Главная Случайная страница


Полезное:

Как сделать разговор полезным и приятным Как сделать объемную звезду своими руками Как сделать то, что делать не хочется? Как сделать погремушку Как сделать так чтобы женщины сами знакомились с вами Как сделать идею коммерческой Как сделать хорошую растяжку ног? Как сделать наш разум здоровым? Как сделать, чтобы люди обманывали меньше Вопрос 4. Как сделать так, чтобы вас уважали и ценили? Как сделать лучше себе и другим людям Как сделать свидание интересным?


Категории:

АрхитектураАстрономияБиологияГеографияГеологияИнформатикаИскусствоИсторияКулинарияКультураМаркетингМатематикаМедицинаМенеджментОхрана трудаПравоПроизводствоПсихологияРелигияСоциологияСпортТехникаФизикаФилософияХимияЭкологияЭкономикаЭлектроника






Массивная гравитация





Физики-теоретики предложили способ проверить на практике правильность модели, которая объясняет ускоренное расширение Вселенной массивными гравитонами (гипотетическими квантами гравитации). При этом, как утверждает автор теории, можно использовать сравнительно доступные экспериментаторам методы. Подробности приводит Nature news.

Модель, предложенная Клаудией деРам и соавторами в 2010 году, объясняет то, почему Вселенная расширяется с ускорением и почему это ускорение на много порядков ниже той величины, которую предсказывает квантовая теория поля. О том, что Вселенная расширяется с ускорением (то есть со временем это происходит все быстрее) ученые знают из астрономических наблюдений и для объяснения этого факта было предложено понятие темной энергии: сущности, которую физики-теоретики связывают со свойством пространства как такового. Темная энергия (в наиболее распространенной и признанной космологической модели) может быть представлена как энергия, заключенная в вакууме: ее нельзя оттуда извлечь, но она проявляет себя в масштабах Вселенной.

Проблемы, связанные с темной энергией не исчерпываются тем, что ее природа не очень понятна. Одна из главных проблем современной физики связана с тем, что астрономические данные катастрофически расходятся с теоретическими расчетами, причем «катастрофически» в данном случае не просто эпитет: эту проблему сами ученые называют вакуумной катастрофой. В квантовой теории поля пустое пространство, вакуум, тоже имеет энергию, причем расчеты показывают очень высокую плотность этой энергии. Разница между квантовыми предсказаниями и теми оценками, которые следуют из астрономических наблюдений, превышает сто порядков и окончательного объяснения этому «худшему в истории физики расхождению теории с опытом» (оценка Ли Смолина, ведущего физика-теоретика и специалиста по теории струн наших дней) пока ни у кого нет.

Теории, которые так или иначе разрешают противоречия, связанные с энергией вакуума, существуют. Но большую их часть нельзя проверить либо из-за технических ограничений (у ученых нет достаточно мощных ускорителей частиц и в обозримом будущем они не появятся), либо в силу принципиальных причин (сама теория дает слишком нечеткие предсказания). Большие надежды многие физики возлагают на теории струн, где точечные частицы заменены на струны конечной длины в многомерном пространстве, однако именно к струнным теориям больше всего претензий по поводу размытости их предсказаний. Существует очень много возможных вариантов струн в пространствах с разной размерностью и разной геометрией тех фигур (математики говорят «многообразий»), на которые эти струны наматываются, поэтому при желании всегда можно найти несколько вариантов струнного мира, которые все будут походить на реальную Вселенную. Теории, из которых нельзя выбрать правильные, в строгом смысле слова даже нельзя назвать научными: они не удовлетворяют критерию фальсифицируемости.

Развитие космологии, 1918-1924

 

Если не углубляться в историю и не вспоминать модели Птоломея и Коперника, то современная космология началась около ста лет назад. В 1918 году было установлено, что расстояние до галактики (тогда еще «туманности») Андромеды слишком велико, чтобы эту «туманность» можно было счесть частью Млечного пути. В 1924 году эти измерения повторили несколько групп астрономов и существование галактик стало признанным фактом.

