Главная Случайная страница


Полезное:

Как сделать разговор полезным и приятным Как сделать объемную звезду своими руками Как сделать то, что делать не хочется? Как сделать погремушку Как сделать так чтобы женщины сами знакомились с вами Как сделать идею коммерческой Как сделать хорошую растяжку ног? Как сделать наш разум здоровым? Как сделать, чтобы люди обманывали меньше Вопрос 4. Как сделать так, чтобы вас уважали и ценили? Как сделать лучше себе и другим людям Как сделать свидание интересным?


Категории:

АрхитектураАстрономияБиологияГеографияГеологияИнформатикаИскусствоИсторияКулинарияКультураМаркетингМатематикаМедицинаМенеджментОхрана трудаПравоПроизводствоПсихологияРелигияСоциологияСпортТехникаФизикаФилософияХимияЭкологияЭкономикаЭлектроника






ИЗД Механика поступательного и вращательного движения. 27.1. Тело брошено с поверхности Земли со скоростью v = 20 м/с под углом α = 60° к горизонту





Вариант 27

 

27.1. Тело брошено с поверхности Земли со скоростью v = 20 м/с под углом α = 60° к горизонту. Сопротивлением воздуха пренебречь. g =10м/с2. Радиус кривизны траектории в точке наибольшего подъема равен … м.

27.2. Грузы 1 и 2 с массами m 1=1,5 кг и m 2=0,5 кг связаны невесомой нерастяжимой нитью, перекинутой через невесомый неподвижный блок. Угол наклона поверхности α = 300, коэффициент трения между поверхностью и телом μ = 0,2. Найти модуль ускорения тел и величину силы натяжения.

 

 

27.3. Теннисный мяч летел с импульсом (масштаб и направление указаны на рисунке), когда теннисист произвел по мячу резкий удар со средней силой F = 80 Н. Изменившийся импульс мяча стал равным . Сила действовала на мяч в течение … с.

 

27.4. Камень массой m =0,5 кг, привязанный к веревке длиной l =50 см, равномерно вращается в вертикальной плоскости. Сила натяжения веревки в нижней точке окружности T = 44 Н. На какую высоту h поднимется камень, если веревка обрывается в тот момент, когда скорость направлена вертикально вверх?

 

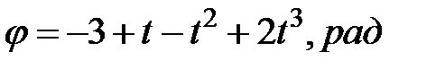
27.5. Колесо радиусом R= 10 см вращается так, что зависимость угла поворота радиуса колеса от времени дается уравнением . Найдите, на сколько изменится тангенциальное ускорение за единицу времени для точек, лежащих на ободе колеса.

 

27.6. Диск вращается под действием момента сил М, график временной зависимости которого представлен на рисунке. При . Какой цифрой обозначена на графике точка, соответствующая максимальному значению угловой скорости?

 

 

27.7. На графике приведена зависимость проекции момента силы, действующей на тело, от времени. Какой момент импульса будет иметь тело к концу четвертой секунды движения, если в начальный момент t 0 = 0 тело покоилось.

 

27.8. Обруч массой m = 0.3 кг и радиусом R = 0.5 м привели во вращение, сообщив ему энергию вращательного движения 1200 Дж, и отпустили на пол так, что его ось вращения оказалась параллельной плоскости пола. Какую кинетическую энергию вращательного движения имел обруч, когда начал движение без проскальзывания, если сила трения совершила работу, равную 800Дж?

 

 







Date: 2015-05-19; view: 1460; Нарушение авторских прав



mydocx.ru - 2015-2026 year. (0.993 sec.) Все материалы представленные на сайте исключительно с целью ознакомления читателями и не преследуют коммерческих целей или нарушение авторских прав - Пожаловаться на публикацию