Главная Случайная страница


Полезное:

Как сделать разговор полезным и приятным Как сделать объемную звезду своими руками Как сделать то, что делать не хочется? Как сделать погремушку Как сделать так чтобы женщины сами знакомились с вами Как сделать идею коммерческой Как сделать хорошую растяжку ног? Как сделать наш разум здоровым? Как сделать, чтобы люди обманывали меньше Вопрос 4. Как сделать так, чтобы вас уважали и ценили? Как сделать лучше себе и другим людям Как сделать свидание интересным?


Категории:

АрхитектураАстрономияБиологияГеографияГеологияИнформатикаИскусствоИсторияКулинарияКультураМаркетингМатематикаМедицинаМенеджментОхрана трудаПравоПроизводствоПсихологияРелигияСоциологияСпортТехникаФизикаФилософияХимияЭкологияЭкономикаЭлектроника






Методика оценки радиационной обстановки





 

Опасность поражения людей радиоактивными, отравляющими и сильнодействующими ядовитыми веществами требует быстрого выявления и оценки радиационной и химической обстановки, учитывая ее влияние на организацию спасательных и неотложных аварийно-восстановительных работ, а также на производственную деятельность объекта народного хозяйства в условиях заражения.

Радиационная обстановка складывается на территории административного района, населенного пункта или объекта в результате радиоактивного заражения местности и всех расположенных на ней предметов и требует принятия определенных мер защиты, исключающих или способствующих уменьшению радиационных потерь среди населения.

Под оценкой радиационной обстановки понимается решение основных задач по различным вариантам действий формирований, а также производственной деятельности объекта в условиях радиоактивного заражения, анализу полученных результатов и выбору наиболее целесообразных вариантов действий, при которых исключаются радиационные потери. Оценка радиационной обстановки производится по результатам прогнозирования последствий применения ядерного оружия и по данным радиационной разведки.

Поскольку процесс формирования радиоактивных следов длится несколько часов, предварительно производят оценку радиационной обстановки по результатам прогнозирования радиоактивного заражения местности. Прогностические данные позволяют заблаговременно, т. е. до подхода радиоактивного облака к объекту, провести мероприятия по защите населения,; рабочих, служащих и личного состава формирований, подготовке предприятия к переводу на режим работы в условиях радиоактивного заражения, подготовке противорадиационных укрытий и средств индивидуальной защиты.

Для объекта народного хозяйства, размеры территории которого незначительные по сравнению с зонами радиоактивного заражения местности, возможны только два варианта прогноза: персонал объекта подвергается или не подвергается облучению. Поэтому для случая радиоактивного заражения территории объекта берут самый неблагоприятный вариант, когда ось следа радиоактивного облака ядерного взрыва проходит через середину территории предприятия [9].

Исходные данные для прогнозирования уровней радиоактивного заражения: время осуществления ядерного взрыва, его координаты, вид и мощность взрыва, направление и скорость среднего ветра. Характер изменения уровней радиации по оси следа радиоактивного заражения для наземного ядерного взрыва приведен в приложении 3. Приведенные зависимости позволяют рассчитывать ожидаемое время выпадения радиоактивных веществ и максимально возможный уровень радиации на территории объекта. По результатам такого прогноза нельзя заранее, т. е. до выпадения радиоактивных веществ на местности, определить с необходимой точностью уровень радиации на том или ином участке территории объекта.

Только достоверные данные о радиоактивном заражении, полученные органами разведки с помощью дозиметрических приборов, позволяют объективно оценить радиационную обстановку. На объекте разведка ведется постами радиационного и химического наблюдения, звеньями и группами радиационной и химической разведки. Оки устанавливают начало радиоактивного заражения, измеряют уровни радиации и иногда (например, посты радиационного и химического наблюдения) определяют (засекают) время наземного ядерного взрыва.

Штаб ГО объекта, получив данные об уровнях радиации и времени измерения, заносит их в журнал радиационной разведки и наблюдения:

 

№ п.п. Дата и время ядерного взрыва, от которого произошло радиоактивное заражение Место измерения, цех Время измерения, ч.мин. Уровень радиации, Р/ч Уровень радиации на 1 ч. после ядерного взрыва, Р/ч
1. 21.05. 14.00 № 1 16.00    
№ 2 16.02    
№ 3 16.07    


По нанесенным на схемы уровням радиации можно провести границы зон радиоактивного заражения. Средние уровни радиации (Ро) на внешних границах зон заражения на 1 ч после взрыва приведены на рис. 12 и табл. 6.

