Главная Случайная страница


Полезное:

Как сделать разговор полезным и приятным Как сделать объемную звезду своими руками Как сделать то, что делать не хочется? Как сделать погремушку Как сделать так чтобы женщины сами знакомились с вами Как сделать идею коммерческой Как сделать хорошую растяжку ног? Как сделать наш разум здоровым? Как сделать, чтобы люди обманывали меньше Вопрос 4. Как сделать так, чтобы вас уважали и ценили? Как сделать лучше себе и другим людям Как сделать свидание интересным?


Категории:

АрхитектураАстрономияБиологияГеографияГеологияИнформатикаИскусствоИсторияКулинарияКультураМаркетингМатематикаМедицинаМенеджментОхрана трудаПравоПроизводствоПсихологияРелигияСоциологияСпортТехникаФизикаФилософияХимияЭкологияЭкономикаЭлектроника






Распад глюкозы





Распад глюкозы возможен двумя путями. Один из них заключается в распаде шестиуглеродной молекулы глюкозы на две трехуглеродные молекулы. Этот путь называется дихотомическим распадом глюкозы. При реализации второго пути происходит потеря молекулой глюкозы одного атома углерода, что приводит к образованию пентозы; этот путь носит название апотомическо-го распада.

Дихотомический распад глюкозы может происходить как в анаэробных (без присутствия кислорода), так и в аэробных (в присутствии кислорода) условиях. При распаде глюкозы в анаэробных условиях в результате процесса молочнокислого брожения образуется молочная кислота. Иначе этот процесс называется гликолизом (от греч. glicos - сладкий, lysis - растворение).

Отдельные реакции гликолиза катализируют 11 ферментов, образующих цепь, в которой продукт реакции, ускоряемой предшествующим ферментом, является субстратом для последующего. Гликолиз условно можно разбить на два этапа. В первом этапе происходит затрата энергии, второй этап, наоборот, характеризуется накоплением энергии в виде молекул АТФ.

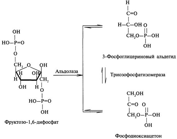
Первой реакцией гликолиза является фосфорилирование глюкозы с образованием глюкозо-6-фосфата. Глюкозо-6-фосфат далее изомеризуется во фруктозо-6-фосфат, который фосфорилируется до фруктозе-1,6-дифосфата. Следующей реакцией является лиазное расщепление фруктозо-1,6-дифосфата до двух триоз-3-фосфоглицеринового альдегида и фосфодиоксиацетона. Образованием этих триоз заканчивается первый этап гликолиза:

 

 

 

Во второй этап гликолиза вступают 2 молекулы 2-фосфоглицеринового альдегида, одна из которых образуется непосредственно при расщеплении фруктозо-1,6-дифосфата, а другая при изомеризации фосфодиоксиацетона.

Второй этап гликолиза открывается реакцией окисления 3-фосфоглицеринового альдегида, катализируемой специфической дегидрогеназой, содержащей в активном центре свободную сульфгидрильную (HS-) группу и кофермент НАД. В результате образуется 1,3-дифосфоглицериновая кислота. Далее происходит перенос фосфатной группы на молекулу АДФ; таким образом происходит запасание энергии в макроэргических связях молекулы АТФ. Поскольку в гликолизе образуются 2 молекулы 1,3-дифосфоглицериновой кислоты, то и возникают 2 молекулы АТФ. Изомеризация предыдущего метаболита в 2-фосфоглицериновую кислоту необходима для протекания реакции дегидратации, ускоряемой соответствующей лиазой, с образованием макроэргического соединения - фосфоенолпировиноградной кислоты, которая далее отдает фосфатную группу на молекулу АДФ. В результате образуется по 2 молекулы АТФ и пировиноградной кислоты (ПВК). Заключительной реакцией этого метаболического пути является молочная кислота, которая образуется при восстановлении пировиноградной кислоты:

 

 

Бо́льшая часть молочной кислоты, образующейся в мышце, вымывается в кровяное русло. Изменению рН крови препятствует бикарбонатная буферная система: у спортсменов буферная емкость крови повышена по сравнению с нетренированными людьми, поэтому они могут переносить более высокое содержание молочной кислоты. Далее молочная кислота транспортируется к печени и почкам, где она почти полностью перерабатывается в глюкозу и гликоген. Незначительная часть молочной кислоты вновь превращается в пировиноградную кислоту, которая в аэробных условиях окисляется до конечных продуктов обмена.

