемников. Выбор цеховых трансформаторов осуществляется одновременно с решением задачи компенсации реактивной мощности цеховых потребителей электроэнергии (см. гл. 11). Для крупных цехов и комплексов вы­бор единичной мощности трансформаторов ЗУР целесообразно осуще­ствлять на основе технико-экономического сравнения вариантов. Зна­чительное влияние на результаты расчетов оказывают стоимость ак­тивных потерь в трансформаторах и разница в стоимости трансформа­торов D К Tp, которая для КТП значительна.

Не учитывая влияния компенсации реактивной мощности на выбор цеховых трансформаторов, сравним приведенные затраты (см. гл. 15) двух вариантов:

где Е — коэффициент эффективности дополнительных капитальных вложений, Е = Ен + D З/D К; К Tpl. КTp2 - капитальные затраты на

 

 

трансформаторы; Рx, рк потери холостого хода и КЗ трансформато­ров; Sср, Sном.тр.1,2 Средняя нагрузка и номинальная мощность трансформаторов; индексы 1 и 2 относятся к трансформаторам мень­шей и больней мощности соответственно.

Разница в приведенных затратах, найденных в выражении (5.2),

С0 — удельная стоимость потерь активной мощности, руб/ (кВт • год). Коэффициент k для шкалы номинальных мощностей цеховых транс­форматоров равен 1,6. Поэтому при сравнении трансформаторов, со­седних по шкале номинальных мощностей, Рк = Рк2 / 1,62Рк1

Если при проведении расчетов по формуле (5.3) получим DЗ = 0, то это значит, что два варианта номинальной мощности цеховых трансфор­маторов являются равноценными. При принятии решения в таком слу­чае необходимо учесть компенсацию реактивной мощности и рост на­грузки цеха на перспективу. При проведении расчетов часть данных (по состоянию на 1990 г.) может быть взята из табл. 5.1. Нормативный коэффициент Е н = 0,12; Sср может быть найдено с учетом отношения

 

 

числа часов включения трансформатора в году TГ к числу часов исполь­зования максимума по 5УР или 4УР: S ср = SHOM TГ / Ттах.


К выбору номинальной мощности трансформаторов S ном возможен и несколько иной подход, учитывающий другие составляющие при расче­те минимума приведенных затрат на сеть:

 

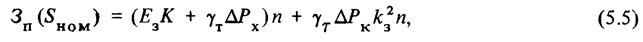
где 3в (Sном) = Ав + B(Sном) - суммарные приведенные затраты на сеть высшего напряжения для данного предприятия; Зп(S ном) п + П (Sном) - на подстанции; 3HOM(SHOM) = Аном + Н(Sном) - на сеть низшего напряжения; Ав, Ац, Аном - постоянные составляющие соответствующих затрат; В (SHOM), П(Sном), Н(Sном) - их перемен­ные составляющие; Ав > Аном, так как являются неубывающими функциями номинальной мощности напряжения сети; В (SHQM) - не возрастающая, Н(Sном) - неубывающая функция номинальной мощности трансформаторов подстанций для данного предприятия. Скоро­сти изменения функций В и Н обратно пропорциональны напряжениям (или квадратам напряжений), поэтому наименьшее значение суммы 3в (Sном)+ 3ном (Sном) достигается при значениях Sн, близких к максимальной номинальной мощности потребителя низшего напря­жения.

При каждой заданной суммарной нагрузке предприятия S сущест­вует значение номинальной мощности трансформаторов подстанций, которое определяется минимумом суммарных приведенных затрат на строительство сетевых узлов (подстанций и распределительных устройств). С ростом номинальной мощности в единице удельная стоимость трансформаторов на 1 кВ • А уменьшается, поэтому при обычно используемых коэффициентах загрузки k3 (заданной сумме номинальных мощностей трансформаторов) с уменьшением их числа суммарные капитальные вложения в трансформаторы снижаются. Однако при этом возрастает стоимость коммутационной аппаратуры низ­шего напряжения, которая начинает составлять все большую часть капиталовложений в сеть низшего напряжения (и подстанций). После не­которого значения номинальной мощности трансформатора аппаратура низшего напряжения должна быть устойчива к действию значительных токов короткого замыкания, что делает ее стоимость соизмеримой со стоимостью трансформаторов. Это приводит к увеличению удельной (на 1 кВ • А) стоимости подстанций с учетом аппаратуры для подклю­чения трансформаторов и обеспечивает существование минимума сум­марных приведенных затрат на сетевые узлы.