Степень опасности и возможное влияние последствий радиоактивного заражения оцениваются путем расчета экспозиционных доз излучения, с учетом которых определяются: возможные радиационные потери; допустимая продолжительность пребывания людей на зараженной местности; время начала и продолжительность проведения спасательных и неотложных аварийно-восстановительных работ на зараженной местности; допустимое время начала преодоления зон (участков) радиоактивного заражения; режимы защиты рабочих, служащих и производственной деятельности объектов и т. д.


Основные исходные данные для оценки радиационной обстановки: время ядерного взрыва, от которого произошло радиоактивное заражение, уровни радиации и время их измерения; значения коэффициентов ослабления радиации и допустимые дозы излучения; поставленная задача и срок ее выполнения. При выполнении расчетов, связанных с выявлением и оценкой радиационной обстановки, используют аналитические, графические и табличные зависимости, а также дозиметрические и расчетные линейки.

Зная уровень радиации и время, прошедшее после взрыва, можно рассчитать уровень радиации на любое' заданное время проведения работ в зоне радиоактивного заражения, в частности для удобства нанесения обстановки на схему (план) можно привести измеренные уровни радиации в различных точках зараженной местности к одному времени после взрыва.

Приведение уровней радиации к одному времени после ядерного взрыва. При решении задач по оценке радиационной обстановки обычно приводят уровни радиации на 1 ч после взрыва. При этом могут встретиться два варианта: когда время взрыва известно и когда оно неизвестно.

Когда время взрыва известно, уровень радиации определяют по формуле (12), где t0=l ч. Значения коэффициентов Kt для пересчета уровней радиации на различное время t после взрыва приведены в табл. 11.

Таблица 11

 

t, ч Kt t,ч Kt t, ч Kt
0,5 2,3   0,072   0,031
      0,063   0,027
  0,435   0,056   0,024
  0,267   0,051   0,022
  0,189   0,046   0,020
  0,145   0,042   0,018
  0,116   0,039   0,015
  0,097   0,036   0,013
  0,082   0,033   0,01

Пример. В 11 ч 20 мин уровень радиации на территории объекта составлял 5,3 Р/ч. Определить уровень радиации на 1 ч после взрыва, если ядерный удар нанесен в 8 ч 20 мин.

Решение 1. Определяем разность между временем замера уровня радиации и временем ядерного взрыва. Оно равно 3 ч.

2. По табл. 11 коэффициент для пересчета уровней радиации через 3 ч после взрыва Кз — 0,267.

3. Определяем по формуле (12)уровень радиации на 1 ч после ядерного взрыва Р133 = 5,3/0,267= 19,8 Р/ч, так как Kt на 1 ч после взрыва К1= 1, нa 3ч — К3 = 0,267.

Не установленное разведкой время взрыва можно определить по скорости спада уровня радиации. Для этого в какой-либо точке на территории объекта измеряют дважды уровень радиации. По результатам двух измерений уровней радиации через определенный интервал времени, используя зависимость (12), можно рассчитать время, прошедшее после взрыва.. По этим данным составляют таблицы, по которым определяют время, прошедшее после взрыва до первого или второго измерения (табл. 12).

Таблица 12

 

Отношение уровня радиации при втором измерении к уровню радиации при первом измерении, Р12   Время между измерениями, мин
     
Время, прошедшее после взрыва до второго измерения уровней радиации (... ч... мин)
0,9 3,00 6,00 12,00
0,8 1,30 3,00 6,00
0,7 1,00 2,00 4,00
0,6 0,45 1,30 3,00
0,5 0,35 1,10 2,20
0,4 0,55 1,50
0,3 1,35
0,2 1,20

Пример. В районе нахождения разведывательного звена были измерены уровни радиации в 10 ч 30 мин Pi = 50 Р/ч, в 11 ч 30 мин Р2 = 30 Р/ч. Определить время взрыва.


Решение: 1. Интервал между измерениями 1 ч.

2. Для отношений уровней радиации Р2/Р\ — 30/50 = 0,6 и интервала времени 60 мин по табл. 12 находим время с момента взрыва до второго измерения. Оно равно 3 ч. Взрыв, следовательно, был осуществлен в 8 ч30 мин.

Определение возможных экспозиционных доз излучения при действиях на местности, зараженной радиоактивными веществами. Для расчетов нужны сведения об уровнях радиации, продолжительности нахождения людей на зараженной местности и степени защищенности. Степень защищенности характеризуется коэффициентом ослабления экспозиционной дозы радиации Косл, значения которого для зданий и транспортных средств приведены в табл. 13 [8] и могут быть рассчитаны по формуле (11).

