Главная Случайная страница


Полезное:

Как сделать разговор полезным и приятным Как сделать объемную звезду своими руками Как сделать то, что делать не хочется? Как сделать погремушку Как сделать так чтобы женщины сами знакомились с вами Как сделать идею коммерческой Как сделать хорошую растяжку ног? Как сделать наш разум здоровым? Как сделать, чтобы люди обманывали меньше Вопрос 4. Как сделать так, чтобы вас уважали и ценили? Как сделать лучше себе и другим людям Как сделать свидание интересным?


Категории:

АрхитектураАстрономияБиологияГеографияГеологияИнформатикаИскусствоИсторияКулинарияКультураМаркетингМатематикаМедицинаМенеджментОхрана трудаПравоПроизводствоПсихологияРелигияСоциологияСпортТехникаФизикаФилософияХимияЭкологияЭкономикаЭлектроника






Модели как взаимосвязанные наборы диаграмм





После того как определены субъект, цель и точка зрения модели, начинается первая интеграция процесса моделирования по методологии SADT. Субъект определяет, что включить в модель, а что исключить из нее. Точка зрения диктует автору модели выбор нужной информации о субъекте и форму ее подачи. Цель становится критерием окончания моделирования. Конечным результатом этого процесса является набор тщательно взаимоувязанных описаний, начиная с описания самого верхнего уровня всей системы и кончая подробным описанием деталей или операций системы.

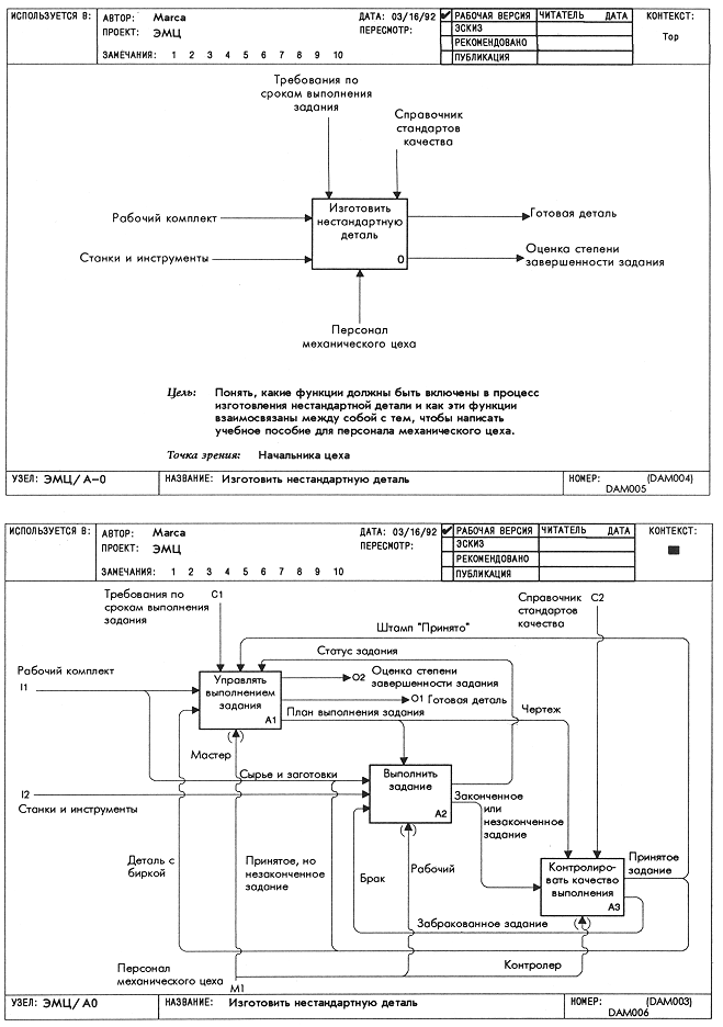
Каждое из таких тщательно взаимосогласованных описаний называется диаграммой. SADT-модель объединяет и организует диаграммы в иерархические структуры, в которых диаграммы наверху модели менее детализированы, чем диаграммы нижних уровней. Другими словами, модель SADT можно представить в виде древовидной структуры диаграмм, где верхняя диаграмма является наиболее общей, а самые нижние наиболее детализированы. На рис. 2.24. (а, б) представлены две диаграммы из модели экспериментального механического цеха.

Рис.2.24.а Диаграмма описывает механический цех как функцию

 

Диаграмма 2.24.а, (на вершине модели) описывает механический цех как функцию, в основе которой лежит преобразование входящих рабочих комплектов (заготовок, сырья, документации) в детали при определенном контроле качества. Диаграмма 2.24.б детализирует верхнюю, указывая на три главные функции механического цеха: управление выполнением заданий, выполнение задания и контроль качества выполнения.

Рис.2.24.б Диаграмма детализирует верхнюю, указывая на три главные функции механического цеха

 

Таким образом, общая функция, указанная на верхней диаграмме, детализируется с помощью трех функций на нижней диаграмме. Это пример того, как SADT организует описание системы, создавая иерархию добавляющихся на каждом уровне деталей. На рис. 2.24. (а, б) показано также взаимное влияние трех функций нижней диаграммы, обозначенное дугами, которые символизируют объекты механического цеха. На диаграмме можно увидеть, что некоторые дуги доходят до ее границы. При более детальном рассмотрении видно, что имена этих дуг совпадают с теми, что указаны на дугах верхней диаграммы. Это пример того, как SADT соединяет диаграммы в модели через объекты системы. Такая схема соединения требует согласованного наименования и учета объектов системы с тем, чтобы две диаграммы можно было рассматривать как связанные между собой. Например, функциональный блок на верхней диаграмме имеет семь дуг, и каждая из них может быть найдена среди дуг, идущих к границе или от границы диаграммы на следующем уровне.

 







Date: 2015-05-23; view: 620; Нарушение авторских прав



mydocx.ru - 2015-2026 year. (1.495 sec.) Все материалы представленные на сайте исключительно с целью ознакомления читателями и не преследуют коммерческих целей или нарушение авторских прав - Пожаловаться на публикацию