Главная Случайная страница


Полезное:

Как сделать разговор полезным и приятным Как сделать объемную звезду своими руками Как сделать то, что делать не хочется? Как сделать погремушку Как сделать так чтобы женщины сами знакомились с вами Как сделать идею коммерческой Как сделать хорошую растяжку ног? Как сделать наш разум здоровым? Как сделать, чтобы люди обманывали меньше Вопрос 4. Как сделать так, чтобы вас уважали и ценили? Как сделать лучше себе и другим людям Как сделать свидание интересным?


Категории:

АрхитектураАстрономияБиологияГеографияГеологияИнформатикаИскусствоИсторияКулинарияКультураМаркетингМатематикаМедицинаМенеджментОхрана трудаПравоПроизводствоПсихологияРелигияСоциологияСпортТехникаФизикаФилософияХимияЭкологияЭкономикаЭлектроника






Опис установки. В даній роботі інтерференційну картину отримуємо поділом хвильового фронту, який полягає у наступному





 

В даній роботі інтерференційну картину отримуємо поділом хвильового фронту, який полягає у наступному. Хвилям, які випромінюються одним елементарним джерелом світла у різних напрямах, після певних відбивань та заломлень надають такі напрями поширення при яких вони можуть перетинатися і інтерферувати (пучок світла який випромінюється джерелом, поділяється на два). Придатний для досить малих джерел світла, які наближено можна вважати точковими. Інтерференція яка при цьому відбувається називається інтерференцією Френеля. У даній роботі когерентні пучки світла отримують за допомогою біпризми Френеля, яка складається з двох призм виготовлених з одного куска скла з дуже малими заломлюючими кутами , які мають спільну основу (рис. 4). Джерелом світла служить яскраво освітлена вузька щілина, встановлена строго паралельно заломлюючому куту біпризми на віддалі від неї. Якщо в якості джерела світла використовується довга і вузька щілина, то обмеження розмірів відносяться тільки до її ширини. Усі точки вздовж щілини еквівалентні і інтерференція спостерігається у напрямі, перпендикулярному до щілини. Відстань екрану від щілини довільна і впливає тільки на масштаб і освітленість інтерференційної картини. Інтерференційна картина виникає у будь-якій частині простору, де перекриваються інтерферуючі промені. Кут падіння променів на біпризму малий, внаслідок чого усі промені відхиляються біпризмою на однаковий кут. В результаті утворюються дві когерентні циліндричні хвилі, які виходять з уявних джерел та , які лежать в одній площині з .

 

 

Рисунок 4 – Хід променів у біпризмі Френеля. – апертура інтерференції.

Промені від джерела двічі зазнають заломлення на гранях призми. Уявними когерентними джерелами є точки та , які лежать на перетині променів та , що пройшли через призму. У просторі за біпризмою буде спостерігатися інтерференційна картина, локалізована в усій області перетину променів. Якщо на деякій віддалі розмістити екран або розглядати інтерференційну картину в мікроскоп, то в залежності від оптичної різниці ходу променів спостерігається максимум або мінімум інтенсивності світла. Апертура – кут між крайніми променями конічного світлового пучка, який входить у систему.

Для одержання інтерференційної картини використовується установка, зображена на рис. 5 та рис. 6.

 

 

Рисунок 5 – Схема установки для одержання інтерференційної картини за допомогою біпризми Френеля: – джерело світла; – конденсор (циліндрична лінза) для рівномірного освітлення щілини; – вертикальна щілина; – біпризма Френеля; – фільтр (при використанні в якості джерела випромінювання лазера); – збірна лінза з відомою фокусною відстанню; – окуляр мікроскопа.

 

Джерелом світла може служити гелій-неоновий лазер. Для розсіювання направленого лазерного пучка на виході стоїть циліндрична лінза .

 

Увага! Згідно з вимогами правил техніки безпеки при роботі з лазерними установками категорично заборонено без захисних окулярів або спеціальних фільтрів спостерігати генерацію як у прямих, так і у відбитих променях. Тому для візуального спостереження інтерференційної картини в установці використовується спеціальний фільтр з селективним пропусканням.