Аэробный обмен ПВК. В аэробных условиях пировиноградная кислота окисляется; этот процесс называется окислительным декарбоксилированием пировиноградной кислоты. Катализирует этот процесс мультиэнзимный комплекс, который называется пируватдегидрогеназным комплексом. В состав этого комплекса входят три фермента и пять коферментов.

Первый этап аэробного превращения ПВК заключается в ее декарбоксилировании, катализируемом пируватдекарбоксилазой (E1), коферментом которой является тиаминпирофосфат. В результате образуется оксиэтильный радикал, ковалентно связанный с коферментом.

Фермент, ускоряющий второй этап окислительного декарбоксилирования ПВК, - липоат-ацетилтрансфераза содержит в своем составе два кофермента: липоевую кислоту и коэнзим A (KoASH). Происходит окисление оксиэтильного радикала в ацетильный, который сначала акцептируется липоевой кислотой, а затем переносится на KoASH. Результатом второго этапа является образование ацетил-КоА и дегидролипоевой кислоты:

 

Заключительную стадию окислительного декарбоксилирования ПВК катализирует дигидролипоилдегидрогеназа, коферментом которой является ФАД. Кофермент отщепляет два атома водорода от дигидролипоевой кислоты, тем самым воссоздавая первоначальную структуру данного кофермента:


Конечным акцептором атомов водорода является НАД:

ФАД · 2Н + НАД+ → ФАД + НАДН + Н+

Суммарная схема процесса может быть представлена в виде:

Ацетил-КоА представляет собой соединение с макроэргической связью, иначе его можно назвать активной формой уксусной кислоты. Освобождение коэнзима А от ацетильного радикала происходит при включении его в амфиболический цикл, который называется циклом ди- и трикарбоновых кислот.

Цикл ди- и трикарбоновых кислот. Этот амфиболический цикл называют циклом Кребса в честь Г. Кребса (лауреата Нобелевской премии 1953 г.), определившего последовательность реакций в этом цикле.

В результате функционирования цикла Кребса происходит полный аэробный распад ацетильного радикала до углекислого газа и воды (схема 2). Цикл Кребса можно рассматривать как путь углеводного обмена, однако его роль в метаболизме гораздо шире. Во-первых, он выступает в роли центрального метаболического пути углерода, входящего в состав всех основных классов биологических молекул, во-вторых, совместно с процессом окислительного фосфорилирования обеспечивает основной источник метаболической энергии в форме АТФ.

Ферменты цикла ди- и трикарбоновых кислот, ускоряющие единый многоступенчатый процесс, локализованы во внутренней мембране митохондрий.

 

---
Схема 2. Цикл Кребса

Рассмотрим конкретные реакции цикла Кребса.

Превращения ацетил-КоА начинаются с реакции конденсации его со щавелевоуксусной кислотой, в результате которой образуется лимонная кислота. Эта реакция не требует расхода АТФ, так как необходимая для этого процесса энергия обеспечивается гидролизом тиоэфирной связи с ацетил-КоА, которая, как мы уже отмечали, является макроэргической:

 

Далее происходит изомеризация лимонной кислоты в изолимонную. Фермент данного превращения - аконитаза - сначала дегидратирует лимонную кислоту с образованием цис-аконитовой кислоты, затем присоединяет воду к двойной связи полученного метаболита, образуя изолимонную кислоту:

Изолимонная кислота подвергается окислению при участии специфической дегидрогеназы, коферментом которой является НАД. Одновременно с окислением происходит декарбоксилирование изолимонной кислоты. В результате этих превращений образуется α -кетоглутаровая кислота.

