Главная Случайная страница


Полезное:

Как сделать разговор полезным и приятным Как сделать объемную звезду своими руками Как сделать то, что делать не хочется? Как сделать погремушку Как сделать так чтобы женщины сами знакомились с вами Как сделать идею коммерческой Как сделать хорошую растяжку ног? Как сделать наш разум здоровым? Как сделать, чтобы люди обманывали меньше Вопрос 4. Как сделать так, чтобы вас уважали и ценили? Как сделать лучше себе и другим людям Как сделать свидание интересным?


Категории:

АрхитектураАстрономияБиологияГеографияГеологияИнформатикаИскусствоИсторияКулинарияКультураМаркетингМатематикаМедицинаМенеджментОхрана трудаПравоПроизводствоПсихологияРелигияСоциологияСпортТехникаФизикаФилософияХимияЭкологияЭкономикаЭлектроника






Расчетная часть ТЭО ДП





3.1. Технико-экономические расчеты при работе над конструкторско-технологическими темами
3.2. Технико-экономические расчеты при разработке научно-исследовательских (лабораторных) тем

Расчетная часть является важной составной частью ТЭО ДП и преследует цель дать итоговую, интегральную оценку выполненной разработке. Как правило, вся расчетная часть ТЭО ДП приводится в главе «Технико-экономические расчеты». Глава состоит из нескольких разделов, которые освещают те или иные вопросы ТЭО. В первом разделе рассчитываются затраты для реализации данного проекта. Второй раздел направлен на определение текущих эксплуатационных расходов (издержек) и экономической эффективности разработки. В третьем разделе – комплексный анализ ТЭП и выводы по разработке.

Методика технико-экономических расчетов зависит от характера разрабатываемых тем, поэтому рассмотрим эти вопросы подробнее в соответствии с приведенной классификацией.

3.1. Технико-экономические расчеты
при работе над
конструкторско-технологическими темами

К данной классификационной группе относятся темы, направленные на разработку и производство материалов, новых систем, новой аппаратуры, приборов, а также отдельных функциональных блоков и узлов.

В разд. 1 главы «Технико-экономические расчеты» по этим темам необходимо рассчитать затраты, связанные с разработкой и производством новых материалов, новой техники (аппаратуры, приборов и т. п.).

Определение затрат на разработку и производство материалов является одним из важнейших элементов технико-экономического обоснования дипломных проектов. Только сопоставление затрат и ожидаемого эффекта дает возможность судить об экономической и социальной эффективности данной разработки.

Суммарные затраты на создание новой техники, материалов складываются из единовременных (связанных с разработкой и освоением технологии производства) и текущих, т.е. затрат на производство.

Для определения текущих затрат необходимо в первую очередь составить плановую калькуляцию себестоимости и определить оптовую или розничную цену в зависимости от назначения разрабатываемого изделия.

Расчет себестоимости производства
материалов и устройств

Объективной необходимостью возмещения предприятием затрат на производство доходами от реализации продукции обусловливается и объективная необходимость определения себестоимости продукции.

При исчислении плановой себестоимости единицы новой продукции (калькуляции) должна быть определена величина прямых (основных) и косвенных (накладных) расходов на ее производство и сбыт. При этом возможно большая часть затрат должна включаться в виде прямых расходов. К прямым относятся затраты, непосредственно связанные с производством данного конкретного изделия.

К накладным относятся расходы, которые связаны с изготовлением всех видов изделия (продукции) данным предприятием, и поэтому они распределяются между ними косвенным путем (пропорционально тем или иным статьям прямых затрат).

При расчетах за единицу продукции принимается один комплект материалов, разрабатываемой новой техники. Применительно к условиям производства материалов в себестоимость включают три прямых статьи затрат: стоимость сырья и материалов; покупные комплектующие изделия, полуфабрикаты и услуги кооперированных предприятий; основная заработная плата производственных рабочих, транспортные расходы. Остальные статьи калькуляции определяются косвенным методом.

Необходимо отметить, что материальные и трудовые затраты по новому изделию рассчитываются исходя из технически обоснованных норм.

Расчет себестоимости сырья и основных материалов. В этой статье учитывается стоимость сырья и материалов, расходуемых на изготовление деталей собственного производства непосредственно на данном предприятии. Кроме стоимости основных материалов учитываются также затраты на вспомогательные (прочие) материалы, используемые на технологические нужды и необходимые для сборки и монтажа. Если подетальный расчет вспомогательных материалов невозможен, то необходимо их стоимость брать в процентах от стоимости основных материалов.

