Главная Случайная страница


Полезное:

Как сделать разговор полезным и приятным Как сделать объемную звезду своими руками Как сделать то, что делать не хочется? Как сделать погремушку Как сделать так чтобы женщины сами знакомились с вами Как сделать идею коммерческой Как сделать хорошую растяжку ног? Как сделать наш разум здоровым? Как сделать, чтобы люди обманывали меньше Вопрос 4. Как сделать так, чтобы вас уважали и ценили? Как сделать лучше себе и другим людям Как сделать свидание интересным?


Категории:

АрхитектураАстрономияБиологияГеографияГеологияИнформатикаИскусствоИсторияКулинарияКультураМаркетингМатематикаМедицинаМенеджментОхрана трудаПравоПроизводствоПсихологияРелигияСоциологияСпортТехникаФизикаФилософияХимияЭкологияЭкономикаЭлектроника






Обмен липидов





в процессе пищеварения и всасывание. Липиды — важная составная часть пищи. Взрослому человеку требуется от 70 до 145г жира в сутки в зависимости от трудовой деятельности, пола, климатических условий. Причем необходимы как животные, так и растительные жиры. Липиды являются высокими энергетическими веществами, поэтому за их счет удовлетворяется до 25—30% потребности человеческого организма в энергетическом материале. Кроме того, в составе животных жиров в организм поступают жирорастворимые витамины А, В, К и Е, растительные жиры богаты непредельными жирными кислотами, являющимися предшественниками простагландинов, исходным материалом для синтеза организмом фосфолипидов и других веществ.

Переваривание жира начинается в желудке, где находится малоактивный фермент желудочная липаза, однако ее роль в гидролизе пищевых триглицеридов у взрослых людей невелика. Во-первых, в желудочном соке взрослого человека и других млекопитающих содержание липазы крайне низкое. Во-вторых, рН желудочного сока далек от оптимума действия этого фермента (оптимальное значение рН для желудочной липазы 5,5-7,5). В-третьих, в желудке отсутствуют условия для эмульгирования триглицеридов, а липаза может активно действовать только на триглицериды, находящиеся в форме эмульсии. Поэтому у взрослых людей не эмульгированные триглицериды составляющие основную массу пищевого жира, проходят через желудок без особых изменений. Вместе с тем расщепление триглицеридов в желудке играет важную роль в пищеварении у детей, особенно грудного возраста. Слизистая оболочка корня языка и примыкающей к нему области глотки ребенка грудного возраста секретирует собственную липазу в ответ на сосательные и глотательные движения. Эта липаза получила название лингвальной. Активность лингвальной липазы не успевает проявиться в ротовой полости, основным местом ее действия является желудок. Оптимум рН лингвальной липазы в пределах 4,0-4,5; он близок к величине рН желудочного сока у грудных детей.

Расщепление триглицеридов в желудке взрослого человека невелико, но оно в определенной степени облегчает последующее переваривание в кишечнике. Даже незначительное по объему расщепление триглицеридов в желудке приводит к появлению свободных жирных кислот, которые подвергаясь всасыванию в желудке, поступают в кишечник и способствуют там эмульгированию жиров, облегчая таким образом воздействие на них липазы панкреатического сока.

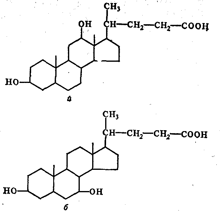
После того как химус попадает в двенадцатиперстную кишку, прежде всего происходит нейтрализация попавшей в кишечник с пищей соляной кислоты желудочного сока бикарбонатами, содержащимися в панкреатическом и кишечном соках. Выделяющиеся при разложении бикарбонатов пузырьки углекислого газа способствуют хорошему перемешиванию пищевой кашицы с пищеварительными соками. Одновременно начинается эмульгирование жира. Наиболее мощное эмульгирующее действие на жиры оказывают соли желчных кислот, попадающие в двенадцатиперстную кишку с желчью в виде натриевых солей. Большая часть желчных кислот конъюгирована с глицином или таурином. По химической природе желчные кислоты являются производными холановой кислоты:

 

 

В желчи в основном содержится холевая, дезоксихолевая и хенодезоксихолевая кислоты:

 

дезоксихолевая

Эти соединения иногда еще называют парными желчными кислотами, т.к. они состоят из двух компонентов – желчной кислоты и глицина или таурина:холевая,таурохолеваягликохолевая

   

Считают, что только комбинация соль желчной кислоты + ненасыщенная жирная кислота + моноглицерид придает необходимую степень эмульгирования жира. Соли желчных кислот резко уменьшают поверхностное натяжение на поверхности раздела жир/вода, благодаря чему они не только облегчают эмульгирование, но и стабилизируют уже образовавшуюся эмульсию.

Основное расщепление липидов происходит в кишечнике, в первую очередь в двенадцатиперстной кишке. В этот отдел кишечника поступает сок поджелудочной железы, содержащий очень активную липазу. Сюда же поступает из желчного пузыря желчь, составные компоненты которой (желчные кислоты) необходимы для переваривания липидов. Это связано с тем, что желчные кислоты—холевая (преобладает в желчи человека), дезоксихолевая, литохолевая, хенодезоксихолевая, таурохолевая и гликохолевая —представляют собой поверхностно-активные вещества, способствующие эмульгированию жиров, что является важнейшим условием их последующего ферментативного расщепления.

Пройдя через барьер слизистой оболочки кишечника, желчные кислоты в связанном состоянии с липидами отделяются от последних и по венам кишечника через портальный кровоток возвращаются в печень, а затем с желчью в двенадцатиперстную кишку.

Образование эмульсии жиров в кишечнике может происходить и под влиянием мелких пузырьков СО2, выделяющегося при нейтрализации соляной кислоты пищевой кашицы бикарбонатами поджелудочного и кишечного сока. Способствуют эмульгированию и соли жирных кислот (мыла), возникающие при гидролизе липидов. Но основная роль в эмульгировании жиров принадлежит желчным кислотам.

В результате описанных процессов образуется очень тонкая жировая эмульсия, диаметр частиц которой не превышает 0,5 мкм. Такие эмульгированные жиры способны самостоятельно проходить через стенку кишечника и попадать в лимфатическую систему. Однако большая часть эмульгированного жира всасывается после гидролитического расщепления его панкреатическими липазами. Последние образуются в поджелудочной железе в виде неактивных проферментов, которые переходят в активную форму при участии мыльных кислот.







Date: 2015-05-22; view: 793; Нарушение авторских прав



mydocx.ru - 2015-2026 year. (0.388 sec.) Все материалы представленные на сайте исключительно с целью ознакомления читателями и не преследуют коммерческих целей или нарушение авторских прав - Пожаловаться на публикацию