Следующей стадией является окислительное декарбоксилирование α -кетоглутаровой кислоты. Катализируется этот процесс α -кетоглутаратдегидрогеназным комплексом, который аналогичен по структуре и механизму действия пируватдегидрогеназному комплексу. В результате этого процесса образуется сукцинил-КоА:

 

Сукцинил-КоА далее гидролизуется до свободной янтарной кислоты, а выделяющаяся при этом энергия сохраняется путем образования гуанозинтрифосфата (ГТФ). Эта стадия - единственная во всем цикле, в ходе которой прямо выделяется энергия метаболизма:

Дегидрирование янтарной кислоты ускоряет сукцинатдегидрогеназа, коферментом которой является ФАД. Фумаровая кислота, образовавшаяся при дегидрировании янтарной кислоты, гидратируется с образованием яблочной кислоты; заключительным процессом цикла Кребса является дегидрирование яблочной кислоты, катализируемое малатдегидрогеназой; результатом этой стадии является метаболит, с которого и начался цикл ди- и трикарбоновых кислот - щавелевоуксусная кислота:


Апотомический распад глюкозы иначе называется пентозофосфатным циклом. В результате протекания этого пути из 6 молекул глюкозо-6-фосфата распадается одна. Апотомический распад можно разделить на две фазы: окислительную и анаэробную. Рассмотрим отдельные реакции этого метаболического пути.

Окислительная фаза апотомического распада глюкозы. Как и в гликолизе первой стадией является фосфорилирование глюкозы с образованием глюкозо-6-фосфата. Далее глюкозо-6-фосфат дегидрируется с участием глюкозо-6-фосфатдегидрогеназы, коферментом которой служит НАДФ. Образующийся 6-фосфоглюконолактон спонтанно или с участием лактоназы гидролизуется с образованием 6-фосфоглюконовой кислоты. Заключительным процессом окислительной ветви пентозофосфатного цикла является окисление 6-фосфоглюконовой кислоты соответствующей дегидрогеназой. Одновременно с процессом дегидрирования происходит декарбоксилирование 6-фосфоглюконовой кислоты. С потерей одного углеродного атома глюкоза превращается в пентозу:

Анаэробная фаза анатомического распада глюкозы. Рибулозо-5-фосфат, образовавшийся в окислительной фазе, может обратимо изомеризоваться в другие пентозофосфаты: ксилулозо-5-фосфат и рибозо-5-фосфат. Катализируют эти реакции два разных фермента, относящиеся к классу изомераз: пентозофосфат изомераза и пентозофосфат эпимераза. Образование из рибулозо-5-фосфата двух других пентозофосфатов необходимо для осуществления последующих реакций пентозофосфатного цикла, причем требуется две молекулы ксилулозо-5-фосфата и одна молекула рибозо-5-фосфата.

 

Далее идут реакции с участием ферментов трансфераз, переносящих молекулярные остатки - трансальдолазы и транскетолазы. Укажем, какие молекулярные остатки переносят эти ферменты.

Транскетолаза переносит двухуглеродный фрагмент от 2-кетосахара на первый углеродный атом альдозы. Трансальдолаза переносит трехуглеродный фрагмент от 2-кетосахара на первый атом углерода альдозы. В качестве 2-кетосахара используется ксилулозо-5-фосфат и метаболиты, полученные при ее участии.

Рассмотрим некоторые реакции, катализируемые транскетолазой и трансальдолазой.

 

 

 

 

Фруктозо-6-фосфат и 3-фосфоглицериновый альдегид включаются в гликолиз. Оба пути обмена углеводов тесно связаны.

Взаимосвязь гликолиза и пентозофосфатного цикла

Распад глюкозы по апотомическому пути в большей степени наблюдается в жировой ткани, печени, ткани молочной железы, надпочечниках, половых железах, костном мозге, лимфоидной ткани. Низкая активность отмечается в мышечной ткани (сердечной и скелетной мышце).


Биологическое назначение пентозофосфатного цикла связано с образованием восстановленной формы НАДФ и рибозо-5-фос-фата, которые используются в процессах биосинтеза разнообразных биологических молекул. Кроме того, апотомический распад глюкозы выполняет энергетическую функцию, так как некоторыеиз его продуктов, прежде всего 3-фосфоглицериновый альдегид, подключаются к гликолизу.

Биосинтез углеводов. Глюконеогенез- биосинтез глюкозы из неуглеводных источников.