Стоимость материалов определяется по формуле

,

где См – затраты на основные и вспомогательные материалы с учетом стоимости возвратных отходов, руб.;

Нмi – норма расхода материала i-го вида на одно изделие, кг;

Цмi – цена 1 кг материала i-го вида, руб.;

Кв – коэффициент, учитывающий затраты на вспомогательные материалы;

Ктз – коэффициент, учитывающий транспортно-заготовительные расходы;


Н0 – норма (вес) возвратных отходов, кг;

Ц0 – цена 1 кг возвратных отходов, руб.

В табл. 3.1 приводится форма для расчета количества и стоимости основных

Таблица 3.1

Наименование материала Профиль, марка, сорт, размер Единица измерения, кг, м, м2 и т. д. Норма расхода, количество Цена за единицу, руб Сумма, руб.
           
Итого
Стоимость вспомогательных материалов (+) Транспортно-заготовительные расходы (+) Стоимость возвратных отходов (–) Всего

Графы 1–4 определяются на основании технологии производства и прогрессивных норм расхода материалов. Графа 5 определяется по договорным, свободным ценам, на основании прайслистов. Графа 6 – расчетная (произведение графы 4 на графу 5).

К общей стоимости основных и вспомогательных материалов добавляется 15–20% на транспортно-заготовительные расходы.

Номенклатура и количество основных материалов определяются укрупненным методом по основным элементам конструкции. Основанием для этого служат перечень основных элементов конструкции и технологический процесс их изготовления. При этом студент-дипломник обязан знать методы изготовления и необходимые комплектующие для производства материалов.

Очень полезно для самопроверки сопоставить табл. 3.1 и 3.3.

Материалы следует группировать в следующем порядке:

- черные металлы (лист, кругляк, профильный),

- цветные металлы (то же),

- провода и кабельные изделия,

- лакокрасочные материалы,

- химические материалы (для гальванических работ, работ по изготовлению печатных плат и т. д.),

- изоляционные материалы (гетинакс, текстолит),

- пресспорошки и сополимеры,

- драгметаллы (серебро, золото – анодное и сернокислое),

- прочие, неучтенные материалы, при таком укрупненном методе определения следует брать в пределах 6 – 10% от стоимости основных материалов, подсчитанных согласно табл. 3.1.

Расчет стоимости комплектующих изделий, полуфабрикатов и услуг кооперированных предприятий. Эти расходы также определяются прямым счетом. Сумма их рассчитывается аналогично стоимости материалов по форме, приведенной в табл. 3.2.

Таблица 3.2

Наименование готовых изделий и полуфабрикатов Тип Количество Цена за единицу, руб. Сумма, руб.
         
Итого: Транспортно-заготовительные расходы: Всего:

Данные граф 1–3 определяются на основании технологической схемы и спецификации разработки. Графа 4 определяется в основном по договорным и свободным ценам, по данным предприятия-изготовителя. Графа 5 – расчетная (произведение графы 3 на графу 4).

Транспортно-заготовительные расходы принимаются в размере 13–15% от общей стоимости готовых изделий, полуфабрикатов и услуг кооперированных предприятий.

Расчет основной заработной платы производственных рабочих. При исчислении себестоимости единицы изделия в статье «заработная плата» учитывается только основная заработная плата производственных рабочих и инженерно-технических работников, непосредственно связанных с изготовлением изделий, материалов (сборка, регулировка, испытание, снятие характеристик и т. д.). Заработная плата вспомогательных рабочих, руководящего и обслуживающего персонала в этой статье не учитывается и входит в цеховые и общезаводские расходы.


Наиболее простым и распространенным методом определения заработной платы является ее расчет по видам работ на изделие в целом (т. е. без подразделения по деталям и операциям). Форма расчета приведена в табл. 3.3.

Таблица 3.3

Виды работ Трудоемкость, нормочас Средний разряд работ Тарифная ставка за час работы, руб Заработная плата, руб
Заготовительные Слесарные Станочные: токарные, фрезерные, столярные Изготовление Монтажно-сборочные Регулировочные Испытание и снятие характеристик и т. д        

Перечень работ в табл. 3.3 приведен в качестве примера. Трудоемкость в нормочасах или в часах по видам работ для проектируемого изделия может быть определена исходя из трудоемкости аналогичного существующего изделия по данным предприятия.

Средний разряд работ определяется как среднее арифметическое из тарифных разрядов, взвешенное по количеству часов работы (например, 3-й разряд – 10 ч, 4-й разряд – 5 ч, средний разряд работ равен ).

Расчет основной заработной платы в рублях производственных рабочих определяется по формуле

,

где ti – трудоемкость i-го вида работ;

КiТ – тарифный коэффициент, соответствующий разряду работ по i-му виду;

СiТ – часовая тарифная ставка первого разряда.

СiТ =МРОТ/Ф, где МРОТ – минимальный размер оплаты труда; Ф – месячный фонд рабочего времени.