Розсіяне світло проходить через щілину , біпризму , селективний фільтр . Інтерференційна картина спостерігається за допомогою відлікового мікроскопа .

 

 

Рисунок 6 – Зовнішній вигляд установки для одержання інтерференційної картини за допомогою біпризми Френеля: – джерело світла; – світлофільтр для виділення з світлового пучка монохроматичну хвилю; – вертикальна щілина; – біпризма Френеля; – окуляр мікроскопа.

 

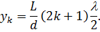
В результаті інтерференції на екрані виникає сукупність світлих (максимумів) та темних (мінімумів) смуг, положення яких залежить від різниці ходу променів , які йдуть від уявних джерел та у точку (рис. 1). У точці знаходиться центральна світла смуга (різниця фаз дорівнює 0). Знайдемо віддаль 𝑘 – ої темної смуги від центральної. З рис. 1 видно, що за умови можна вважати трикутники та подібними. З подібності трикутників випливає, що

(27)


 

де – віддаль між джерелами світла;

– відстань від джерел до екрану. З (27) знаходимо :

(28)


 

Враховуючи умову мінімуму, що

(29)


 

одержимо:

(30)


Аналогічно знайдемо віддаль між нульовим максимумом і мінімумом порядку :


(31)


 

З і знайдемо віддаль між – ю та – ю темними смугами (ширину інтерференційної смуги):

(32)


 

Область перекриття хвиль (рис. 4) цих променів:

(33)


 

Число інтерференційних смуг дорівнює відношенню ширини області перекриття до ширини інтерференційної смуги:

(34)


 

З (32) знайдемо :

(35)


 

визначаємо за допомогою окулярного мікрометра:

(36)


 

де – віддаль між – ю та – ю темними смугами по поділках шкали окулярного мікрометра;

– ціна поділки.

Визначити довжину хвилі можна двома способами.

Перший спосіб. Для визначення віддалі між уявними джерелами та розглянемо трикутник (рис. 7): – перпендикуляр до вертикальної грані призми, тобто ; ; ; . Оскільки кут дуже малий то можна вважати, що . Тоді ; ; , де – кут між падаючим променем і заломленим. Відомо, що для тригранної призми , де – показник заломлення призми; – заломлюючий кут призми. Враховуючи, що , одержимо:

(37)


 

Підставимо та у формулу , одержимо:

(38)


 

 

Рисунок 7 – Схема ходу променів у біпризмі для визначення віддалі між уявними джерелами та .

 

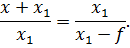
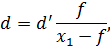
Другий спосіб. Для визначення та можна використати збірну лінзу (рис. 8) з відомою фокусною відстанню , яка встановлюється між біпризмою і відліковим мікроскопом.

Якщо спроектувати за допомогою цієї лінзи джерела та на площину окулярного мікрометра мікроскопа, то можна безпосередньо по шкалі визначити віддаль між зображеннями та . Істина віддаль між джерелами дорівнює:

(39)


(40)


 

де – віддаль між лінзою і площиною зображення джерел.

 

 

Рисунок 8 – Схема для визначення та за допомогою лінзи з відомою фокусною віддаллю: БП – біпризма; Ф – світлофільтр; Л – збірна лінза; ФП – фокальна площина окуляра мікроскопа (екран).

 

З іншого боку, з рис. 8 видно, що

(41)


 

З виразів (40) та (41) отримаємо:

(42)


(43)


(44)


(45)


 

Але з рис. 8 видно, що . Звідси:

(46)


 

Підставляючи значення та у (35), отримуємо остаточно робочу формулу:

 

(47)


(48)


 







Date: 2015-05-18; view: 552; Нарушение авторских прав



mydocx.ru - 2015-2026 year. (0.398 sec.) Все материалы представленные на сайте исключительно с целью ознакомления читателями и не преследуют коммерческих целей или нарушение авторских прав - Пожаловаться на публикацию