Главная Случайная страница


Полезное:

Как сделать разговор полезным и приятным Как сделать объемную звезду своими руками Как сделать то, что делать не хочется? Как сделать погремушку Как сделать так чтобы женщины сами знакомились с вами Как сделать идею коммерческой Как сделать хорошую растяжку ног? Как сделать наш разум здоровым? Как сделать, чтобы люди обманывали меньше Вопрос 4. Как сделать так, чтобы вас уважали и ценили? Как сделать лучше себе и другим людям Как сделать свидание интересным?


Категории:

АрхитектураАстрономияБиологияГеографияГеологияИнформатикаИскусствоИсторияКулинарияКультураМаркетингМатематикаМедицинаМенеджментОхрана трудаПравоПроизводствоПсихологияРелигияСоциологияСпортТехникаФизикаФилософияХимияЭкологияЭкономикаЭлектроника






Различия в катаболизме пуриновых и пиримидиновых азотистых оснований





Пиримидиновые азотистые основания подвергаются тотальному разрушению до СО2, Н2О и NH3.

Пуриновые азотистые основания сохраняют циклическую структуру пурина. Конечный продукт: мочевая кислота - вещество пуриновой природы.

 

Аминогруппа азотистых оснований очень легко могут отщепляться гидролитическим путем. Аминогруппа может отщепляться, когда азотистое основание еще находится в составе нуклеозида, мононуклеотида и даже в составе нуклеиновой кислоты. Но поскольку в организме урацил не входит в состав ДНК, то дезаминирование цитозина и превращение его в урацил воспринимается клеткой как ошибка и исправляется.

b-аланин обычно разрушается до CO2, H2O и NH3, но иногда может использоваться для синтеза пептидов карнозина и ансерина в мышечной ткани. У микроорганизмов b-аланин используется и для синтеза HS-КоА. Конечным продуктов распада пиримидиновых азотистых оснований можно считать и мочевину, которая образуется из аммиака по известному механизму, изложенному в теме «Обмен простых белков».

 

Тимин распадается подобно урацилу, но сохраняется CH3-группа, и вместо b-аланина образуется b-аминоизобутират (a-метил-b-аланин). Поскольку тимин встречается только в ДНК, то по уровню b-аминоизобутирата в моче судят об интенсивности распада ДНК.

b-аминоизобутират выводится из организма и определение его количества в моче может использоваться для оценки катаболизма ДНК.

 

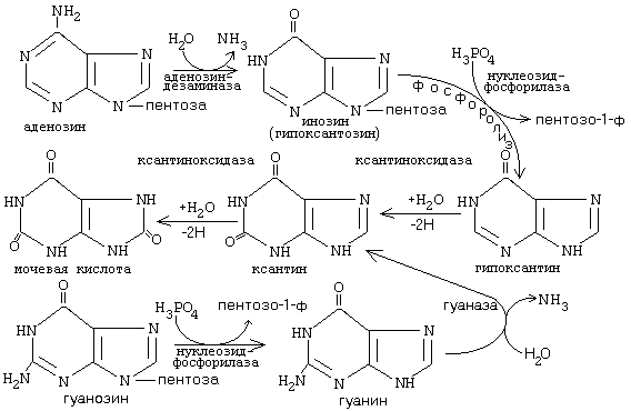
КАТАБОЛИЗМ ПУРИНОВЫХ АЗОТИСТЫХ ОСНОВАНИЙ

Распад начинается с отщепления аминогруппы (ее отщепление также возможно в составе ДНК).

Фермент аденозиндезаминаза иногда образуется в дефектной мутантной форме, что приводит к врожденному иммунодефициту, так как нуклеотиды являются регуляторами функций лейкоцитов. При СПИДе активность этого фермента также значительно снижена.

Образовавшийся инозин подвергается фосфоролизу, и далее гипоксантин подвергается двукратному окислению путем отнятия водорода с одновременным присоединением воды. Эти две одинаковые реакции катализирует один и тот же фермент – ксантиноксидаза. Ксантиноксидаза может существовать в двух формах:

- D-форма – дегидрогеназная

- O-форма – оксидазная

Формы отличаются друг от друга по способности передавать 2 атома водорода. D-форма передает водород на главную дыхательную цепь митохондриального окисления, а O-форма – сразу на кислород с образованием H2O2. D-форма может переходить в О-форму путем ограниченного протеолиза при отщеплении небольшого участка молекулы.

Генетический дефект ксантиноксидазы проявляется ксантинурией и образованием ксантиновых камней в тканях. В этом случае источник ксантина – гуанин, подвергающийся гидролитическому дезаминированию.

Кроме, как у человека, мочевая кислота является конечным продуктом катаболизма пуринов у приматов, птиц, змей и ящериц.

Для других животных пуриновое кольцо подвергается распаду, за исключением долматской собаки.

Мочевая кислота является одним из нормальных компонентов мочи. За сутки в организме образуется около 1 грамма мочевой кислоты. Мочевая кислота выводится из организма с мочой - это обычный ее компонент, но в почках организма человека происходит ее интенсивная реабсорбция. Концентрация мочевой кислоты в крови поддерживается на постоянном уровне 0.12-0.30 ммоль/л.

В организме мочевая кислота существует, как правило, в лактимной форме.

 

Функции мочевой кислоты:

1. Является мощным стимулятором центральной нервной системы, ингибируя фосфодиэстеразу, которая служит посредником действия гормонов адреналина и норадреналина. Мочевая кислота пролонгирует (продлевает) действие этих гормонов на ЦНС.

2. Обладает антиоксидантными свойствами – способна взаимодействовать со свободными радикалами.

 

Уровень мочевой кислоты в организме контролируется на генетическом уровне. Для людей с высоким уровнем мочевой кислоты характерен повышенный жизненный тонус.

Однако повышенное содержание мочевой кислоты в крови (гиперурикемия) небезопасно. Сама мочевая кислота и, особенно, ее соли ураты (натриевые соли мочевой кислоты) плохо растворимы в воде. Даже при незначительном повышении концентрации они начинают начинают выпадать в осадок и кристаллизоваться, образуя камни. Кристаллы воспринимаются организмом как чужеродный объект. В суставах они фагоцитируются макрофагами, сами клетки при этом разрушаются, из них освобождаются гидролитические ферменты. Это приводит к воспалительной реакции, сопровождающейся сильнейшими болями в суставах. Такое заболевание называется подагра. Другое заболевание, при котором кристаллы уратов откладываются в почечной лоханке или в мочевом пузыре, известно как мочекаменная болезнь.

Для лечения подагры и мочекаменной болезни применяются:

· ингибиторы фермента ксантиноксидазы. Например, аллопуринол – вещество пуриновой природы, является конкурентным ингибитором фермента. Действие этого препарата приводит к повышению концентрации гипоксантина. Гипоксантин и его соли лучше растворимы в воде, и легче выводятся из организма.

· диетическое питание, исключающее продукты, богатые нуклеиновыми кислотами, пуринами и их аналогами: икра рыб, печень, мясо, кофе и чай.

· соли лития, поскольку они лучше растворимы в воде, чем ураты натрия.

 







Date: 2015-05-22; view: 780; Нарушение авторских прав



mydocx.ru - 2015-2026 year. (2.434 sec.) Все материалы представленные на сайте исключительно с целью ознакомления читателями и не преследуют коммерческих целей или нарушение авторских прав - Пожаловаться на публикацию