Основная заработная плата должна дополняться суммой премии в размере 25%, выплачиваемой рабочим из фонда заработной платы. Дополнительная заработная плата производственных рабочих представляет собой сумму всех доплат (кроме премиальных), предусмотренных законодательством о труде и коллективным договором. Сумма дополнительной заработной платы определяется в процентах (10–15%) от основной заработной платы.

Отчисления на единый социальный налог (ЕСН) определяются ставкой 26,4% от суммы основной и дополнительной заработной платы производственных рабочих.

В калькуляцию по статье «Заработная плата производственных рабочих» включается сумма основной и дополнительной зарплаты. На основании статей затрат, определенных прямым (детальным) счетом, составляется калькуляция себестоимости единицы изделия (разрабатываемой техники) по форме, приведенной в табл. 3.4.

Таблица 3.4

Наименование статей затрат Сумма затрат, руб Удельные веса статей затрат, % Порядок определения затрат
       
Сырье и материалы   Возвратные отходы   Покупные комплектующие изделия, полуфабрикаты и услуги кооперированных предприятий Зарплата производственных рабочих Единый социальный налог   Расходы на содержание и эксплуатацию оборудования   Цеховые расходы     Определяются прямым счетом по табл. 3.1 1–2% от стоимости материалов (вычитаются) Определяются прямым счетом по табл. 3.2     Определяется прямым счетом по табл. 3.3 Принимается в размере 26,4% от заработной платы Определяются в размере 35–40% от заработной платы производственных рабочих Определяются в размере 150% от заработной платы производственных рабочих
Общезаводские расходы Производственная (заводская) себестоимость единицы изделия Внепроизводственные расходы Полная себестоимость единицы изделия     Определяются в размере 200% заработной платы производственных рабочих Сумма затрат по всем статьям Определяются как 0,8–1% от производственной себестоимости Сумма производственной себестоимости и внепроизводственных расходов
           

 


Вместе взятые статьи калькуляции составляют полную себестоимость нового изделия. Если оно предназначено для реализации, необходимо рассчитать его оптовую цену.

Исходной базой оптовой цены (Цпр) выступает себестоимость, отражающая общественно-необходимые условия производства новой продукции, и нормативная прибыль Цпр = С + Пн, где С – себестоимость нового изделия, Пн – нормативная прибыль.

Рассчитанная по данной формуле цена изделия называется производственной и применяется только внутри данной отрасли экономики.

Для установления возможных границ изменения производственной цены нового изделия на проектной стадии рассчитываются верхний и нижний экономически допустимые пределы цены.

Нижний предел цены, обеспечивающий лишь покрытие затрат на освоение и материальное стимулирование работников предприятия-изготовителя, определяется по формуле

,

где Сп – полная себестоимость производства нового, материала изделия, руб.;

– плановый процент прибыли на предприятии-изготовителе (для радиотехнических изделий принимается в среднем на уровне 15%).

Как нетрудно заметить, нижний предел цены определяется из условия равновыгодности для предприятия-изготовителя производства старого заменяемого и нового проектируемого изделия.

Под верхним пределом цены понимается такой ее уровень, при котором для потребителей оказывается равновыгодным приобретение и использование выбранного аналога и проектируемого изделия. Верхний предел цены рассчитывается по формуле

Цmax = Цан•a ± DЭ,

где Цан – действующая оптовая цена аналога;

a – показатель качества, используемый для приведения сравниваемых вариантов к тождественному эффекту;

DЭ – экономия затрат (или дополнительные расходы) потребителя новой техники, a определяется как произведение частных качественных показателей по производительности, безотказности (сроку службы) и другим параметрам.

Если новое изделие, материал будет применяться в других отраслях экономики, то необходимо к производственной цене добавить наценку сбытовых организаций и налог на добавленную стоимость – НДС (18% от производственной цены), тогда получится отпускная цена изделия. Часто разрабатываемое изделие предполагается использовать для личных нужд населения, которые реализуются через розничную сеть торговли. Для таких видов изделий необходимо рассчитать розничную цену, которая определяется путем добавления к оптовой цене торговых наценок (25–30% от отпускной цены изделия).

Структурная схема ценообразования изделий представлена в табл. 3.5.

Методы укрупненного расчета себестоимости
и отпускной цены предприятия

Если количество деталей, узлов и блоков разрабатываемого изделия велико и детально не разработаны технология изготовления и конструкция, допускается расчет себестоимости единицы изделия укрупненным методом. На практике используются различные методы укрупненных расчетов себестоимости новых разработок.

Однако более точными и простыми являются структурные методы и поэтому они рекомендуются при дипломном проектировании. Для реализации этих методов необходимо располагать данными о структуре

 

 

Таблица 3.5

Себестоимость Прибыль НДС Наценка сбытовых организаций Торговая наценка
Производственная цена изделия Издержки сбытовых организаций Прибыль сбытовых организаций Издержки торговых организаций Прибыль торговых организаций
Отпускная цена изделия    
Розничная цена изделия
             

прямых затрат на изготовление аналогичных изделий или затрат по этапам разработок, по подразделениям и т. д.

