Главная Случайная страница


Полезное:

Как сделать разговор полезным и приятным Как сделать объемную звезду своими руками Как сделать то, что делать не хочется? Как сделать погремушку Как сделать так чтобы женщины сами знакомились с вами Как сделать идею коммерческой Как сделать хорошую растяжку ног? Как сделать наш разум здоровым? Как сделать, чтобы люди обманывали меньше Вопрос 4. Как сделать так, чтобы вас уважали и ценили? Как сделать лучше себе и другим людям Как сделать свидание интересным?


Категории:

АрхитектураАстрономияБиологияГеографияГеологияИнформатикаИскусствоИсторияКулинарияКультураМаркетингМатематикаМедицинаМенеджментОхрана трудаПравоПроизводствоПсихологияРелигияСоциологияСпортТехникаФизикаФилософияХимияЭкологияЭкономикаЭлектроника






Ядролардың жартылай ыдырау периоды





Квантомеханикалық жүйенің жартылай ыдырау периоды деп(бөлшектер, ядролар, атомдар, энергетикалық деңгейлер және т. б.) - T½ уақыт ішінде жүйенің 1/2 ықтиалдықпен ыдырауға кететін уақытын айтады. Басқаша айтқанда ядролардың саны 2 есе азаюға кететін уақытты айтады. Демек ядролардың бастапқы саны N0 болса T уақыт өткеннен кейін олардың саны N0/2 болады.

Ядролардың орташа өмір сүру уақыты

44.46.Нуклонның аномаль магнит моменті. Нуклондардың кварктық құрылымын анықтау Атом ядролары протондар мен нейтрондардан түзілген, олардың түрліше комбинациялары массалық сандары мен зарядтары түрліше болатын ядроларды береді. Ядролардың протон нейтрондық құрылымы, олардың барлық қасиеттерін, оның ішінде, ядролардың спині мен статистикасын, электрмагниттік қасиеттерін, қабыршықтық құрылымының ерекшеліктерін, ядролық реакциялардың механизмін, ядролардың бөлінуін, ядролық бөлшектер мен электрондардың шашырау ерекшеліктерін түсіндіреді. Ядролық күш және ядролық потенциал электр зарядына тәуелсіз, сондықтан ядроның ішінде протон мен нейтрон бір-бірінен айырмашылығы болмайды. Протон мен нейтронды бір бөлшектің екі күйі деп қарастырады. Оларды бір-бірінен ажырату үшін изоспин деген жаңа кванттық сан енгізеді. Изоспин тек күшті әсерлесу кезінде болады. Изоспиндерінің құраушылары бойынша ғана протон мен нейтронды ажырата аламыз. Изоспин – кәдімгі спинге ұқсас векторлық шама. Оның үшінші құраушысы протон үшін =1/2, ал нейтрон үшін = - 1/2 тең. Үш өлшемді изотоп векторларын енгіземіз.

(1.16)

ол векторлар үш элементтен тұратын жиын. Сонда нуклонның изоспині деп анықталады, мұндағы – Паули матрицасы. Бұл үш матрица изокеңістікте SU(2) тобын құрайды. Бұл топтың элементтері (2х2) ранглі матрица болғандықтан SU(2) тобы деп аталады. Егер матрицаның рангсі (n х n) болса, ол SU(n) тобы болады. Нуклондардың изоспині бар екені тәжірибеден айқын дәлелденді. Мысалы, екі протон екі нейтроннан тұратын гелий ядросы тек S күйде болатыны тәжірибеден анықталды. Ядроның қабыршықтық моделінде нуклондар энергетикалық деңгейлерде Паули принципі бойынша орналасады. Сондықтан төрт нуклоннан тұратын гелий ядросы S күйде болуы үшін нуклонда спин және изоспині болуы керек. Бұл изоспиннің қасиеттерімен танысу үшін:

(1.17)

және

(1.18)

қатынастарды қарастырайық. Сонда осы үш изоспин құраушылары:

(1.19)

