Главная Случайная страница


Полезное:

Как сделать разговор полезным и приятным Как сделать объемную звезду своими руками Как сделать то, что делать не хочется? Как сделать погремушку Как сделать так чтобы женщины сами знакомились с вами Как сделать идею коммерческой Как сделать хорошую растяжку ног? Как сделать наш разум здоровым? Как сделать, чтобы люди обманывали меньше Вопрос 4. Как сделать так, чтобы вас уважали и ценили? Как сделать лучше себе и другим людям Как сделать свидание интересным?


Категории:

АрхитектураАстрономияБиологияГеографияГеологияИнформатикаИскусствоИсторияКулинарияКультураМаркетингМатематикаМедицинаМенеджментОхрана трудаПравоПроизводствоПсихологияРелигияСоциологияСпортТехникаФизикаФилософияХимияЭкологияЭкономикаЭлектроника






Закон Брюстера





Опыт показывает, что при падении на диэлектрик (вода, стекло) отраженный и преломленный лучи всегда частично поля­ризованы. Степень поляризации при этом зависит от угла паде­ния и показателя преломления отражающей среды. При этом отраженный луч частично поляризован в плоскости, перпендикулярной плоскости падения, а преломлен­ный - в плоскости падения. Усло­вие полной поляризации состоит в том, чтобы угол между отражен­ным и преломленным лучами был ра­вен π/2, т.е. чтобы n=sin i0/sin r= sin i0/cos i0=tg i0. Это соотношение называют законом Брюстера. Этот закон объясняется тем, что отражен­ный преломленный лучи представляют собой вторичное излуче­ние, возбужденное падающей волной. Электроны колеблются в нап­равлении вектора Е. Однако электрический диполь не излу­чает в этом направлении, максимум излучения при­ходится на перпендикулярное направление.

 

23. Электромагнитное излучение, возникающее за счет внутренней энергии тела и зависящее от температуры и оптических свойств этого тела, называется тепловым излучением.

Характеристики теплового излучения.

Излучаемая телом энергия - , измеряется в джоулях.

Мощность излучения или поток излучения - определяется энергией излучаемой телом в единицу времени, измеряется в ваттах. [Ф]=Дж/с=Вт.

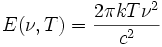
Интегральная излучательность - физическая величина, равная энергии, излучаемой в единицу времени с единичной площади нагретого тела [RT]=Вт/м2. В этом определении имеется в виду полная или интегральная энергия, излученная нагретым телом на всех длинах волн.

- спектральная плотность излучательности это энергия, излучаемая телом с единичной площади, в единицу времени в единичном интервале длин волн вблизи данной длины волны . - зависит от T, и от природы вещества тела.

Все твердые тела в природе условно можно разбить на 3 группы: 1) белые тела ρ=1, а=0 (отражают, но не поглощают). 2) абсолютно черные тела ρ=0, a=1 (поглощают, но не отражают), 3) серые тела 0<ρ<1, 0<a<1 (и поглощают и отражают). [ρ = коэффициент отражения, а – коэффициент поглощения]. Абсолютно черных тел (АЧТ) в природе не существует. Приближена – черная сажа (на 99% поглощает), черная фотобумага (на 95% поглощает).

Хорошей моделью является полость отверстия, стенки которого выполнены из любого материала, а отношение d отверстия к диаметру полости 1:100. Излучение, попадающее на отверстие полости, прежде чем выйти из нее, испытает многократное отражение от стенок полости. При каждом отражении большая чать энергии поглощается стенками полости так, что интенсивность излучения вышедшего света ≈ 0. Получается, что отверстие полностью поглощает световую волну.

Зная можно найти : . Кирхгоф показал, что отношение спектральной плотности излучательности к спектральной плотности поглощательной способности для данных и T одинаково для всех тел и ровно спектральной плотности излучательности абсолютно черного тела :

(1)

Где – поглощательная способность абсолютно черного тела.

Выражение (1) представляет закон Кирхгофа для теплого излучения. Из (1) видно, чем больше , тем больше , поэтому абсолютно черное тело, должно излучать больше, чем другие тела.

24. Закон Стефана-Больцмана.

Разлагая излучение абсолютно черного тела в спектр и измеряя интенсивность излучения в разных участках спектра можно найти зависимость спектральной плотности излучательности абсолютно черного тела от длины волны при разных температурах (рис. 1).

Рис. 1.

Площадь, охватываемая кривой равна интегральной излучательности абсолютно черного тела при соответствующих температурах.

Стефан и Больцман, анализируя экспериментальные данные, пришли к выводу: Интегральная излучательность абсолютно черного тела возрастает пропорционально четвертой степени абсолютной температуры тела:

(2)

где - постоянная Стефана - Больцмана равная .

Выражение (2) получило название закона Стефана-Больцмана.

Немецкий физик Вин установил соотношение между , соответствующей максимальной излучательности абсолютно черного тела и его температурой:

(3)

где . Выражение (3) отражает математически закон смещения Вина.

Попытка описать излучение абсолютно чёрного тела исходя из классических принципов термодинамики Uвн=3/2kT и электродинамики приводит к закону Рэлея — Джинса:

Эта формула предполагает квадратичное возрастание спектральной плотности излучения в зависимости от его частоты.

 


 

25. Фотоэффектом называется электрические явления, которые происходят при освещении светом вещества, а именно: выход электронов из вещ-ва (фотоэлектронная эмиссия), возникновение ЭДС.

