Главная Случайная страница


Полезное:

Как сделать разговор полезным и приятным Как сделать объемную звезду своими руками Как сделать то, что делать не хочется? Как сделать погремушку Как сделать так чтобы женщины сами знакомились с вами Как сделать идею коммерческой Как сделать хорошую растяжку ног? Как сделать наш разум здоровым? Как сделать, чтобы люди обманывали меньше Вопрос 4. Как сделать так, чтобы вас уважали и ценили? Как сделать лучше себе и другим людям Как сделать свидание интересным?


Категории:

АрхитектураАстрономияБиологияГеографияГеологияИнформатикаИскусствоИсторияКулинарияКультураМаркетингМатематикаМедицинаМенеджментОхрана трудаПравоПроизводствоПсихологияРелигияСоциологияСпортТехникаФизикаФилософияХимияЭкологияЭкономикаЭлектроника






Теплове випромінювання чорного тіла





 

Згідно з теорією Кірхгофа, випромінювальна здатність АЧТ залежить лише від його температури і довжини хвилі. Це означає, що випромінювання з маленького отвору нагрітої порожнини не залежить від властивостей речовини стінок порожнини. Випромінювання АЧТ описується простішими і точнішими законами, ніж випромінювання інших тіл. Моделі АЧТ використовуються як еталонне джерело з відомими властивостями.

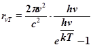
Закон випромінювання Планка (основний закон теплового випромінювання):

Спектральна випромінювальна здатність АЧТ (r λT ) залежить від довжини хвилі (частоти) та температури і дорівнює

 

або , (95.7)

 

де c - швидкість світла у вакуумі, k - стала Больцмана, h - стала Планка.

При виведенні (95.7) Планк висунув гіпотезу, згідно якої атомні осцилятори випромінюють енергію не безперервно, а певними порціями – квантами, причому енергія кванта пропорційна частоті випромінювання .

Залежність r λT від λ при T=const описує спектр випромінювання. На рис. 95.2 представлені спектри випромінювання при значеннях температури, характерних для даної лабораторної роботи. Потужність випромінювання з одиничної площі у вузькій спектральній смузі ширини , тобто величина r λT , має максимум при деякому значенні λ = λ max, яке зменшується із збільшенням температури.

Хоча спектр змінюється із зміною температури, він має загальні закономірності, не залежні від T, якщо виразити хвилі в безрозмірній одиниці . Тоді доля випромінюваної енергії в різних ділянках не залежить від температури (доля в % від повної енергії приведена на рис. 95.3).

Корисно запам'ятати, що приблизно 90 % енергії припадає на спектральний інтервал , тобто від 0,5 ·λmax до 3λmax.

Формула (95.7) і закон Ламберта повністю описують випромінювання АЧТ. З (95.7) можна отримати ряд корисних послідовностей, наприклад закон Стефана-Больцмана і закон зміщення Віна (відкриті раніше закону випромінювання Планка). Якщо взяти інтеграл від формули Планка по частоті в інтервалі від 0 до нескінченості, то одержимо закон Стефана-Больцмана.

Закон зміщення Віна. Довжина хвилі λ max, на яку припадає максимум спектральної випромінювальної здатності АЧТ, обернено пропорційна абсолютній температурі:

 

, (95.8)

де К·м - стала.

Даний закон можна отримати із формули Планка, оскільки функція r λ,T набуває свого максимуму то похідна функції повинна дорівнювати нулю. Звідси:

.

 

Закон Стефана-Больцмана. Інтегральна випромінювальна здатність АЧТ, тобто повна потужність випромінювання з одиничної площі, пропорційна четвертій степені абсолютної температури

(95.9)

 

У математичному вигляді закон Стефана-Больцмана отримуємо, використовуючи рівняння (95.3) та (95.7):

 

або , (95.10)

 

де є стала Стефана-Больцмана (одна з фундаментальних фізичних сталих).

Значення Re для різної температури АЧТ приведені в таблиці 95.1.

T, K λmax , мкм Re , Вт/м2 Приклади
    5∙10-6 Рідкий гелій, реліктове випромінювання Всесвіту
3∙102   5∙102 Тіла при кімнатній температурі
3∙103   5∙106 Теплові джерела світла
3∙105 0,01 5∙1014 Вогненна куля на певній стадії ядерного вибуху

Таблиця 95.1

 







Date: 2015-05-18; view: 627; Нарушение авторских прав



mydocx.ru - 2015-2026 year. (0.613 sec.) Все материалы представленные на сайте исключительно с целью ознакомления читателями и не преследуют коммерческих целей или нарушение авторских прав - Пожаловаться на публикацию