Ключевым местом новой теории является то, что переносчик гравитационного поля, гравитон, должен иметь массу. В большинстве других теорий гравитон лишен массы по аналогии с фотоном, но еще с 1960-х годов ученые по всему миру разрабатывают и модели с массивными гравитонами. Теоретиков не смущает то, что в экспериментах пока что не зафиксирован не только сам гравитон (хоть с массой, хоть без нее), но и гравитационные волны, предсказанные еще общей теорией относительности, ОТО. В пользу ОТО говорят многие другие факты (например, гравитационные линзы), а квантовую механику все равно надо объединять с ОТО тем или иным образом. Соответственно, концепция квантов поля, на которой построены хорошо проверенные теории электромагнитного, сильного и слабого полей, является вполне логичной для развития и в сторону гравитации. Любое поле в квантовой теории может быть представлено как набор квантов, кванты испускаются и поглощаются частицами и за счет обмена квантами частицы взаимодействуют между собой или даже превращаются друг в друга (слабое поле может превращать нейтрон в протон, электрон и антинейтрино за счет изменения одного из трех кварков). Масса квантов, в свою очередь, накладывает ограничения на радиус действия поля, поэтому масса гравитонов во всех теориях очень мала и на 33 порядка меньше массы нейтрино.


Вместе с коллегами деРам показала, что даже небольшая и не противоречащая астрофизическим данным масса гравитона может привести к тому, что эти частицы компенсируют очень высокую энергию вакуума, которая получается в квантовой теории поля. По мнению другого исследователя, Марка Уаймана, теория деРам позволяет разрешить проблему темной энергии наиболее изящным путем, без добавления экзотических частиц, множества скрытых измерений или других сущностей, требующих радикального пересмотра наших представлений о Вселенной.

Обсуждением теории деРам велось на протяжении нескольких лет и за это время физикам удалось показать то, что она лишена внутренних изъянов: в этой теории не возникает физически невозможных полей, появление которых сразу бы вывело модель из рассмотрения. Новые оценки, представленные на конференции COSMO 2013, указывают на то, что из этой теории следует несколько иная картина гравитационного поля в пределах Солнечной системы по сравнению с обычной теорией относительности и ньютоновской теорией тяготения. Различия, как указала деРам, невелики, однако они приведут к тому, что расстояние между Землей и Луной будет на 10-10процентов отличаться от «основной» теории. А существующие методы лазерной локации уже сегодня дают точность всего в десять раз ниже, в то время как экспериментальные методы совершенствуются из года в год: требуемой точности, вероятно, удастся достичь в обозримом будущем.

Физик-теоретик из Мюнхенского университета Людвига-Максимилиана Вячеслав Муханов с Уайманом не согласен: тот вариант концепции, в котором нет невозможных физических полей, относится к классу биметрических теорий. То есть в нем не один метрический тензор (математический объект, описывающий геометрию пространства-времени), а два. Это, по мнению Муханова, никак нельзя назвать изящным решением. Пока ученые расходятся в том, считать ли теорию деРам наиболее простым и красивым объяснением. Верна ли она на практике, можно будет узнать в ближайшие годы или даже месяцы, считает Уайман.

 

 

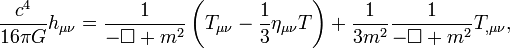
Общую теорию относительности в линеаризованном пределе можно сформулировать как теорию безмассового поля спина 2 на пространстве Минковского, описываемого симметричным тензором . Естественным обобщением такой теории является введение в лагранжиан массового члена различного вида. Чаще всего такой член выбирают в виде Паули — Фирца , что как можно показать, наиболее естественно, однако возможен и другой выбор (типа ). При этом уравнения движения для гравитационного поля приобретают вид

где индексы поднимаются и опускаются метрикой Минковского , — оператор д'Аламбера, — гравитационная постоянная Ньютона, — тензор энергии-импульса источников поля. Дивергенция этих уравнений в силу законов сохранения должна быть равна 0, что даёт и после подстановки в уравнения и взятия следа

