Главная Случайная страница


Полезное:

Как сделать разговор полезным и приятным Как сделать объемную звезду своими руками Как сделать то, что делать не хочется? Как сделать погремушку Как сделать так чтобы женщины сами знакомились с вами Как сделать идею коммерческой Как сделать хорошую растяжку ног? Как сделать наш разум здоровым? Как сделать, чтобы люди обманывали меньше Вопрос 4. Как сделать так, чтобы вас уважали и ценили? Как сделать лучше себе и другим людям Как сделать свидание интересным?


Категории:

АрхитектураАстрономияБиологияГеографияГеологияИнформатикаИскусствоИсторияКулинарияКультураМаркетингМатематикаМедицинаМенеджментОхрана трудаПравоПроизводствоПсихологияРелигияСоциологияСпортТехникаФизикаФилософияХимияЭкологияЭкономикаЭлектроника






Робоча формула. Згідно закону Стефана-Больцмана інтегральна випромінювальна здатність (енергія яка випромінюється за з площі ) абсолютно чорного тіла пропорційна його





Згідно закону Стефана-Больцмана інтегральна випромінювальна здатність (енергія яка випромінюється за з площі ) абсолютно чорного тіла пропорційна його абсолютній температурі у четвертій степені:

(24)


 

Для сірого тіла:

(25)


 

де: – поглинальна здатність сірого тіла. Для нікелевої пластинки . Якщо випромінювання відбувається у середовищі, температура якого , то пластинка виділяє таку кількість теплоти з :

(26)


 

Оскільки енергія, яка підводиться до пластинки за одиницю часу, рівна добутку сили струму через пластинку на спад напруги на ній, то, згідно закону збереження енергії, одержуємо:

 

(27)


 

звідки

 

(28)


 

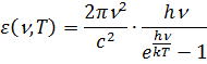
Згідно квантової гіпотези Планка атоми і молекули випромінюють енергію окремими порціями (квантами), величина яких , тому формула Планка для випромінювальної здатності абсолютно чорного тіла має вигляд:

(29)


 

Інтегруючи цей вираз, одержимо випромінювальну здатність абсолютно чорного тіла у вигляді:

(30)


 

де

(31)


 

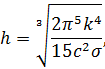
З формули (31) можна визначити значення сталої Планка , використовуючи експериментально визначене значення сталої :

(32)


 

де – стала Больцмана;

– швидкість світла у вакуумі.

 







Date: 2015-05-18; view: 539; Нарушение авторских прав



mydocx.ru - 2015-2026 year. (0.596 sec.) Все материалы представленные на сайте исключительно с целью ознакомления читателями и не преследуют коммерческих целей или нарушение авторских прав - Пожаловаться на публикацию