Этот минимум отвечает предельной (наибольшей) номинальной мощ­ности трансформаторов, которая достаточно близка к оптимальной, так как для современных крупных промышленных предприятий зна-

 

чение предельной мощности трансформаторов отвечает пологой неубывающей части зависимости 3в (Sн) + Зн (Sн). Предельная номинальная мощность трансформаторов ограничивает сверху число допустимых близких к оптимальному вариантов промышленной электрической сети. Приведенные затраты на подстанции, содержащие все вместе п трансформаторов одинаковой номинальной мощности Sн, имеют вид

где ез = 0,216 — сумма отчислений от капиталовложений К (на трансформаторы и аппаратуру высшего и низшего напряжений для подключения их на подстанции), приходящихся на трансформаторную единицу, включающая нормативные и амортизационные отчисления; ут=а + + ВТ, у Т = а + вt — стоимость электрической энергии по двухставочному тарифу, тыс. руб. год, приведенная к 1 кВт мощности потерь холостого хода D Рх и нагрузочных DРК трансформатора соответственно; состав­ляющие тарифа: а — за 1 кВт в максимуме энергосистемы; b — за 1 кВт · ч; Т — время включения трансформатора в год, ч; t время максимальных потерь в год, ч; Кз = 0,6 ¸ 1.


Путем подставления (5.1) в (5.5) и использования справочных данных по DРх и DРк, а также укрупненных сведений по капитальным вложениям и тарифам в табл. 5.1 получены данные, аналогичные данным для трансформаторов внутрицеховых комплектных трансформаторных подстанций. Из таблицы следует, что минимум 3П(Sном) достигается при shоm = 1000 кВ • А. Эта мощность является предельной номиналь­ной мощностью цеховой КТП. Она также отвечает минимальным капи­тальным вложениям в КТП на 1 кВ • А. Применение КТП с трансформа­торами 1600 и 2500 кВ • А может быть оправдано лишь серьезными техническими соображениями (необходимость обеспечения пуска крупных двигателей, наличие больших сосредоточенных нагрузок на малой площади и т. п.), так как приводит к увеличению капиталовло­жений соответственно на 79,5 и 68,5% только в КТП (не считая сети низшего напряжения).

Оптимальный коэффициент загрузки Кз.опт трансформатора КТП

получается как выражение для минимальных приведенных затрат на 1 кВ • А номинальной мощности трансформатора.

Вычисления показывают, что оптимальной загрузке отвечает Кз.опт = 0,755 (при у Т= уt = 0,256 тыс. руб/кВт в год) и более.

В проектной практике цеховые трансформаторы часто выбирают

 

 

без технике-экономических расчетов, пользуясь коэффициентами за­грузки трансформаторов и расчетной нагрузки цеха. Для двухтрансфор-маторных цеховых подстанций при преобладании нагрузок I категории коэффициент загрузки трансформаторов Кз принимается в пределах 0,6-0,7. Для однотрансформаторных подстанций при наличии взаимно­го резервирования по перемычкам с другими подстанциями на вторич­ном напряжении мощность трансформаторов выбирается с учетом сте­пени резервирования. Коэффициент загрузки цеховых трансформаторов может быть принят: при преобладании нагрузок II категории 0,7—0,8, а при нагрузках III категории 1.

Однако такой подход к выбору трансформаторов во многих случаях приводит к неэкономичным решениям, так как в условиях неполноты исходной информации имеют место ошибки в определении расчетных нагрузок цехов (завышение расчетных нагрузок) и, кроме того, расчетная нагрузка цеха или предприятия достигается не сразу в первый год эксплуатации, а постепенно.

В последние годы ведется поиск наиболее эффективных методов выбора мощности цеховых трансформаторов. Один из подходов к ре­шению этой задачи основывается на применении комплексного метода расчета электрических нагрузок, прогнозирующего увеличение нагруз­ки во времени и в зависимости от технологических показателей объек­та. Тогда можно использовать удельную плотность нагрузки, которая для промышленных предприятий растет во времени. При этом число трансформаторов NТР, связано с их номинальной мощностью следующим образом:

где Sном.э экономически целесообразная номинальная мощность трансформатора.

Значение shom в выражении (5.7) принимается в зависимости от удельной плотности расчетной нагрузки:

Если SУД ³ 0,4 кВ • А/м2, то независимо от требований надежности электроснабжения целесообразно применять двухтрансформаторные подстанции. Выражение (5.7) не означает, что если вначале целесообраз­на установка трансформаторов 1000 кВ • А, то через 5 лет они заменят­ся на большие при росте нагрузок. Обычно осуществляют дополнитель­ную установку трансформаторов, стараясь сохранить тип и мощность.

Трансформаторы мощностью 630 кВ • А и менее рекомендуется применять для питания вспомогательных цехов и участков предприятий.

 

 







Date: 2015-06-11; view: 1605; Нарушение авторских прав



mydocx.ru - 2015-2026 year. (0.376 sec.) Все материалы представленные на сайте исключительно с целью ознакомления читателями и не преследуют коммерческих целей или нарушение авторских прав - Пожаловаться на публикацию