При этом вне зависимости от того, по каким составляющим приводится структура затрат (по статьям калькуляции, по этапам разработок или по распределению затрат по подразделениям), необходимо наличие установленных и практически неизменных соотношений между различными статьями калькуляции, стоимости выполнения отдельных этапов разработки и затрат по отдельным подразделениям. Структурные методы определения себестоимости позволяют на основании известных или полученных по отдельным расчетам абсолютных затрат по одной из составляющих определить остальные, а также суммарные затраты.

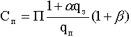
Например, определив подетальным методом стоимость готовых изделий и полуфабрикатов, можно рассчитать полную себестоимость изделия по формуле

С = [М + П + З(1 + a)](1 + b),

где М – стоимость основных материалов;

П – стоимость покупных изделий и полуфабрикатов;

З – заработная плата производственных рабочих;

a – коэффициент, учитывающий величину накладных расходов;

b – коэффициент, учитывающий величину внепроизводственных расходов.

Относительная величина накладных расходов α и величина внепроизводственных расходов β принимаются по данным завода, на котором предполагается изготовление новой проукции, аппаратуры или производится аналогичная аппаратура. Если завод-изготовитель неизвестен, то принимаются следующие значения коэффициентов:

a = 2,2 – 2,5;

b = 0,05 – 0,15.

Как было отмечено, при использовании этого метода определения себестоимости подробный расчет величин абсолютных затрат обычно ведется по статье «Покупные изделия и полуфабрикаты». По спецификациям к материала, изделия и действующим ценам определяется стоимость покупных изделий и полуфабрикатов П с добавлением транспортно-заготовительных расходов (13–15% от их стоимости).

Затраты на основные материалы М и заработную плату производственных рабочих З определяют с учетом структуры прямых затрат и удельного веса этих элементов по формулам

,

где qм, qп, qз – удельный вес затрат соответственно на материалы, покупные изделия и полуфабрикаты, заработную плату

(qм + qп + qз = 1).

Таким образом, полная себестоимость определяется по формуле

.

 

При необходимости перехода от полной себестоимости к оптовой или розничной цене можно использовать схему ценообразования, приведенную в табл. 3.5.

Вне зависимости от того, каким методом рассчитана себестоимость изготовления нового изделия, необходимо проанализировать полученные результаты, сопоставив структуру затрат аналога и новой разработки. Необходимо выявить, за счет каких статей затрат получены отклонения в размере и структуре себестоимости, и причины, вызвавшие отклонения. В итоге должны быть указаны возможные пути дальнейшего снижения себестоимости нового изделия.

Расчет инвестиций на разработку нового материала, техники

К инвестициям (единовременным затратам, капитальным вложениям) по созданию нового материала, техники относятся все предпроизводственные затраты, т. е. затраты на научно-исследовательские, опытно-конструкторские разработки (НИОКР) и освоение производства (ОП) новой техники (нового изделия).

Учитывая то, что единовременные затраты значительно опережают по времени текущие затраты на производство новых изделий, для определения суммарных (приведенных) затрат необходимо учитывать фактор времени. Для этого затраты, осуществляемые до начала расчетного года (года производства новых изделий), необходимо умножить на коэффициент приведения at = (1+Ен)t, где Ен – норма дисконта; t – число лет, отделяющее затраты и результаты данного (расчетного) года, а затраты будущих периодов приводятся к начальному моменту делением их величины на αt. Величина at = (1+Ен)t называется коэффициентом дисконтирования и используется для приведения разновременных затрат к текущему моменту. С помощью этого коэффициента дается количественная оценка различного распределения во времени капитальных вложений и выявляются результаты от их «замораживания».

1+r p

Ен = (-------- - 1) + --------

1+J 100

где г - ставка рефинансирования, объявленная ЦБ РФ на данный период; j-темп инфляции, объявленный Правительством РФ на данный период; р - поправка на предпринимательский риск в зависимости от целей проекта. Величина р может быть принята по таблице.

Таблица

 

. Ориентировочные значения премии за риск неполучения доходов, предусмотренных проектом

 

Величина риска Пример цели проекта Премия за риск, %
Низкий Вложения в развитие производства на базе освоенной техники 3-5
Средний Увеличение объемов продаж существую­щей продукции 8-10
Высокий Производство и продвижение на рынок нового продукта 13-15
Очень высокий Вложения в инновации 18-20

 

 

Логика обоснования учета фактора времени в самом общем плане может быть приведена к следующему: капиталовложения (единовременные затраты) К при производительном использовании в течение года должны дать инвестору доход в размере ЕК, где Е – оценочный коэффициент, показывающий величину возмещения за год от суммы затраченных средств. В условиях рыночной экономики Е принимается равной или чуть больше банковской ставки по депозитным вкладам. При дипломном проектировании Ен можно расчитать. Так как капиталовложения не дают эффекта, они связаны, «заморожены» на период создания и освоения новых изделий, инвестор теряет ежегодно от отвлечения средств из оборота Ен в год от размера этих средств.