Поэтому имеется две различные возможности: либо — тогда след тензора не является динамической переменной теории, а всецело определяется следом источника , либо и — динамическая переменная. Первый случай даёт обоснование массовому члену Паули — Фирца, но приводит к следующему выражению для гравитационного поля


где введено краткое обозначение для интегрального оператора, обратного дифференциальному , в отличие от

в линеаризованной общей теории относительности. Таким образом, получаемая теория имеет две проблемы при , выражающиеся в неправильной величине гравитационных эффектов от первого слагаемого (1/3 вместо 1/2), а также в стремлении второго из них к бесконечности. Первый отмеченный эффект и носит название разрыва ван Дама — Вельтмана — Захарова по именам первооткрывателей[2][3]. В частности, из-за этого отклонение света в теории составляет 3/4 величины общей теории относительности, а прецессия перигелия — 2/3[2].

Второй подход приводит к появлению новой динамической степени свободы, которая восстанавливает предсказания до нужного уровня, так как общее решение имеет вид

где , и при первый и второй член дают 1/3+1/6=1/2. Но при взаимодействии с материей второй член участвует со знаком, противоположным первому, так что он представляет собой скалярное поле отрицательной энергии (англ. ghostlike field), что вызывает нестабильность теории по отношению к перекачке в него энергии.

Вообще корень проблемы лежит в разложении массивного поля спина 2 по спиральностям и их взамодействии с веществом. При стремлении массы поля к нулю компоненты спиральности отделяются от остальных, образуя независимое свободное безмассовое поле Максвелла, но компоненты спиральности и остаются зацеплёнными и взаимодействуют с веществом совместно[4]. Ситуацию можно решить добавлением ещё одного скалярного поля, но для восстановления корректного предела оно должно иметь отрицательную энергию, что опять-таки недопустимо в стабильной теории поля.

Более подробный разбор, не ограничивающийся линеаризованным приближением, проведён в работах

 

МОЖНО ЛИ РЕШИТЬ ПРОБЛЕМУ КОСМОЛОГИЧЕСКОЙ ПОСТОЯННОЙ БЕЗ ДÝХОВ?

Седрик Деффайе, известный специалист по вопросам современной космологии, работающий в Национальном центре научных исследований Франции, рассказал о последних достижениях модифицированной теории гравитации. Доклад был сделан на Гинзбурговской конференции по проблемам физики

, которая проходила в Физическом институте им. П. Н. Лебедева РАН (ФИАН).

Основное внимание учёный уделил загадке космологической постоянной — одной из главных нерешённых проблем современной физики.

Кратко напомним историю вопроса. В начале XX века Альберт Эйнштейн сформулировал основные положения и идеи общей теории относительности (ОТО), описывающей гравитацию как эффект деформации пространства-времени в присутствии массы-энергии. При этом основное для теории Эйнштейна уравнение содержало слагаемое с задаваемым параметром — космологической постоянной.


С самого начала она была введена туда искусственно. Изначально эта величина внедрялась для допущения существования статического решения уравнения — обоснования возможности существования статической Вселенной. Эйнштейну как-то не верилось, что Вселенная может расширяться или сжиматься, но беда была в том, что без члена с космологической постоянной она рано или поздно «схлопывалась» бы под действием гравитации. Затем теоретические работыАлександра Фридмана, обосновавшего космологическую модель расширяющейся Вселенной, и экспериментальные наблюдения Эдвина Хаббла, выявившего зависимость красного смещения галактик от расстояния до них, убедили Эйнштейна в нестационарности Вселенной. К радости научного сообщества, космологическая постоянная, не вытекавшая из теории, была устранена из уравнений.







Date: 2015-05-18; view: 581; Нарушение авторских прав



mydocx.ru - 2015-2026 year. (1.098 sec.) Все материалы представленные на сайте исключительно с целью ознакомления читателями и не преследуют коммерческих целей или нарушение авторских прав - Пожаловаться на публикацию