Гликогеногенез - биосинтез гликогена из углеводных источников,он осуществляется практически во всех тканях. В тканях и органах человека происходит синтез сложных углеводов. Строительным блоком (мономерным звеном) для синтеза служит глюкоза. Большая часть глюкозы поступает в организм человека с пищей, однако при длительном голодании может включаться механизм синтеза глюкозы из неуглеводных источников.

Глюконеогенез - процесс новообразования глюкозы из неуглеводных источников. В качестве субстратов глюконеогенеза могут служить аминокислоты, превращающиеся в пировиноградную и в щавелевоуксусную кислоты; такие аминокислоты называются гликогенными. К гликогенным относятся все протеиногенные аминокислоты, кроме лейцина. Также к неуглеводным источникам глюконеогенеза относятся глицерин, кислоты цикла Кребса, молочная кислота. Преобразование всех указанных веществ (кроме глицерина) в глюкозу проходит через стадию пировиноградной и щавелевоуксусной кислот.

Большая часть реакций на пути от пирувата до глюкозы катализируется ферментами гликолиза путем обращения соответствующих реакций. Однако нормальный путь гликолиза ("сверх вниз") включает 4 необратимых этапа, которые не могут быть использованы в глюконеогенезе, идущем "снизу вверх". Это реакции, катализируемые гексокиназой, фосфофруктокиназой, фосфоглицераткиназой и пируваткиназой; в глюконеогенезе эти этапы осуществляются обходными путями.

Превращение ПВК в фосфоенолпировиноградную кислоту происходит через стадию образования щавелевоуксусной кислоты:

Далее фосфоенолпировиноградная кислота превращается в фосфотриозы, которые дают фруктозо-1,6-дифосфат:

 

Для образования фруктозе-1,6-дифосфата требуется две молекулы 3-фосфоглицеринового альдегида, одна из которых превратится в фосфодиоксиацетон при участии фермента триозофосфатизомеразы:

 

Далее из этих двух фосфотриоз образуется фруктозо-1,6-дифосфат. На последних стадиях глюконеогенеза "работают" ферменты фосфатазы, которые не представлены в гликолизе. Это еще один факт, подтверждающий самостоятельность глюконеогенеза:

 

Глюконеогенез - регулируемый процесс, на скорость протекания которого оказывают влияние гормоны. Инсулин тормозит образование углеводов из аминокислот, кортикостероиды, наоборот, стимулируют глюконеогенез.

Столь подробное рассмотрение процесса глюконеогенеза связано с тем, что этот метаболический путь использует молочную кислоту, накапливающуюся в мышцах во время интенсивной мышечной работы. Следовательно, глюконеогенез, протекающий в печени, можно рассматривать как приспособление для разгрузки организма от молочной кислоты, образующейся в мышцах в анаэробных условиях.

Биосинтез гликогена. Иначе биосинтез гликогена называется гликогеногенезом. Он осуществляется практически во всех тканях,

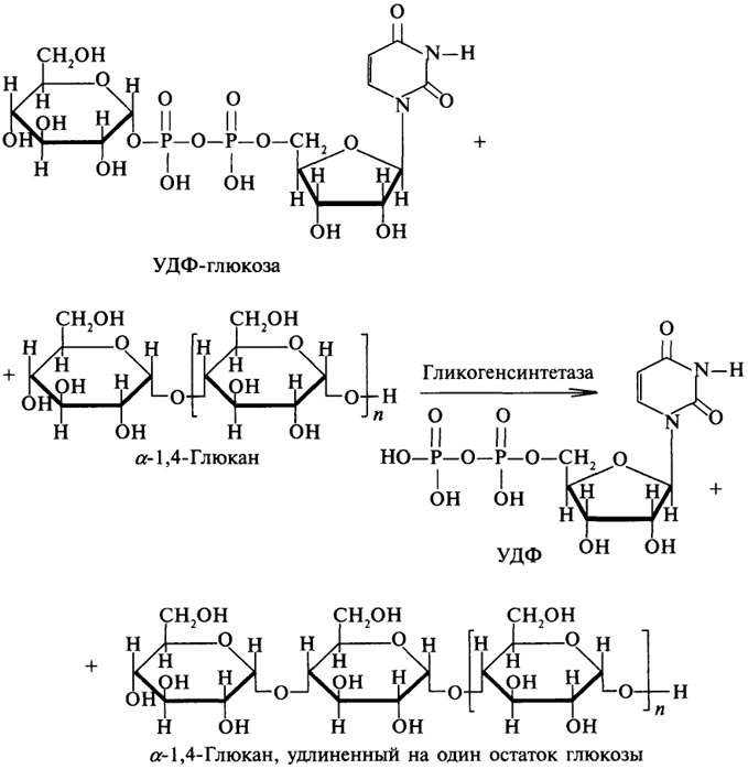
но особенно активно протекает в скелетных мышцах и в печени. Биосинтез гликогена может идти двумя путями. Один из них заключается в переносе олигосахаридных фрагментов с одного полисахарида на существующий фрагмент гликогена, другой - в переносе остатков глюкозы. Источником остатков глюкозы служит уридиндифосфатглюкоза (УДФ-глюкоза), которая образуется из глюкозо-1-фосфата и УТФ при участии фермента глюкозо-1-фосфатуридилтрансферазы:

Глюкозо-1 -фосфат + УТФ → УДФ-глюкоза + Н4Р2О7

Синтез гликогена осуществляет фермент гликогенсинтетаза. Фермент снимает остаток глюкозы с УДФ-глюкозы и переносит его на нередуцирующий конец растущей цепи гликогена:

 

Активность гликогенсинтетазы регулируется за счет реакций фосфорилирования - дефосфорилирования. Активной формой гликогенсинтетазы является ее дефосфорилированная форма. Эти процессы катализируют два фермента: киназа гликогенсинтетазы (1) и фосфатаза гликогенсинтетазы (2).

Гликогенсинтетаза ведет синтез цепи амилозного типа. Разветвленная структура образуется путем переноса полиглюкозидной цепи у α-1,4-глюкана из положения 4 в положение 6. Этот механизм реализуется с помощью фермента, который называется α-1,4-глюканветвящий фермент. Трансгликозилирование, катализируемое этим ферментом, можно схематично представить следующим образом (рис. 13).

Интеграция разных путей обмена углеводов в организме. Интенсивность катаболических и анаболических путей обмена углеводов в разных тканях организма неодинакова и определяется прежде всего особенностями обмена каждой ткани и органа. Если рассматривать организм в целом, то можно выявить некоторую специализацию путей превращения углеводов в отдельных тканях. Такая специализация, несомненно, оправдана, так как отвечает функциональной направленности ткани или органа. Поскольку функционирование отдельных органов обеспечивает жизнедеятельность всего организма, существенным моментом в обмене веществ в целом и в обмене углеводов в частности является интеграция катаболических и анаболических процессов.

Приведем пример. При активной мышечной работе затрачиваются большие количества энергии, которая первоначально извлекается в ходе распада гликогена до молочной кислоты.


Схема действия α-1,4-глюканветвящего фермента.

 

Молочная кислота, как говорилось выше, вымывается в кровь, которая доставляет ее в печень, где происходит синтез глюкозы в ходе глюконеогенеза. Глюкоза из печени переносится кровью в скелетные мышцы, где либо расходуется на образование энергии, либо запасается в виде гликогена. Этот межорганный цикл в обмене углеводов получил название цикла Кори:


Цикл Кори

Функция мышечного гликогена заключается в том, что он является легкодоступным источником глюкозы для самой мышцы. Гликоген печени используется главным образом для поддержания физических концентраций глюкозы в крови в основном в промежутках между приемами пищи. Через 12 - 18 ч после приема пищи запас гликогена в печени почти полностью истощается. Содержание мышечного гликогена заметно снижается только после продолжительной и напряженной физической работы. Повышенное содержание гликогена в мышцах может наблюдаться при диете с высоким содержанием углеводов, если перед этим запасы гликогена были снижены в результате высокой мышечной нагрузки.

 

 







Date: 2015-05-22; view: 4957; Нарушение авторских прав



mydocx.ru - 2015-2026 year. (1.968 sec.) Все материалы представленные на сайте исключительно с целью ознакомления читателями и не преследуют коммерческих целей или нарушение авторских прав - Пожаловаться на публикацию