Вылет электронов из освещенных тел называют внешним фотоэффектом.

Столетов экспериментально установил, что внешний фотоэффект подчиняется следующим законам:

1.Максимальная скорость вылетающих с поверхности металла электронов не зависит от интенсивности падающего света, а зависит от его частоты.

2.Существует предельная длина волны характерного для каждого вещества, выше которого фотоэффект не наблюдается (простая граница Фотоэффекта).

Эти закономерности, наблюдаемые экспериментально, нельзя было объяснить, считая свет волной, в фотоэффекте действует корпускулярная природа света.

Фотоэффектом называется электрические явления, которые происходят при освещении светом вещества, а именно: выход электронов из вещ-ва (фотоэлектронная эмиссия), возникновение ЭДС.

Вылет электронов из освещенных тел называют внешним фотоэффектом.

Электроны, вылетающие из вещества при внешнем фотоэффекте, называются фотоэлектронами, а электрический ток, образуемый ими при упорядоченном движении во внешнем электрическом поле, называется фототоком.

Согласно Эйнштейну(Э), свет частотой ν не только испускается, как это предлагал Планк, но и распространяется в пространстве и поглощается веществом отдельными порциями (квантами), энергия которых E0=hν. По Э. каждый квант поглощается только одним электроном(еˉ). поэтому число вырванных фото-еˉ должно быть пропорционально интенсивности света(1 закон фотоэффекта). Безынерционность фотоэффекта объясняется тем, что передача энергии при столкновении фотона с еˉ происходит почти мгновенно. Энергия падающего фотона расходуется на совершение еˉ работы выхода А из металла и на сообщение вылетевшему фотоэлектрону кинетической энергии mV2max/2. по закону сохранения энергии, h·ν = Авых+ m·V2/2. (1)это уравнение Эйнштейна для внешнего фотоэффекта. Согласно урав-ю (1) получаем, что ν0=А/ h и есть красная граница фотоэффекта для данного металла. Она зависит лишь от работы выхода еˉ т.е. от химической природы вещеста и состояния его поверхности.

Из уравнения (1) непосредственно следует, что максимальная кинетическая энергия (mV2max /2) возрастает с увеличением частоты падающего света. С уменьшением частоты кинетическая энергия (mV2max /2) уменьшается и при некоторой частоте она становиться равной нулю и фотоэффект прекращается (). Отсюда

, (2)

- красная граница фотоэффекта (ниже которой фотоэффект не наблюдается), она зависит лишь от работы выхода электрона из металла (то есть от химической природы вещества).

33. Величину

С = Q/ф

называют электроемкостью (или просто емкостью) уединенного проводника. Ем­кость уединенного проводника определяет­ся зарядом, сообщение которого провод­нику изменяет его потенциал на единицу.

Емкость проводника зависит от его размеров и формы, но не зависит от мате­риала, агрегатного состояния, формы и размеров полостей внутри проводника. Это связано с тем, что избыточные заряды распределяются на внешней поверхности проводника. Емкость не зависит также ни от заряда проводника, ни от его потенциа­ла. Сказанное не противоречит формуле, так как она лишь показывает, что емкость уединенного проводника прямо пропорциональна его заряду и обратно пропорциональна потенциалу.


Единица электроемкости — фарад (Ф): 1Ф

Конденсаторы.

Конденсаторы устройства способные накапливать значительные по величине заряды. Емкость конденсатора – физическая величина равная отношению заряда Q накопленного в конденсаторе к разности потенциалов между его обкладками. C=Q/(j1-j2). для плоского кон-ра.

У паралельно соединённых кон-ров разность потенциалов одинакова, у последовательно соединённых кон-ров заряды всех обкладок равны по модулю.

 

 

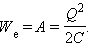
34. Энергия заряженного конденсатора равна работе внешних сил, которую необходимо затратить, чтобы зарядить конденсатор.

Процесс зарядки конденсатора можно представить как последовательный перенос достаточно малых порций заряда Δq > 0 с одной обкладки на другую. При этом одна обкладка постепенно заряжается положительным зарядом, а другая – отрицательным. Поскольку каждая порция переносится в условиях, когда на обкладках уже имеется некоторый заряд q, а между ними существует некоторая разность потенциалов , при переносе каждой порции Δq внешние силы должны совершить работу

(С – емкость)

Энергия We конденсатора емкости C, заряженного зарядом Q, может быть найдена путем интегрирования этого выражения в пределах от 0 до Q:

Энергия заряженного плоского конденсатора Eк равна работе A, которая была затрачена при его зарядке, или совершается при его разрядке.

=Eк

Поскольку напряжение на конденсаторе может быть рассчитано из соотношения:

U = E*d,

где E - напряженность поля между обкладками конденсатора, d - расстояние между пластинами конденсатора, то энергия заряженного конденсатора равна:

 

где V - объем пространства между обкладками конденсатора.

Энергия заряженного конденсатора сосредоточена в его электрическом поле.

Объемная плотность энергии электростатического поля (энергия единицы объема)

 

 







Date: 2015-05-18; view: 1003; Нарушение авторских прав



mydocx.ru - 2015-2026 year. (2.671 sec.) Все материалы представленные на сайте исключительно с целью ознакомления читателями и не преследуют коммерческих целей или нарушение авторских прав - Пожаловаться на публикацию