Таблица 13

Наименование укрытий и транспортных средств или условия действия населения Косл
Открытое расположение на местности  
Транспортные средства
Автомобили и автобусы  
Железнодорожные платформы 1,5
Крытые вагоны  
Пассажирские вагоны, локомотивы  
Промышленные и административные здания
Производственные одноэтажные зда­ния (цеха) 7
Производственные и административ­ные трехэтажные здания  
Жилые каменные дома
Одноэтажные  
Подвал  
Двухэтажные  
Подвал  
Трехэтажные  
Подвал  
Пятиэтажные  
Подвал  
Жилые деревянные дома
Одноэтажные  
Подвал  
Двухэтажные  
Подвал  
В среднем для населения
Городского  
Сельского  

 

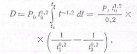
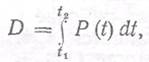
Экспозиционная доза радиации (D) за время от t1 до t2 определяется зависимостью

учитывая, что

получим

Подставив значения

находим

Экспозиционная доза гамма-излучения D∞, полученная за промежуток времени от t\ до времени полного распада радиоактивных веществ, когда Р2→0, равна

В штабах ГО имеются таблицы, по которым по уровню радиации, времени после взрыва и времени пребывания определяется экспозиционная доза излучения. В табл. 14 приведены экспозиционные дозы излучения только для уровня радиации 100 Р/ч на 1 ч после ядерного взрыва. Чтобы определить экспозиционную дозу излучения для другого значения уровня радиации на 1 ч после взрыва, необходимо найденную по таблице экспозиционную дозу, полученную за указанное время пребывания с начала облучения после взрыва, умножить на отношение P1/100, где P1 — фактический уровень радиации на 1 ч после взрыва.


На практике для вычисления экспозиционных доз радиации часто используют упрощенные формулы

 

Здесь — уровни радиации в начале и конце излучения соответственно; Т — время пребывания на зараженной местности.

Пример. Рабочие прибыли из укрытия в цех, расположенный в одноэтажном производственном здании, через 2 ч после взрыва. Уровень радиации на территории объекта через 1 ч после взрыва составлял P1 = 200 Р/ч.

Определить экспозиционную дозу излучения, которую получат рабочие в цехе, если работа продолжается 4 ч.

Решение. 1. По формуле (12) и табл. 11 определяем уровень радиации через 2 и 6 ч после взрыва (в начале и конце работы).

P2 = P1·К2 = 200 · 0,435=87 Р/ч; Р6 = 200 ·0,116=23, 6 Р/ч.

2. По формуле (13) вычисляем экспозиционную дозу излучения на открытой местности (Косл=1), полученную за время пребывания от 2 до 6 ч после взрыва, D = 5·87·2—5·23,6·6=174 Р.

3. Для определения экспозиционной дозы, которую получат рабочие за 4 ч пребывания в одноэтажном производственном здании, необходимо найденную экспозиционную дозу для открытой местности разделить на коэффициент ослабления радиации Kосл=7. (табл. 13), D = 174/7=24,8 Р.

Решение задачи с помощью табл. 14.

1. На пересечении вертикальной колонки «Время начала облучения с момента взрыва» (2 ч) и горизонтальной колонки «Время пребывания» (4 ч) находим экспозиционную дозу излучения на открытой местности D = 85,8 Р.

2. При уровне радиации 200 Р/ч эта доза в 2 раза больше (85,8·200/100), т. е. 171,6 Р, а при Кocл = 7 D = 24,5 Р.

При решении по упрощенной формуле (15)

Очевидно, результаты расчетов по упрощенной формуле (15) могут давать существенную ошибку в сторону завышения экспозиционной дозы излучения.

По многочисленным данным, собранным в Хиросиме и Нагасаки, отмечены следующие степени поражения людей после воздействия на них однократных доз излучения [5, 8]:

1100—5000 Р — 100% смертность в течение одной недели;

550—750 Р — смертность почти 100%; небольшое количество людей, оставшихся в живых, выздоравливает в течение примерно 6 месяцев;

400—500 Р — все пораженные заболевают лучевой болезнью; смертность около 50 %;

270—330 Р — почти все пораженные заболевают лучевой болезнью; смертность 20 %;

180—220 Р — 50 % пораженных заболевают лучевой болезнью;

130—170 Р — 25 % пораженных заболевают лучевой болезнью;

80—120 Р — 10 % пораженных чувствует недомогание и усталость без серьезной потери трудоспособности;

0—50 Р — отсутствие признаков поражения.

