Главная Случайная страница


Полезное:

Как сделать разговор полезным и приятным Как сделать объемную звезду своими руками Как сделать то, что делать не хочется? Как сделать погремушку Как сделать так чтобы женщины сами знакомились с вами Как сделать идею коммерческой Как сделать хорошую растяжку ног? Как сделать наш разум здоровым? Как сделать, чтобы люди обманывали меньше Вопрос 4. Как сделать так, чтобы вас уважали и ценили? Как сделать лучше себе и другим людям Как сделать свидание интересным?


Категории:

АрхитектураАстрономияБиологияГеографияГеологияИнформатикаИскусствоИсторияКулинарияКультураМаркетингМатематикаМедицинаМенеджментОхрана трудаПравоПроизводствоПсихологияРелигияСоциологияСпортТехникаФизикаФилософияХимияЭкологияЭкономикаЭлектроника






Расчет количества транспортных средств

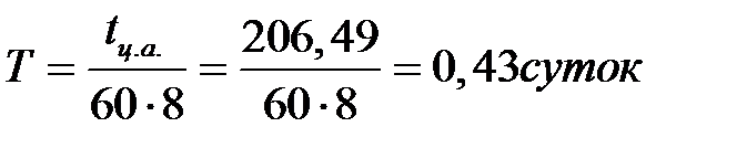
Расчет ведется для стропильных ферм СФ2 пролетом 30м, перевозимых фермовозом ПФ-4-36**.

Транспортные средства подбирают так, чтобы коэффициент использования грузоподъемности был наиболее высоким, но не менее 0,7 для каждого элемента. Сменную эксплуатационную производительность одной транспортной единицы определяют для каждого вида конструкции в т/смену или шт./смену:

- номинальная грузоподъемность транспортного средства, включая прицеп;

- время чистой работы транспортного средства в смену (при 8,2 часовом рабочем дне, причем 0,5 часа отводится на выезд и возвращение в парк);

- коэффициент использования транспорта по грузоподъемности;

- коэффициент использования машинного времени в зависимости от характера и протяженности трассы;

- длительность рабочего цикла автомобиля, включая прицеп,мин;

- масса одного элемента;

- количество доставляемых элементов.

Доставка конструкций в монтажную зону производится тремя способами:

- россыпью с раскладкой вдоль фронта работ в соответствии с принятой последовательностью их установки в конкретное положение; способ рекомендуется для мелких и легких элементов, а также при предварительном укрупнении конструкций;

- в зоне действия крана, где их устанавливают непосредственно с транспортных средств - монтаж “с колес” (включая и пакетный метод монтажа); этот способ наиболее эффективен при монтаже тяжелых конструкций;

- “челночным способом” при котором конструкции доставляют на сменных прицепах тягачами для монтажа “с колес” – этот способ позволяет использовать маневренность транспортных средств, в монтажную зону крана доставляется прицеп с таким количеством конструкций, которое устанавливается с одной стоянки крана. Монтажная зона должна быть достаточна для смены прицепов и маневров тягачей.

При предварительной доставке и раскладке монтажных элементов по фронту работ время цикла автотранспорта определяется:

- время погрузки и разгрузки автотранспорта;

- средняя скорость движения в груженном и порожнем состоянии;

- расстояние перевозки конструкции.

Длительность погрузки и разгрузки автомашин в минутах определяется:

, норма времени для машиниста крана и рабочих-такелажников, выполняющих ручные операции, при погрузке на заводе поставщике;

, то же при разгрузке на объекте;

- численный состав звена такелажников, выполняющих ручные и монтажные операции.

Потребность в автотранспорте для перевозки на объект или его участок-захватку конструкции одного вида

- количество конструкций одного вида;

- расчетное время установки этих конструкций на объекте;

- число смен работы

Число рейсов автомашин, доставляющих один вид конструкции в смену

При монтаже “с колес” длительность рабочего цикла автотранспорта должна быть согласована с рабочим циклом монтажа крана, т.е. длительность доставки очередного комплекта монтажных элементов должна быть равна времени монтажа ранее доставленного комплекта. При этом способе время цикла автотранспорта:

- длительность монтажа доставленного комплекта (без одного элемента), мин, вычисляемая по формуле:

- число доставляемых одним рейсом элементов;

- норма времени ручных операций при монтаже одного элемента;

- численный состав монтажников на втором потоке;

12-время в минутах, принимаемое для строповки, подъема и поворота стрела крана с поднятым элементом, позволяющее отъехать освободившемуся транспорту.

Количество транспортных единиц для перевозки требуемого числа элементов одного вида при монтаже “с колес” определяется:

- длительность монтажа доставленного комплекта конструкций.

При доставке элементов челночным способом длительность рабочего цикла тягача с прицепом в минутах, составит:

и -время на смену прицепов соответственно у поставщика конструкций и на объекте строительства, обычно принимают

Число тягачей для доставки конструкций:

- длительность монтажного цикла установки комплекта конструкций, доставляемых на одном сменяемом прицепе.

Количество сменяемых прицепов работающих с расчетным числом тягачей :

2-количество прицепов, т.е. на объекте и заводе находится по одному прицепу соответственно под разгрузкой и погрузкой.

Число рейсов, выполняемых каждым тягачом в течение смены

Окончательно принимаем челночный способ (один тягач и три прицепа), так как он выгоднее монтажа с колес, где используется один фермовоз, или метода монтажа со склада, где необходимо 4 фермовоза.


Рис. График доставки стропильных ферм челночным способом:

1-тягач, 2-4 полуприцепы.

 

Рисунок 5.1 – Грузоподъемность крана LUNA GT160/38

 

 

 

 

 

 



<== предыдущая | следующая ==>
 | Глава 1. Я не вижу, что там за окнами





Date: 2015-05-18; view: 950; Нарушение авторских прав



mydocx.ru - 2015-2026 year. (0.346 sec.) Все материалы представленные на сайте исключительно с целью ознакомления читателями и не преследуют коммерческих целей или нарушение авторских прав - Пожаловаться на публикацию