Главная Случайная страница


Полезное:

Как сделать разговор полезным и приятным Как сделать объемную звезду своими руками Как сделать то, что делать не хочется? Как сделать погремушку Как сделать так чтобы женщины сами знакомились с вами Как сделать идею коммерческой Как сделать хорошую растяжку ног? Как сделать наш разум здоровым? Как сделать, чтобы люди обманывали меньше Вопрос 4. Как сделать так, чтобы вас уважали и ценили? Как сделать лучше себе и другим людям Как сделать свидание интересным?


Категории:

АрхитектураАстрономияБиологияГеографияГеологияИнформатикаИскусствоИсторияКулинарияКультураМаркетингМатематикаМедицинаМенеджментОхрана трудаПравоПроизводствоПсихологияРелигияСоциологияСпортТехникаФизикаФилософияХимияЭкологияЭкономикаЭлектроника






ИЗД Механика поступательного и вращательного движения. 7.1. На рисунке представлен график зависимости проекции ускорения ах от времени t для материальной точки





Вариант 7

7.1. На рисунке представлен график зависимости проекции ускорения а х от времени t для материальной точки, движущейся вдоль оси ОХ. Начальная скорость движения точки V = –2 м/с. Проекция скорости движущейся точки в момент времени 3 с равна …м/с.

 

7.2. Ледяная горка составляет с горизонтом угол α = 100. По ней пускают вверх камень, который, поднявшись на некоторую высоту, соскальзывает по тому же пути вниз. Найти коэффициент трения μ, если время спуска в n = 2 раза больше времени подъема.

 

7.3. Импульс тела изменился под действием кратковременного удара и стал равным , как показано на рисунке. Определить направление силы и пояснить свой выбор.

7.4. Небольшой шар массой m 1 = 1,99 кг висит на невесомой нерастяжимой нити. В него попадает и застревает в нём пуля, летящая горизонтально со скоростью V = 600 м/с. Масса пули m 2 = 10 г. Найти максимальную высоту h, на которую поднимется шар, и долю потерянной кинетической энергии пули η, перешедшую в тепловую энергию.

 

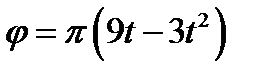
7.5. Движение тела вокруг неподвижной оси вращения задано уравнением , рад. Сколько оборотов N сделает тело до момента изменения направления вращения тела и чему равна средняя угловая скорость тела за этот интервал времени?

 

7.6. На рисунке приведен график зависимости от времени проекции угловой скорости вращающегося тела на ось вращения. Момент действующих на тело сил был постоянным не равным нулю на участке …

 

 

7.7 На рисунке приведены графики зависимости различных физических величин от угла поворота тела φ. Какой график соответствует зависимости кинетической энергии тела, вращающегося с постоянным угловым ускорение, момент инерции которого не изменяется за время движения?

 

7.8. Сплошной и полый шары, имеющие одинаковые массы и радиусы, скатываются без проскальзывания с горки высотой h. Какое из тел будет иметь большую скорость у основания горки и во сколько раз?

 







Date: 2015-05-19; view: 1186; Нарушение авторских прав



mydocx.ru - 2015-2026 year. (0.635 sec.) Все материалы представленные на сайте исключительно с целью ознакомления читателями и не преследуют коммерческих целей или нарушение авторских прав - Пожаловаться на публикацию