Вместе с первоначальными капиталовложениями через год эта величина будет составлять К+КЕн = К(1+Ен), через два года – К(1+Ен)2, через t лет – К(1+Ен)t, т. е. в случае «замораживания» средств за основу для производительного использования принимается первоначальная сумма с учетом ее возрастания за предшествующий период на коэффициент (1+Ен). Следовательно, капитальные вложения, осуществленные сегодня (К), имеют такой эквивалент в будущем: К(1+Ен)t, где t – число лет, в течение которых первоначально затраченные средства находились в «замороженном» состоянии.

Учет фактора времени осуществляется по принципу сложных процентов и делается исходя из условного допущения, что каждый рубль затрат сам по себе дает эффект в расчете за год в Ен руб., далее, что этот эффект «капитализируется» и в свою очередь как производственный фонд (новая техника) дает такой же эффект.

Исходя из сказанного можно определить суммарные (приведенные) затраты на создание новой техники по формуле

З = С + Ен•К,

где С – текущие затраты на производство нового изделия (полная себестоимость изготовления);

Ен – нормативный коэффициент эффективности;

К – единовременные затраты на разработку новой техники

(НИОКР и ОП), рассчитанные с учетом фактора времени (периода их «замораживания»).

Расчет экономической эффективности
нового материала, изделия

Расчет экономической эффективности проектируемого изделия является важнейшей составной частью технико-экономических расчетов. При выполнении конструкторско-технологических тем чаще определяется сравнительная экономическая эффективность.

Методические принципы оценки эффективности решений и разработок в процессе дипломного проектирования отражают сложившиеся в мировой практике подходы к оценке инвестиционных проектов.

Оценка эффективности проектных решений в большинстве случаев осуществляется сравнением их с альтернативными вариантами: базовыми (существующими) либо конкурентными (проектируемыми или имеющимися в проекте).

Для оценки эффективности используется система показателей - выраженное в разной форме соотношение ЗАТРАТ и РЕЗУЛЬТАТОВ. Затраты (инвестиции), как было отмечено выше, подразделяются на единовременные (капиталообразующие) и текущие (эксплуатационные) издержки.

Результаты реализации проектных решений включают доходы (выручку) от реализации работ, услуг, оказываемых с помощью разработки новой техники, других технических решений, рассмотренных в дипломном проекте.

Для оценки эффективности проекта, сравнения вариантов и выборе предпочтительного из них рекомендуются следующие показатели:

  • чистый дисконтированный доход – ЧДД;
  • индекс доходности – ИД;
  • внутренняя норма доходности ВНД
  • срок окупаемости – Ток.

 

Дисконтированиеметод приведения к одному моменту времени разновременных денежных поступлений и выплат, генерируемых рассматриваемым проектом в течение рас- II четного периода.

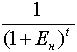
Технически приведение денежных потоков, имеющих ме­сто на t-м интервале расчетного периода, к базисному (на­чальному) моменту времени выполняется путем их умноже­ния на соответствующий коэффициент дисконтирования a t, определяемый по одной из следующих формул:

для постоянной нормы дисконтирования (Et = Е = const)

at = 1/(1+Е)t

для переменной нормы дисконтирования (Et -» var)

at =-----------------------------------------

(1 + E1)x(l + E2)x...x(l + Et)

Норма дисконтированияминимально допустимая для инвестора величина дохода в расчете на единицу капитала, вложенного в реализацию проекта.

Итак, экономическое содержание нормы дисконтирова­ния (синонимы — норма дисконта, норма эффективности, барьерная ставка) состоит в том, что она отражает мини­мально допустимую для инвестора величину дохода в расчете на единицу авансированного капитала. Инвестор, по сути дела, исходит из допущения о том, что у него всегда найдутся альтернативные проекту возможности вложения временно свободных денежных средств с доходностью, равной норме дисконтирования.

Использование дисконтирования дает возможность привмести разновременные затраты и результаты, осуществляе­мые и получаемые в ходе реализации проекта, к сопостави­мому виду. Необходимость такого приведения основана на констатации того очевидного факта, что ценность эквива­лентных денежных средств, получаемых в различные момен­ты времени, неодинакова.

