Главная Случайная страница


Полезное:

Как сделать разговор полезным и приятным Как сделать объемную звезду своими руками Как сделать то, что делать не хочется? Как сделать погремушку Как сделать так чтобы женщины сами знакомились с вами Как сделать идею коммерческой Как сделать хорошую растяжку ног? Как сделать наш разум здоровым? Как сделать, чтобы люди обманывали меньше Вопрос 4. Как сделать так, чтобы вас уважали и ценили? Как сделать лучше себе и другим людям Как сделать свидание интересным?


Категории:

АрхитектураАстрономияБиологияГеографияГеологияИнформатикаИскусствоИсторияКулинарияКультураМаркетингМатематикаМедицинаМенеджментОхрана трудаПравоПроизводствоПсихологияРелигияСоциологияСпортТехникаФизикаФилософияХимияЭкологияЭкономикаЭлектроника






Изучение явления дифракции света в параллельных лучах (дифракция Фраунгофера)





 

Цель работы: изучение дифракции света при падении плоской когерентной монохроматической волны на щель в непрозрачном экране и нить; использование дифракционных явлений для определения длины волны света и неконтактного измерения толщины нити.

Приборы и принадлежности: источник света газовый (He - Ne) лазер, щель регулируемой ширины, нить, матовый экран с горизонтальной миллиметровой шкалой, линейка.

 

 

Рис. 1.

 

Рассмотрим дифракцию света (определение явления дифракции см. [2] при падении плоской когерентной монохроматической волны на длинную щель в непрозрачном экране (рис. 1). Пусть свет падает на щель нормально к ее поверхности, так что колебания в плоскости щели совершаются в одной фазе. Для того, чтобы наблюдать дифракцию Фраунгофера, точку наблюдения Р необходимо расположить на достаточно большом расстоянии, где лучи, идущие от краев щели в точку Р, будут практически параллельными. Это условие легко реализовать, поместив за щель собирающую линзу так, чтобы точка наблюдения Р находилась в фокальной плоскости линзы (линза собирает в фокальной плоскости в одной точке параллельные лучи).

Решим задачу о дифракции Фраунгофера на щели, используя метод графического сложения амплитуд. Для этого разобьем открытую часть волновой поверхности на узкие полоски одинаковой ширины а 0 параллельные краям щели. Колебания, возбуждаемые каждой такой плоскостью в точке наблюдения Р, имеют одинаковую амплитуду А0 и отстают по фазе от предыдущего колебания на величину

 

, (1)

 

где k = 2p/l – волновое число;

λ – длина волны;

D r 0 = а 0 sin j разность хода лучей, приходящих в точку Р от соседних полосок;

j – угол дифракции, определяющей направление на точку P.

Соответственно разность фаз между лучами, идущими в точку Р от краев щели, будет равна

, (2)

 

где а – ширина щели.

При выводе соотношений (1) и (2) учитывалось, что линза не вносит дополнительной разности хода лучей. Для определения результирующей амплитуды колебания удобно использовать векторные диаграммы. С этой целью амплитуде колебания, возбуждаемого m -й полоской в точке Р. ставится в соответствие вектор Аm, модуль которого равен A 0, а направление задается таким образом, чтобы угол между векторами Ат и Ат -1 отличался на y0. Векторная диаграмма (рис. 2.) иллюстрирует сложение векторов Аm и позволяет найти результирующий вектор, модуль которого равен амплитуде A результирующего колебания в точке Р. При j = 0 разность фаз y0 = y = 0.

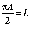
Если y = p, колебания от краев щели находятся в противофазе. Соответственно векторы Аm располагаются вдоль полуокружности (см. рис. 2.) длиной L. Результирующая амплитуда при этом оказывается равной диаметру полуокружности и может быть найдена из равенства

 

, откуда .

 

Рис. 2.

 

В случае y = 2p, (рис. 2.) векторы Аm располагаются вдоль окружности длиной L. Результирующая амплитуда равна нулю – получается первый минимум. Первый максимум получается при y = 3p,. Найдем его амплитуду.

,

следовательно:

.

Продолжая аналогичные построения, можно прийти к выводу, что дифракционная картина представляет собой чередование максимумов и минимумов интенсивности света, причем интенсивность n -го максимума ослабевает от центра дифракционной картины к её краям в следующем соотношении [3]:

 

и т. д.

 

Условие образования n -го минимума дифракционной картины Фраунгофера может быть записано в виде:

 

y = ±2np,

 

где n = 1, 2, 3, ….., или, с учетом выражения (2),

 

а sinj = ± n l. (3)

 

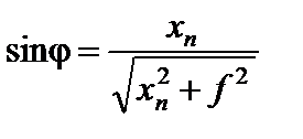
Как следует из рис. 1,

,

 

где хn – координата n -го минимума в плоскости наблюдения,

f – фокусное расстояние линзы.

При условии f >> хn

,

следовательно, имеет место равенство

 

. (4)

 

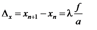
При переходе от n -го минимума к (n + 1-му) координата x точки Р изменяется на величину

. (5)

 

Расстояние ∆ x, таким образом, определяет ширину дифракционной полосы. Зная Dx, f и a, по формуле (5) можно определить длину волны света l, а при известных l, f и x – ширину щели a (или нити) [3].







Date: 2015-05-18; view: 741; Нарушение авторских прав



mydocx.ru - 2015-2026 year. (1.316 sec.) Все материалы представленные на сайте исключительно с целью ознакомления читателями и не преследуют коммерческих целей или нарушение авторских прав - Пожаловаться на публикацию