Таблица 14

 

Время начала облучения с момента взрыва, ч   Время пребывания, ч
                 
Экспозиционные дозы излучения (Р), получаемые на открытой местности при уровне радиации 100 P/q на 1 ч после ядерного взрыва
0,5                  
  64,8 98,8              
  34,0 56,4 72,8 85,8       НО  
  16,4 29,4 40,2 49,2 63,4 74,7 83,8 91,6  
  10,6 19,4 27,0 33,8 45,0 54,2 62,0 68,7 96,6
  7,6 14,4 20,4 25,6 34,8 42,6 49,3 55,1 80,5
  6,0 11,2 16,0 20,4 28,2 34,9 40,7 46,0 69,4
  4,8 9,2 13,2 17,0 23,7 29,5 34,8 39,6 60,8
  2,2 4,3 6,3 8,3 12,0 15,8 18,5 21,4 35,1

 

Если же период облучения будет больше четырех суток, то в облученном организме начинают протекать процессы восстановления пораженных клеток. Эффективность воздействия на организм человека однократной дозы излучения с течением времени после облучения составляет через: 1 неделю — 90 %, 3 недели—60 %, 1 месяц — 50 %, 3 месяца—12 %. Например, если люди были облучены экспозиционной дозой 30 Р три недели назад, то остаточная доза радиации составляет 30-0,6=18 Р. Таким образом, зная возможные дозы излучения и степень поражения ими людей, можно определить вероятные потери среди населения.

Определение допустимой продолжительности пребывания людей на зараженной местности. Решив систему уравнений:

получают зависимость

где D зад — заданная экспозиционная доза излучения; Рвх — уровень радиации к моменту входа на зараженный участок; tвх и tвых — время, прошедшее после взрыва до момента входа и выхода соответственно; Т — продолжительность облучения.

На основании зависимости (16) составляют различного рода таблицы, например табл. 15.

Пример. Грузчики начали работать на железнодорожных платформах (Косл = 1,5) через 3 ч после взрыва; уровень радиации на территории разгрузочной станции в это время 30 Р/ч.

Определить допустимую продолжительность пребывания рабочих, если им установлена экспозиционная доза излучения 40 Р.

Решение. 1. Рассчитываем отношение

2. По табл. 15 на пересечении значений вертикальной (2,0) и горизонтальной (3 ч) колонок находим допустимое время работы (3 ч 13 мин).

Допустимое время начала и продолжительность проведения работ на зараженной местности определяют для случая, когда установлены продолжительность работ и задана экспозиционная доза излучения. При этом продолжительность ведения работы (1-й смены), как правило, берут не меньше 2 ч. (реже, не менее 1 ч).

Определение времени начала tH и окончания tK работ первой смены (рис. 21).

1. По заданной дозе излучения(Дзад), степени защиты (Косл) и продолжительности работы (Г) определяют средний уровень радиации

2. Из соотношения Kcp/Pcp=Ki/Pi,полученного из формулы (12), вычисляют среднее значение коэффициентаспада уровня радиации (Кср); Pi —известное (замеренное) значение уровня радиации для времени после взрыва U; Ki — коэффициент спада уровня радиации для времени ti (находят потабл.11),

3. По вычисленному значению Кср определяют среднее время для проведения работ tср (табл. 11).

4. Время начала ведения работ на зараженной местности (рис. 21) примерно будет равно tH=tcp—Т/2. Времяокончания работы первой смены (начало работы второй смены) равно tK== tсp+T/2, а продолжительность работы второй смены может быть определена по табл. 15 и т. д.

 

Таблица 15

 

Dзад·Косл. Рвх   Время, прошедшее с момента взрыва до начала облучения, ч
0,5          
Допускаемое время пребывания на местности, зараженной РВ,... ч.. мин
0,2 0—15 0—14 0—13 0—12 0—12 0—12
0,3 0—22 0—22 0—20 0—19 0—19 0—19
0,4 0—42 0—31 0—26 0—26 0—25 0—25
0,5 1—02 0—42 0—35 0—34 0—32 0—32
0,6 1—26 0—54 0—44 0—41 0—39 0—39
0,7 2—05 1—08 0—52 0—49 0—47 0—46
0,8 2—56 1—23 1—02 0—57 0—54 0—53
0,9 4—09 1—42 1 — 12 1—05 1—02 1—00
1,0 5—56 2—03 1—23 1—14 1 — 10 1—08
2,0 Без ограничений     11—52 4—06 3—13 2—46 2—35
2,5 31—00 6—26 4—28 3—48 3—28
3,0 Без ограничений     9—54 6—09 5—01 4—28
4,0 23—43 11—05 8—12 6—57
6,0 193—19 35—35 19—48 14—43
10,0 124—00 59—18






Date: 2015-06-11; view: 1617; Нарушение авторских прав



mydocx.ru - 2015-2026 year. (0.806 sec.) Все материалы представленные на сайте исключительно с целью ознакомления читателями и не преследуют коммерческих целей или нарушение авторских прав - Пожаловаться на публикацию