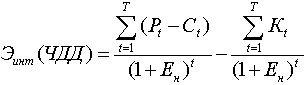
Чистый дисконтированный доход (интегральный эффект, чистая текущая стоимость, чистая приведенная ценность), определяется как сумма текущих (годовых) эффектов за весь расчетный период, приведенных к начальному моменту или как превышение интегральных результатов над интегральными затратами:

,

где t – номер шага (года, месяца) расчета (t = 1,2,3…Т);

Т – горизонт расчета;

Рt, Зt – результаты и затраты на шаге t соответственно.

Если Эинт (ЧДД) положителен, то проект является эффективным (при конкретной норме дисконта Ен = 0,15) и может рассматриваться вопрос о его реализации. Чем больше Эинт, тем эффективнее проект.

На практике удобнее пользоваться модифицированной формулой для определения Эинт. Для этого из состава затрат Зt выделяются единовременные капиталовложения Кt, тогда оставшиеся текущие издержки обозначим Сt:

Индекс доходности (индекс прибыльности) представляет отношение суммы приведенных эффектов к величине приведенных капиталовложений:

.

Индекс доходности показывает относительную прибыльность единовременных капитальных вложений. Для признания проекта эффективным ИД должен быть больше 1.

3. Внутренняя норма доходности является наиболее сложным показате­лем оценки эффективности реальных инвестиционных проектов. Она характери­зует уровень доходности конкретного инвестиционного проекта, выражаемый дисконтной ставкой, по которой будущая стоимость чистого денежного потока приводится к настоящей стоимости инвестиционных затрат. Внутреннюю норму доходности можно охарактеризовать и как дисконтную ставку, по которой чистый приведенный доход в процессе дисконтирования будет приведен к нулю.

Внутренняя норма доходности (ВНД) определяется исходя из решения следующего уравнения:

 

Т Т

∑ (Rt – Зt) / (1+ Евн)t = ∑ Kt / (1+ Евн)t

t=1 t=1

 

 

где, ЕВн — внутренняя норма доходности проекта, которую необ­ходимо определить.

Внутренняя норма доходности характеризует максимальную отдачу, которую можно получить от проекта, т. е. ту норму прибы­ла вложенный капитал, при которой чистый дисконтированный доход по проекту равен ²耀лю. При этом внутренняя норма доходности представляет собой предельно допустимую стоимость денежных средств (величину процентной ставки по кредиту, раз­мер дивидендов по эмитируемым акциям и т. д.), которые могут привлекаться для финансирования проекта.

Практически вычисление величины ВНД производится мето­дом последовательных приближений с помощью программных средств типа электронных таблиц.

В этом случае при ставке дисконта Евн чистый дисконтированный до­ход (ЧДД) окажется равным нулю.

Правило: если ВНД равна или больше требуемой инвестором нормы дохо­да на капитал, то инвестиции в данный инвестиционный проект оправданны.

 

Срок окупаемости (СО) (период полного возмещения) – Ток представляет период времени от начала осуществления проекта до момента, когда нарастающий интегральный эффект полностью покроет капитальные вложения:

Срок окупаемостиявляется одним из наиболее распространенных и по­нятных показателей оценки эффективности инвестиционного проекта. Срок оку­паемости проекта - время, за которое поступления от производственной дея­тельности предприятия покроют затраты на инвестиции. Измеряется СО в годах или месяцах. Показатель „срока окупаемости" используется обычно для сравни­тельной оценки эффективности проектов, но может быть принят и как критери­альный (в этом случае инвестиционные проекты с более высоким периодом оку­паемости будут предприятием отвергаться). Основным недостатком этого показа­теля является то, что он не учитывает те объемы чистого денежного потока, кото­рые формируются после периода окупаемости инвестиционных затрат. Так, по инвестиционным проектам с длительным сроком эксплуатации после периода их окупаемости может быть получена большая сумма чистого денежного потока, чем по инвестиционным проектам с коротким сроком эксплуатации (при аналогичном и даже более быстром периоде окупаемости последних).

Результаты и затраты, связанные с осуществлением проекта, можно вычис­лить с дисконтированием или без него. Соответственно получается два различных срока окупаемости. Срок окупаемости рекомендуется определять с ис­пользованием дисконтирования:

 

СО = К/ Эгод

 

где Э год_ дисконтированный доход одного периода, принимаемый как годовая величина экономии при реализации проектных решений:

 

При определении Эинт (ЧДД) возможны случаи, когда результаты по сравниваемым вариантам равны друг другу т. е. Р1 = Р2, или невозможна оценка результатов в стоимостном выражении. В зависимости от соотношения результатов по сравниваемым вариантам возможны различные методы расчета ЧДД. Схема выбора метода расчета ЧДД приводится на рис. 3.1.

При дипломном проектировании возможны случаи, когда имеет место различное или равномерное распределение результатов (Р) и затрат (З) по годам расчетного периода, поэтому при определении Эинт (ЧДД) применяются различные формулы (в зависимости от метода определения ЧДД), которые приведены в табл. 3.7.

