Главная Случайная страница


Полезное:

Как сделать разговор полезным и приятным Как сделать объемную звезду своими руками Как сделать то, что делать не хочется? Как сделать погремушку Как сделать так чтобы женщины сами знакомились с вами Как сделать идею коммерческой Как сделать хорошую растяжку ног? Как сделать наш разум здоровым? Как сделать, чтобы люди обманывали меньше Вопрос 4. Как сделать так, чтобы вас уважали и ценили? Как сделать лучше себе и другим людям Как сделать свидание интересным?


Категории:

АрхитектураАстрономияБиологияГеографияГеологияИнформатикаИскусствоИсторияКулинарияКультураМаркетингМатематикаМедицинаМенеджментОхрана трудаПравоПроизводствоПсихологияРелигияСоциологияСпортТехникаФизикаФилософияХимияЭкологияЭкономикаЭлектроника






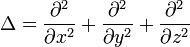
Задание 4. Записать стационарное уравнение Шредингера для атома водорода





Так как потенциальная функция электрона в атоме водорода имеет вид U(r) = -

где e — заряд электрона (и протона), r — радиус-вектор, то уравнение Шрёдингера запишется следующим образом:

Здесь ψ — волновая функция электрона в системе отсчёта протона, m — масса электрона, ħ = - постоянная Планка, E — полная энергия электрона, — оператор Лапласа.

 

Задание 5. Световой поток, состоящий из n=5·104 фотонов света, обладающих энергией, сосответствующей длине волны λ=300 нм, падает нормально на зеркальную поверхность в виде диска радиусом 2 мм. Найдите силу давления F, испытываемую этой поверхностью.

Дано:

n=5·104 фотонов света

r=2 мм

λ=300 нм = 3,0·10-7м

F -?

Решение:

Сила светового давления на поверхность равна произведению светового давления p на площадь S поверхности:

F = р·S

Световое давление при нормальном падении может быть найдено по формуле:

p = w (R +1),

где w – объемная плотность энергии; с – скорость света в вакууме;

R – коэффициент отражения.

Тогда:

F = w (R + 1)S

Так как w Sc представляет собой энергию излучения, падающего в еди-

ницу времени на поверхность S, то есть поток излучения Φ, то

F =Φ(R +1)/ c

 

Для зеркальной поверхности R =1.

Произведение энергии E одного фотона на число фотонов n равно мощности излучения, т.е. потоку излучения:

Φ = E n,

а так как энергия фотона E = hc /λ,

h – постоянная Планка = 6,63·10-34Дж·с

с – скорость света в вакууме = 3·108м/с

Е= 6,63·10-34·3·108·3,0·10-7= 6,63·10-19 Дж

Ф = 6,63·10-19·5·104 = 33,15·10-15Дж/с = кг·м23

F= 33,15·10-15·(1+1)/ 3·108 = 22,1·10-23 кг·м/с2 = Н

 

 

Ответ: F= 22,1·10-23Н

Немного сомневаюсь в решении

 

 

Задание 6. Найдите величину задерживающего потенциала Uз для фотоэлектронов (для обращения силы тока в нуль нужно положить задерживающее напряжение Uз), испускаемых при освещении калия светом, длина волны которого λ = 3300Å(ангстрем). Работа выхода электрона из калия А = 2эВ.

Дано:

λ = 3300Å(ангстрем)= 3300·10-10м = 3,3·10-7м

А = 2эВ

Uз -?

Решение:

 

Uз = hс/λ-hс/λк,

h – постоянная Планка = 6,63·10-34Дж·с

с – скорость света в вакууме = 3·108м/с

Длина волны красной границы фотоэффекта:

λк = hс/А = 6,63·10-34·3·108/2·10-19 = 9,9·10-7м

Uз = 6,63·10-34·3·108/3,3·10-7 - 6,63·10-34·3·108/9,9·10-7 = 6,0·10-19 – 2,0·10-19 =

= 4,0·10-19 В = 4,0 эВ.

Ответ: Uз = 4,0·10-19 В = 4,0 эВ

 

 

Задание 7. Температура абсолютно черного тела при нагревании изменилась с Т1=100ºС до Т2=200ºС. Определите, во сколько раз изменилась длина волны, на которую приходится максимум испускательной способности.

Дано:

Т1=100ºС = 100+273 = 373К

Т2=200ºС = 200+273=473 К







Date: 2015-05-19; view: 767; Нарушение авторских прав



mydocx.ru - 2015-2026 year. (0.357 sec.) Все материалы представленные на сайте исключительно с целью ознакомления читателями и не преследуют коммерческих целей или нарушение авторских прав - Пожаловаться на публикацию