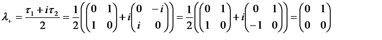
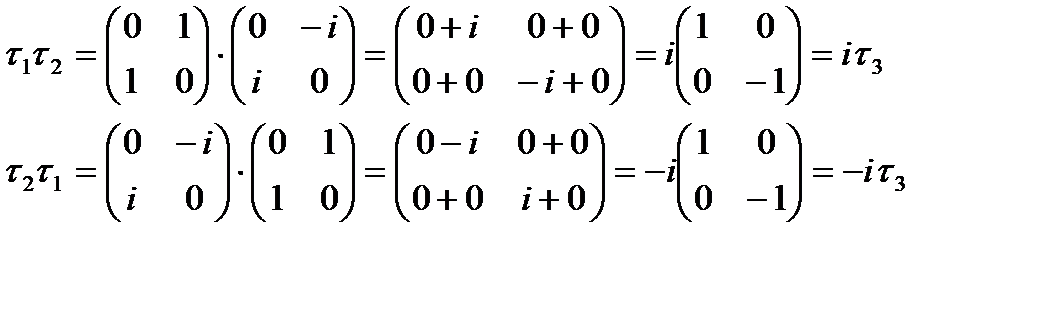
коммутациялық қатынасты қанағаттандырады. Екі элементтің көбейтіндісінен қайта үшінші элемент шығады. Сондықтан ол SU(2) – тобын құрайды. Мұнда деп белгілейміз, ол − топтың генераторы:

,

коммутациялық қатынасты қанағаттандырады. Сонда 3 - ранглы тензор - SU(2) тобының құрылымдық коэффициенті. Мұндай кеңістікті – изотоп кеңістігі деп аталады. Изотоп кеңістіктегі векторлардың нуклонының күй функциясына қалай әсер ететінін қарастырайық. Ол үшін келесі изоспинін артыратын және азайтатын операторларға тоқталайық. Изоспинді арттыратын оператор:

(1.20)

Изоспинін азайтатын оператор:

. (1.21)

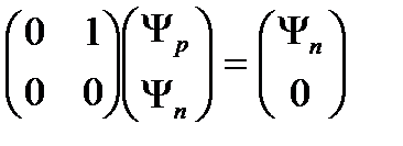
изотоп кеңістіктегі вектордың екі компоненті изодублет. Енді осы дублетке операторлардың әсері:

= ; = . (1.22)

осылай өрнектелінеді. Сонда протонды нейтронға көшіреді немесе дублеттің компоненттерінің изоспинінің үшінші компонентін - 1-ге азайтады және - 1-ге көбейтеді, яғни - жоғары бағытталғаны, - төмен бағытталғаны


(1.23)

операторы изотоп шамасын 1-ге көбейтеді, ал 1-ге азайтады. изтоп кеңістігінің векторлық екі компоненті. Протон мен нейтронды ажырату үшін изоспинін анықтадық. Ядролық әрекеттесуді қанағаттандыратын –мезон изотоп кеңістігінде изотриплет құрайды. Ол: түрінде жазылады. Бұлардың изоспин құраушылары 1, 0, -1 болады. Сондықтан ядролық потенциал спинге және изоспинге тәуелді функция болады.

47. Ядроның феноменологиялық потенциалы.

Ең қарапайым феноменологиялық потенциалды қарастырайық. Ядроның сызықтық өлшемі мен ені бірдей болғандықтан – нуклонның таралу функциясының графигі төмендегідей болады.

 

 

 


1-сурет. Потенциалдық шұңқыр, – шұңқырдың ені.

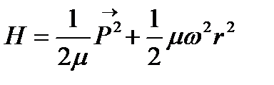
Оның кері шамасы 1-суретте көрсетілгендей - ядроның феноменологиялық потенциалы ретінде пайдаланылады. Ядродағы нуклондар потенциалдық шұңқырда орналасқан, ол кезде потенциалдың түрі гармоникалық осциллятор болады. Осы кездегі салыстырмалы қозғалыс гамильтонианы:

(2.9)

түрінде болады.







Date: 2015-05-18; view: 2248; Нарушение авторских прав



mydocx.ru - 2015-2026 year. (0.341 sec.) Все материалы представленные на сайте исключительно с целью ознакомления читателями и не преследуют коммерческих целей или нарушение авторских прав - Пожаловаться на публикацию