 

Таблица 3.7

В приведенных формулах:

Рt, Зt – стоимостная оценка результатов и затрат в t-году;

– коэффициент дисконтирования для приведения разновременных затрат и результатов к расчетному году t;

Т – жизненный цикл новой техники;

З′t1 – затраты по варианту 1 с учетом приведения сравниваемых вариантов к сопоставимому виду;

Рг, Зг – неизменная по годам расчетного периода стоимостная оценка результатов и затрат;

Nа – норма амортизации (рассчитывается как величина, обратная сроку службы техники);

З′г1 – годовые затраты по базовому (первому) варианту с учетом приведения сравниваемых вариантов к сопоставимому виду.

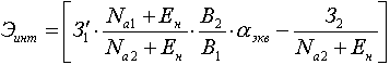
Как было отмечено выше, при втором методе оценки эффективности проектных решений необходимо сравниваемые варианты привести к сопоставимому виду по производительности, надежности, качественным параметрам и т. д. Эинт с учетом приведения сравниваемых вариантов к сопоставимому виду по каждому периоду t рассчитывается по формуле

,

где – коэффициент учета изменения срока службы нового изделия по сравнению с базовым (варианта 2 с вариантом 1);

– коэффициент учета роста производительности единицы нового изделия по сравнению с базовым;

aэкв – коэффициент эквивалентности по другим качественным параметрам.

Правомерность сложения величин Nа (нормы амортизации) и Ен определяется тем, что обе величины служат источником возмещения приведенных затрат (инвестиций), т. е. суммарная доля ежегодного возмещения затрат составит Nа + Ен, иначе говоря это сумма «дисконтирующих множителей», позволяющих определить срок возмещения основных производственных фондов, который можно рассматривать как экономически оправданный срок службы новой техники с учетом морального износа.

Поэтому отношение «дисконтирующих множителей» характеризует изменение срока службы сравниваемых вариантов. показывает, какое количество базовой техники необходимо для замены одной единицы техники нового образца.

Изменение производительности (мощности, пропускной способности) новой техники , где В1 и В2 характеризуют годовой объем продукции (работы, услуг), производимой при использовании единицы образца сравниваемых изделий в натуральном выражении соответственно нового и базового образца.

При расчете экономического эффекта важное значение имеет учет качественных показателей, однако улучшение ряда технических и эксплуатационных параметров (например, достоверность, точность, стабильность, избирательность, производственные шумы и т. д.) учесть прямым счетом не представляется возможным. Для этой цели рекомендуется исчислять комплексный показатель качества – коэффициент эквивалентности (aэкв).

aэкв исчисляется отдельно для каждого вида нового материала, техники экспертным порядком по комплексу качественных показателей (параметров) с применением баллового метода по форме, приведенной в табл. 3.8.

Таблица 3.8

Показатель качества, ед. измерения Значение уровня показателей по вариантам Соотношение показателей по вариантам Значимость показателей, баллы Нормируемый коэффициент весомости αэкв (гр.5 x гр.6)
базового нового
             

Оценка показателей качества проводится экспертной комиссией. При выборе показателей качества необходимо, чтобы они отражали суть отличия нового проекта от старого (базового), учитывали изменения параметрических свойств, которые невозможно учесть другим путем (количественно, в единовременных или текущих затратах).

Для каждого из выбранных показателей определяется значимость, оцениваемая в баллах. Наиболее важному показателю дается оценка 1, а остальные показатели оцениваются в долях меньше единицы. Коэффициент весомости для каждого показателя находится как его удельный вес в общей сумме (равной 1 или 100%). aэкв для каждого показателя определяется умножением величины соотношения показателей в натуральном измерении на нормируемый коэффициент весомости. Сумма aэкв по всем показателям отражает качественные преимущества проектируемого варианта по сравнению с базовым.

Затраты по базовому варианту З1, умноженные на коэффициенты по производительности, сроку службы и эквивалентности по качеству способствуют приведению всех издержек по базовому варианту в сопоставимый вид с издержками по новой техники. Иначе говоря, сравниваемые варианты приведены к тождеству.

Делением З2 на Nа2н мы учитываем эффект, получаемый потребителем новой техники за весь экономически оправданный срок службы.

Стоимостная оценка результатов (Рt и Рг) производится с учетом объема выпуска новой техники – N, производительности (мощности, пропускной способности) новой техники – В и цены (тарифа) единицы продукции (услуг), производимой с помощью новой техники, – Ц, т. е.

Р = N•В•Ц.

Анализ технико-экономических показателей нового изделия

Всесторонний анализ достигнутых технико-экономических показателей (ТЭП) – обязательная и неотъемлемая заключительная часть любой разработки.

