Главная Случайная страница


Полезное:

Как сделать разговор полезным и приятным Как сделать объемную звезду своими руками Как сделать то, что делать не хочется? Как сделать погремушку Как сделать так чтобы женщины сами знакомились с вами Как сделать идею коммерческой Как сделать хорошую растяжку ног? Как сделать наш разум здоровым? Как сделать, чтобы люди обманывали меньше Вопрос 4. Как сделать так, чтобы вас уважали и ценили? Как сделать лучше себе и другим людям Как сделать свидание интересным?


Категории:

АрхитектураАстрономияБиологияГеографияГеологияИнформатикаИскусствоИсторияКулинарияКультураМаркетингМатематикаМедицинаМенеджментОхрана трудаПравоПроизводствоПсихологияРелигияСоциологияСпортТехникаФизикаФилософияХимияЭкологияЭкономикаЭлектроника






Классификация липидов





К липидам относят большую группу веществ растительного и животного происхождения. Эти вещества весьма разнородны по составу. Общей характеристикой липидов является их отношение к растворителям – они не растворимы в воде и растворяются в органических растворителях (бензол, диэтиловый эфир). С помощью этих растворителей их выделяют из растительного и животного материала.

Липиды делят на 2 группы по их отношению к гидролизу: омыляемые липиды и неомыляемые липиды. Омыляемые липиды гидролизуются в кислой и щелочной средах. При гидролизе в щелочной среде образуются соли высших карбоновых кислот (мыла), глицерин и другие компоненты.

В состав омыляемых липидов входят различные карбоновые кислоты от С4 до С28, в основном монокарбоновые кислоты с неразветвленной цепью и чётным числом атомов углерода, что определяется особенностями биосинтеза. Наиболее распространены кислоты С16 и С18. Например, насыщенная – пальмитиновая к-та и ненасыщенные.

 

 

В живых организмах омыляемые липиды выполняют несколько важных функций. В них запасается энергия, высвобождаемая при окислительном расщеплении. Другой функцией омыляемых липидов является защитная функция. Вместе с белками являются основными структурными элементами клеточных мембран.

 

Омыляемые липиды можно разделить на простые и сложные. Простые состоят только из спиртов и высших жирных кислот: воски, жиры, масла, церамиды.

Воски - сложные эфиры высших жирных кислот и высших одноатомных или двухатомных спиртов с числом углеродных атомов от 16 до 22. Общие формулы можно представить так:

 

О о

Воски могут входить в состав жира, покрывающего кожу, шерсть, перья.

Так пчелиный воск состоит в основном из цетилового эфира и пальмитиновой кислоты.

Например:

 

 

Жиры и масла (растительные жиры) представляют собой эфиры глицерина и высших жирных кислот, то есть это триацилглицерины. Простые: триацилглицирины содержат остатки одинаковых кислот, а смешанные – остатки различных кислот. Твердые триацилглицерины содержат остатки насыщенных кислот, а жидкие – ненасыщенные карбоновые кислоты. Например:

 

При гидролизе сложных липидов образуются глицерин, сфингозин, карбоновые кислоты и другие вещества

Человеческий организм способен синтезировать насыщенные, а также ненасыщенные карбоновые кислоты. Однако линолевую, линоленовую и арахидоновую кислоты организм должен получать с пищей, в основном с растительными маслами. Эти кислоты называются незаменимыми. Они выполняют ряд важных функций, в частности являются предшественниками синтеза простагландинов, важнейших гормональных биорегуляторов. Важной характеристикой липидов является йодное число- количества J2 в г. которое способно присоединять 100 г жира.

2. Сложные липиды:

- Фосфолипиды: липиды, содержащие, помимо жирных кислот и спирта, остаток фосфорной кислоты. В их состав часто входят азотистые основания и другие компоненты: глицерофосфолипиды (в роли спирта выступает глицерол); сфинголипиды (в роли спирта - сфингозин).

-Гликолипиды (гликосфинголипиды).

-Стероиды.

-Другие сложные липиды: сульфолипиды, аминолипиды. К этому классу можно отнести и липопротеины.

Фосфолипидыпредставляют собой сложные эфиры многоатомных спиртов: глицерина или сфингозина с высшими жирными кислотами и фосфорной кислотой. В состав фосфолипидов входят также азотсодержащие соединения: холин, этаноламин или серин. В зависимости от того, какой многоатомный спирт участвует в образовании фосфолипида (глицерин или сфингозин), последние делят на 2 группы: глицерофосфолипиды и сфингофосфолипиды. Необходимо отметить, что в глицерофосфолипидах либо холин, либо этаноламин или серин соединены эфирной связью с остатком фосфорной кислоты; в составе сфинголипидов обнаружен только холин. Наиболее распространенными в тканях животных являются глицерофосфолипид.

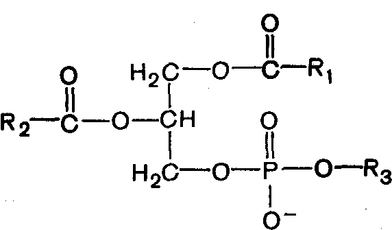
Общая формула глицерофосфолипидов:

 

В этих формулах R1 и R2- радикалы высших жирных кислот, а R3- чаще радикал азотистого соединения. Для всех глицерофосфолипидов характерно, что одна часть их молекул (радикалы R1 и R2) обнаруживает резко выраженную гидрофобность, тогда как другая часть гидрофильна благодаря отрицательному заряду фосфорной кислоты и положительному заряду радикала R3.

Из всех липидов глицерофосфолипиды обладают наиболее выраженными полярными свойствами. Существует несколько групп (подклассов) глицерофосфолипидов. В зависимости от характера азотистого основания, присоединенного к фосфорной кислоте, глицерофосфо-гликолипиды подразделяют на фосфатидилхолины (лецитины), фосфатидилэтаноламины (кефалины) и фосфатидилсерины. В состав некоторых глицерофосфолипидов вместо азотсодержащих соединений входит не содержащий азота шестиуглеродный циклический спирт инозит, называемый также инозитолом. Эти липиды называются фосфатидилинозитолами.


Гликолипиды включают углеводные остатки, чаще всего D-галактозу, и не содержат остатков фосфорной кислоты и связанных с ней азотистых оснований. Типичные представители гликолипидов – цереброзиды и ганглиозиды. Оба этих соединения являются сфингозинсодержащими липидами, вследствие чего их можно отнести и к сфингозинам. В цереброзидах, содержащихся в миелиновых оболочках нервных волокон остаток церамида связан с D-галактозой или D-глюкозой β-гликозидной связью:

 

Характерной особенностью сложных липидов является их бифильность, обусловленная присутствием в составе их молекул неполярных гидрофобных и высокополярных ионизированных гидрофильных группировок:
Находясь на поверхности раздела полярной и неполярной фаз такие липиды проявляют свойства эмульгаторов. В составе биомембран они также обусловливают высокое электрическое сопротивление и селективную проницаемость бислоя. Поэтому большая часть анестетиков хорошо растворимы в липидной фазе, что облегчает их проникновение через мембраны нервных клеток.

Реакция гидролиза – гидролиз представляет собой первую стадию процесса утилизации жиров в организме.

В организме гидролиз осуществляется под действием ферментов – липаз.

 







Date: 2015-05-22; view: 2996; Нарушение авторских прав



mydocx.ru - 2015-2026 year. (0.846 sec.) Все материалы представленные на сайте исключительно с целью ознакомления читателями и не преследуют коммерческих целей или нарушение авторских прав - Пожаловаться на публикацию