Каждый проектируемый объект характеризуется большим числом самых различных показателей. Естественно, что исчерпывающая оценка достигнутого технико-экономического уровня проектируемого объекта не может быть основана на анализе какого-то отдельного или ограниченного круга показателей. По различным показателям могут иметь место и, как правило, имеют разные тенденции. Явный выигрыш по одним показателям может сочетаться с проигрышем по другим показателям. Так например, очень часто уменьшение габаритов, снижение массы может вызывать ухудшение теплообмена, повышение производительности часто связано с увеличением затрат и т. п.

Поэтому для полного анализа необходимо иметь для сравнения не один, а определенную систему показателей, характеризующую разные стороны проектируемого объекта. При этом определяющей является итоговая, интегральная оценка, охватывающая все стороны, характеризующие проектируемый объект, и по возможности с охватом всех стадий «жизненного цикла» (исследование, разработка, освоение и использование вплоть до снятия с эксплуатации по причинам физического или морального износа) изделия.

Метод, позволяющий осуществить широкий многосторонний анализ эффективности нового изделия, назван комплексным, так как он исходит из многообразия, взаимосвязи и единства технических, эксплуатационных и экономических факторов. Этот метод связан с системным подходом, при котором изделия новой техники рассматриваются во взаимосвязи со всеми техническими устройствами, составляющими единую замкнутую функционирующую систему.

Нельзя подходить изолированно к определению технико-экономической эффективности разрабатываемого изделия без рассмотрения всей замкнутой системы в целом.

Основным методом технико-экономического анализа является сопоставление (сравнение) достигнутых уровней технико-экономических показателей разрабатываемого изделия с показателями аналога (базового варианта), с требованиями, предусмотренными техническим заданием на разработку, или с установленными отраслевыми нормативами, нормами и стандартами (ГОСТ, ОСТ, ТУ).

Методика выбора аналога для сравнения была изложена выше. К сказанному следует добавить, что сравнение должно проводиться с лучшими, внедренными в РФ, или зарубом материалами, техникой, а также с лучшей, разработанной в проектах и апробированной техникой, материалами.

Базовый вариант и разрабатываемое изделие обязательно должны иметь одинаковое назначение и использоваться для достижения одной и той же цели.

Выделение ведущего параметра помогает сделать правильный выбор аналога для сравнения, так как ведущий параметр определяет цель разработки и ее применение. Необходимо указать, что имеют место случаи, когда налицо несколько аналогов и среди них необходимо выбрать один для сравнения с новой разработкой. За аналог в этом случае должен быть выбран прибор (устройство, система), который имеет параметры, наиболее близкие к проектируемому. Если же и таких материалов, приборов окажется несколько, то за аналог выбирается материал, прибор, обеспечивающий минимум приведенных затрат.

Все ТЭП, используемые для анализа, с некоторой долей условности могут быть подразделены на следующие пять групп.

1.Технические показатели – целевые и общетехнические (основное и дополнительное предназначение, основные входные и выходные параметры, их точность, виды работы, производительность, технический уровень по ведущим параметрам и др.).

2.Конструкторская характеристика (основные конструкторские показатели, расчлененность изделия, элементная база, габариты, масса, надежность, долговечность, соотношение элементов конструкции по назначению, преемственность конструкции, унификация, стандартизация, плотность компоновки, сроки технической подготовки производства, эстетика и др.).

3.Технологическая характеристика (оценка технологичности, применяемость материалов, типизация технологических процессов, прогрессивные методы технологии, трудоемкость изготовления и др.)

4.Эксплуатационные показатели (эксплуатационная надежность, ремонтопригодность, ремонтодоступность, условия обслуживания, эргономика, техника безопасности и др.).

5.Экономические показатели (себестоимость изготовления и эксплуатации, структура издержек, удельные показатели, экономический эффект, экономическая эффективность, эффективность повышения качества, сроки реализации разработки, срок окупаемости, оптовая цена. Пофакторный анализ: сокращение срока подготовки производства, уменьшение объема конструкторско-технологических работ, повышение серийности, снижение трудоемкости, себестоимости, уменьшение брака, улучшение качества, сокращение длительности производственного цикла, повышение ритмичности, повышение производительности труда, экономия материалов, снижение объема оборотных средств, улучшение условий труда, улучшение социальных факторов и др.).

Примерный перечень ТЭП приводится в прил. 2. Из общей массы ТЭП для конкретного анализа отбираются наиболее характерные для данного изделия.







Date: 2015-05-22; view: 2584; Нарушение авторских прав



mydocx.ru - 2015-2026 year. (2.533 sec.) Все материалы представленные на сайте исключительно с целью ознакомления читателями и не преследуют коммерческих целей или нарушение авторских прав - Пожаловаться на публикацию